Preservation Factors during Cretaceous Oceanic Anoxic Events in the Espírito Santo Basin, Southeast Brazil
Abstract
1. Introduction
2. Geological Settings
3. Materials and Methods
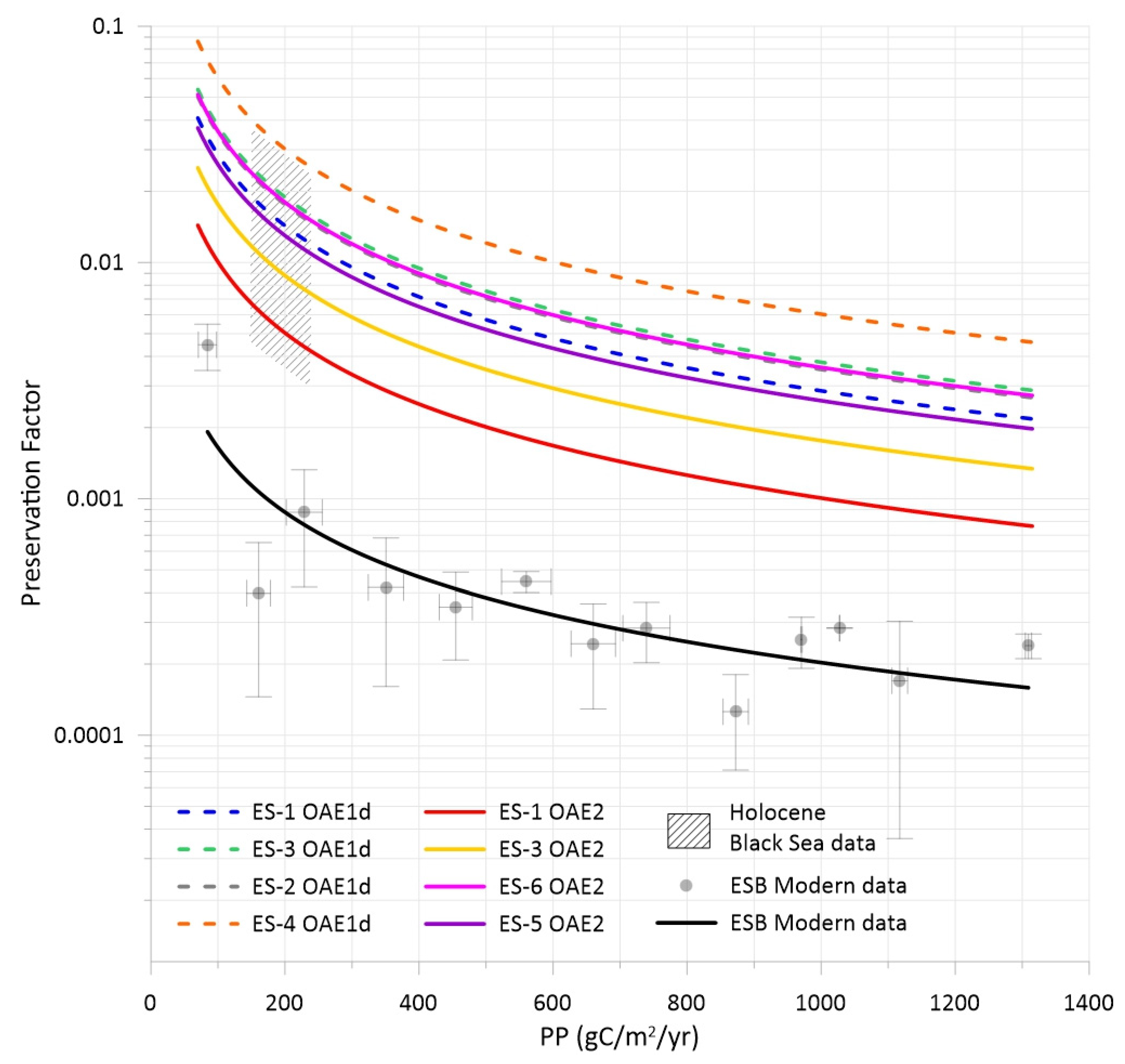
4. Results
5. Discussion

6. Conclusions
Author Contributions
Funding
Data Availability Statement
Acknowledgments
Conflicts of Interest
References
- Jenkyns, H.C. Geochemistry of Oceanic Anoxic Events. Geochem. Geophys. Geosyst. 2010, 11, 1–30. [Google Scholar] [CrossRef]
 - Fathy, D.; Wagreich, M.; Sami, M. Geochemical Evidence for Photic Zone Euxinia During Greenhouse Climate in the Tethys Sea, Egypt. In Advances in Geophysics, Tectonics and Petroleum Geosciences; Meghraoui, M., Sundararajan, N., Banerjee, S., Hinzen, K.-G., Eshagh, M., Roure, F., Chaminé, H.I., Maouche, S., Michard, A., Eds.; Advances in Science, Technology & Innovation; Springer International Publishing: Cham, Switzerland, 2022; pp. 373–374. ISBN 978-3-030-73025-3. [Google Scholar]
 - Valle, B.; Dal’ Bó, P.F.; Mendes, M.; Favoreto, J.; Rigueti, A.L.; Borghi, L.; de Oliveira Mendonça, J.; Silva, R. The Expression of the Oceanic Anoxic Event 2 (OAE2) in the Northeast of Brazil (Sergipe-Alagoas Basin). Palaeogeogr. Palaeoclimatol. Palaeoecol. 2019, 529, 12–23. [Google Scholar] [CrossRef]
 - Tessin, A.; Hendy, I.; Sheldon, N.; Sageman, B. Redox-controlled preservation of organic matter during “OAE 3” within the Western Interior Seaway. Paleoceanography 2015, 30, 702–717. [Google Scholar] [CrossRef]
 - Tessin, A.; Sheldon, N.D.; Hendy, I.; Chappaz, A. Iron Limitation in the Western Interior Seaway during the Late Cretaceous OAE 3 and Its Role in Phosphorus Recycling and Enhanced Organic Matter Preservation. Earth Planet. Sci. Lett. 2016, 449, 135–144. [Google Scholar] [CrossRef]
 - Bralower, T.J.; Thierstein, H.R. Low Productivity and Slow Deep-Water Circulation in Mid-Cretaceous Oceans. Geology 1984, 12, 614–618. [Google Scholar] [CrossRef]
 - Bralower, T.J.; Thierstein, H.R. Organic Carbon and Metal Accumulation Rates in Holocene and Mid- Cretaceous Sediments: Palaeoceanographic Significance. Mar. Pet. Source Rocks 1987, 26, 345–369. [Google Scholar] [CrossRef]
 - Kuypers, M.M.M.; Pancost, R.D.; Nijenhuis, I.A.; Sinninghe Damsté, J.S. Enhanced Productivity Led to Increased Organic Carbon Burial in the Euxinic North Atlantic Basin during the Late Cenomanian Oceanic Anoxic Event. Paleoceanography 2002, 17, 3-1–3-13. [Google Scholar] [CrossRef]
 - Wilson, P.A.; Norris, R.D. Warm Tropical Ocean Surface and Global Anoxia during the Mid-Cretaceous Period. Nature 2001, 412, 425–429. [Google Scholar] [CrossRef]
 - Mello, M.R.; Koutsoukos, E.A.M.; Hart, M.B.; Brassell, S.C.; Maxwell, J.R. Late Cretaceous Anoxic Events in the Brazilian Continental Margin. Org. Geochem. 1989, 14, 529–542. [Google Scholar] [CrossRef]
 - Koutsoukos, E.A.M.; Leary, P.N.; Hart, M.B. Latest Cenomanian-Earliest Turonian Low-Oxygen Tolerant Benthonic Foraminifera: A Case-Study from the Sergipe Basin (N.E. Brazil) and the Western Anglo-Paris Basin (Southern England). Palaeogeogr. Palaeoclimatol. Palaeoecol. 1990, 77, 145–177. [Google Scholar] [CrossRef]
 - Tedeschi, L.R.; Jenkyns, H.C.; Robinson, S.A.; Sanjinés, A.E.S.; Viviers, M.C.; Quintaes, C.M.S.P.; Vazquez, J.C. New Age Constraints on Aptian Evaporites and Carbonates from the South Atlantic: Implications for Oceanic Anoxic Event 1a. Geology 2017, 45, 543–546. [Google Scholar] [CrossRef]
 - Bastos, L.P.H.; Pereira, E.; da Costa Cavalcante, D.; Ferreira Alferes, C.L.; Jorge de Menezes, C.; Rodrigues, R. Expression of Early Cretaceous Global Anoxic Events in Northeastern Brazilian Basins. Cretac. Res. 2020, 110, 104390. [Google Scholar] [CrossRef]
 - Mohriak, W.; Nemčok, M.; Enciso, G. South Atlantic Divergent Margin Evolution: Rift-Border Uplift and Salt Tectonics in the Basins of SE Brazil. Geol. Soc. Lond. Spec. Publ. 2008, 294, 365–398. [Google Scholar] [CrossRef]
 - Heine, C.; Zoethout, J.; Müller, R.D. Kinematics of the South Atlantic Rift. Solid Earth 2013, 4, 215–253. [Google Scholar] [CrossRef]
 - Skolotnev, S.G.; Bylinskaya, M.E.; Golovina, L.A.; Ipat’eva, I.S. First Data on the Age of Rocks from the Central Part of the Vitoria-Trindade Ridge (Brazil Basin, South Atlantic). Dokl. Earth Sci. 2011, 437, 316–322. [Google Scholar] [CrossRef]
 - Mansurbeg, H.; De Ros, L.F.; Morad, S.; Ketzer, J.M.; El-Ghali, M.A.K.; Caja, M.A.; Othman, R. Meteoric-Water Diagenesis in Late Cretaceous Canyon-Fill Turbidite Reservoirs from the Espírito Santo Basin, Eastern Brazil. Mar. Pet. Geol. 2012, 37, 7–26. [Google Scholar] [CrossRef]
 - França, R.L.; Cosme, A.; Rey, D.; Tagliari, C.V.; Brandão, J.R.; Fontanelli, P.D.R. Bacia Do Espírito Santo. Boletim De Geociênc. Da Petrobras 2007, 15, 501–509. [Google Scholar]
 - Alves, T.M.; Cartwright, J.; Davies, R.J. Faulting of Salt-Withdrawal Basins during Early Halokinesis: Effects on the Paleogene Rio Doce Canyon System (Espírito Santo Basin, Brazil). AAPG Bull. 2009, 93, 617–652. [Google Scholar] [CrossRef]
 - Omosanya, K.O.; Alves, T.M. A 3-Dimensional Seismic Method to Assess the Provenance of Mass-Transport Deposits (MTDs) on Salt-Rich Continental Slopes (Espírito Santo Basin, SE Brazil). Mar. Pet. Geol. 2013, 44, 223–239. [Google Scholar] [CrossRef]
 - ANP Bacia Do Espírito Santo—Mar: Sumário Geológico e Setores Em Oferta. 2017. Available online: https://www.gov.br/anp/pt-br/rodadas-anp/rodadas-concluidas/concessao-de-blocos-exploratorios/14a-rodada-licitacoes-blocos/arquivos/areas-oferta/sumario-espirito-santo-mar.pdf (accessed on 8 August 2022).
 - Scotese, C.R.; Wright, N. PALEOMAP Paleodigital Elevation Models (PaleoDEMS) for the Phanerozoic. 2018. Available online: https://www.earthbyte.org/paleodem-resource-scotese-and-wright-2018/ (accessed on 8 August 2022).
 - Santos, T.P.; Bione, F.R.A.; Venancio, I.M.; Bernardes, M.C.; Belem, A.L.; Lisboa, L.P.; Franco, D.R.; Díaz, R.A.; Moreira, M.; Leonardo, N.F.; et al. Late Cretaceous Astrochronology, Organic Carbon Evolution, and Paleoclimate Inferences for the Subtropical Western South Atlantic, Espírito Santo Basin. Cretac. Res. 2022, 129, 105032. [Google Scholar] [CrossRef]
 - Laskar, J.; Robutel, P.; Joutel, F.; Gastineau, M.; Correia, A.C.M.; Levrard, B. A Long-Term Numerical Solution for the Insolation Quantities of the Earth. Astron. Astrophys. 2004, 428, 261–285. [Google Scholar] [CrossRef]
 - Hinnov, L.A. Cyclostratigraphy and Its Revolutionizing Applications in the Earth and Planetary Sciences. GSA Bull. 2013, 125, 1703–1734. [Google Scholar] [CrossRef]
 - Laskar, J.; Fienga, A.; Gastineau, M.; Manche, H. La2010: A New Orbital Solution for the Long-Term Motion of the Earth. Astron. Astrophys. 2011, 532, A89. [Google Scholar] [CrossRef]
 - Venancio, I.M.; Belem, A.L.; Santos, T.P.; Lessa, D.O.; Leonardo, N.F.; Bione, F.R.A.; Díaz, R.; Moreira, M.; Bernardes, M.C.; Souza, I.V.A.F.; et al. Temporal and Spatial Differences between Predicted and Measured Organic Carbon in South Atlantic Sediments: Constraints to Organic Facies Modelling. Mar. Pet. Geol. 2022, 138, 105524. [Google Scholar] [CrossRef]
 - Donnadieu, Y.; Pucéat, E.; Moiroud, M.; Guillocheau, F.; Deconinck, J.-F. A Better-Ventilated Ocean Triggered by Late Cretaceous Changes in Continental Configuration. Nat. Commun. 2016, 7, 10316. [Google Scholar] [CrossRef]
 - Laugié, M.; Donnadieu, Y.; Ladant, J.B.; Bopp, L.; Ethé, C.; Raisson, F. Exploring the Impact of Cenomanian Paleogeography and Marine Gateways on Oceanic Oxygen. Paleoceanogr. Paleoclimatol. 2021, 36, e2020PA004202. [Google Scholar] [CrossRef]
 - Summerhayes, C.P. Organic Facies of Middle Cretaceous Black Shales in Deep North Atlantic. Am. Assoc. Pet. Geol. Bull. 1981, 65, 2364–2380. [Google Scholar] [CrossRef]
 - Leckie, R.M.; Bralower, T.J.; Cashman, R. Oceanic Anoxic Events and Plankton Evolution: Biotic Response to Tectonic Forcing during the Mid-Cretaceous. Paleoceanography 2002, 17, 13-1–13-29. [Google Scholar] [CrossRef]
 - Calvert, S.E.; Karlin, R.E. Relationships between Sulphur, Organic Carbon, and Iron in the Modern Sediments of the Black Sea. Geochim. Cosmochim. Acta 1991, 55, 2483–2490. [Google Scholar] [CrossRef]
 - Arthur, A.; Dean, E.; Neff, D.; Hay, J.; Et, A.; Carbonate, A.L. Varve Calibrated Records of Carbonate and Organic Carbon ø E. Global Biogeochem. Cycles 1994, 8, 195–217. [Google Scholar] [CrossRef]
 - Tyson, R.V. The “Productivity Versus Preservation” Controversy: Cause, Flaws, and Resolution. Depos. Org. Sediments Model. 2011, 82, 17–33. [Google Scholar] [CrossRef]
 - Behrooz, L.; Naafs, B.D.A.; Dickson, A.J.; Love, G.D.; Batenburg, S.J.; Pancost, R.D. Astronomically Driven Variations in Depositional Environments in the South Atlantic During the Early Cretaceous. Paleoceanogr. Paleoclimatol. 2018, 33, 894–912. [Google Scholar] [CrossRef]
 - Dummann, W.; Steinig, S.; Hofmann, P.; Lenz, M.; Kusch, S.; Flögel, S.; Herrle, J.O.; Hallmann, C.; Rethemeyer, J.; Kasper, H.U.; et al. Driving Mechanisms of Organic Carbon Burial in the Early Cretaceous South Atlantic Cape Basin (DSDP Site 361). Clim. Past 2021, 17, 469–490. [Google Scholar] [CrossRef]
 - Canfield, D.E. Factors Influencing Organic Carbon Preservation in Marine Sediments. Chem. Geol. 1994, 114, 315–329. [Google Scholar] [CrossRef]
 - Hao, F.; Chen, J.; Sun, Y.; Liu, Y. Application of Organic Facies Studies to Sedimentary Basin Analysis: A Case Study from the Yitong Graben, China. Org. Geochem. 1993, 20, 27–42. [Google Scholar] [CrossRef]
 - de Souza, A.C.B.; do Nascimento, D.R.; Nepomuceno Filho, F.; Batezelli, A.; dos Santos, F.H.; Leopoldino Oliveira, K.M.; Maia de Almeida, N. Sequence Stratigraphy and Organic Geochemistry: An Integrated Approach to Understand the Anoxic Events and Paleoenvironmental Evolution of the Ceará Basin, Brazilian Equatorial Margin. Mar. Pet. Geol. 2021, 129, 105074. [Google Scholar] [CrossRef]
 - Schwarzkopf, T.A. Model for Prediction of Organic Carbon Content in Possible Source Rocks. Mar. Pet. Geol. 1993, 10, 478–492. [Google Scholar] [CrossRef]
 - Mann, U.; Zweigel, J. Modelling Source-Rock Distribution and Quality Variations: The Organic Facies Modelling Approach. In Analogue and Numerical Modelling of Sedimentary Systems: From Understanding to Prediction; de Boer, P., Postma, G., van der Zwan, K., Burgess, P., Kukla, P., Eds.; Wiley-Blackwell: Oxford, UK, 2009; pp. 239–274. ISBN 978-1-4443-0313-1. [Google Scholar]
 - Bruneau, B.; Chauveau, B.; Baudin, F.; Moretti, I. 3D Stratigraphic Forward Numerical Modelling Approach for Prediction of Organic-Rich Deposits and Their Heterogeneities. Mar. Pet. Geol. 2017, 82, 1–20. [Google Scholar] [CrossRef]
 




| Well | Event | Mean ρ (g/cm3)  | Mean SR (m/Myr) | Mean TOC (%) | Mean OCAR (gC/m2/yr) | 
|---|---|---|---|---|---|
| ES-1 | OAE1d | 2.42 | 61.08 | 1.96 | 3.78 | 
| OAE2 | 2.37 | 60.61 | 1.23 | 1.76 | |
| ES-2 | OAE1d | 2.26 | 83.63 | 1.86 | 3.52 | 
| ES-3 | OAE1d | 2.33 | 82.69 | 1.93 | 2.86 | 
| OAE2 | 2.18 | 65.65 | 0.70 | 1.01 | |
| ES-4 | OAE1d | 2.35 | 62.06 | 4.15 | 6.04 | 
| ES-5 | OAE2 | 2.41 | 90.39 | 1.19 | 2.60 | 
| ES-6 | OAE2 | 2.44 | 81.74 | 1.80 | 3.60 | 
Publisher’s Note: MDPI stays neutral with regard to jurisdictional claims in published maps and institutional affiliations.  | 
© 2022 by the authors. Licensee MDPI, Basel, Switzerland. This article is an open access article distributed under the terms and conditions of the Creative Commons Attribution (CC BY) license (https://creativecommons.org/licenses/by/4.0/).
Share and Cite
Venancio, I.M.; Santos, T.P.; Bione, F.R.A.; Belem, A.L.; Bernardes, M.C.; Díaz, R.A.; Moreira, M.; Carreira, V.; Spigolon, A.; Souza, I.V.; et al. Preservation Factors during Cretaceous Oceanic Anoxic Events in the Espírito Santo Basin, Southeast Brazil. Geosciences 2022, 12, 351. https://doi.org/10.3390/geosciences12100351
Venancio IM, Santos TP, Bione FRA, Belem AL, Bernardes MC, Díaz RA, Moreira M, Carreira V, Spigolon A, Souza IV, et al. Preservation Factors during Cretaceous Oceanic Anoxic Events in the Espírito Santo Basin, Southeast Brazil. Geosciences. 2022; 12(10):351. https://doi.org/10.3390/geosciences12100351
Chicago/Turabian StyleVenancio, Igor M., Thiago P. Santos, Fellippe R. A. Bione, Andre L. Belem, Marcelo C. Bernardes, Rut A. Díaz, Manuel Moreira, Victor Carreira, André Spigolon, Igor V. Souza, and et al. 2022. "Preservation Factors during Cretaceous Oceanic Anoxic Events in the Espírito Santo Basin, Southeast Brazil" Geosciences 12, no. 10: 351. https://doi.org/10.3390/geosciences12100351
APA StyleVenancio, I. M., Santos, T. P., Bione, F. R. A., Belem, A. L., Bernardes, M. C., Díaz, R. A., Moreira, M., Carreira, V., Spigolon, A., Souza, I. V., & Albuquerque, A. L. S. (2022). Preservation Factors during Cretaceous Oceanic Anoxic Events in the Espírito Santo Basin, Southeast Brazil. Geosciences, 12(10), 351. https://doi.org/10.3390/geosciences12100351
        
