Subsurface Geological Characterization of the Late Neogene–Quaternary Argive Basin, Peloponnese, Greece Using Transient Electromagnetic Data and Vintage Stratigraphic Logs
Abstract
1. Introduction
2. Geological Background
2.1. Geological Setting
2.2. Stratigraphic Logs
3. Geophysical Background
4. Materials and Methods
4.1. TEM Survey and Data Acquisition
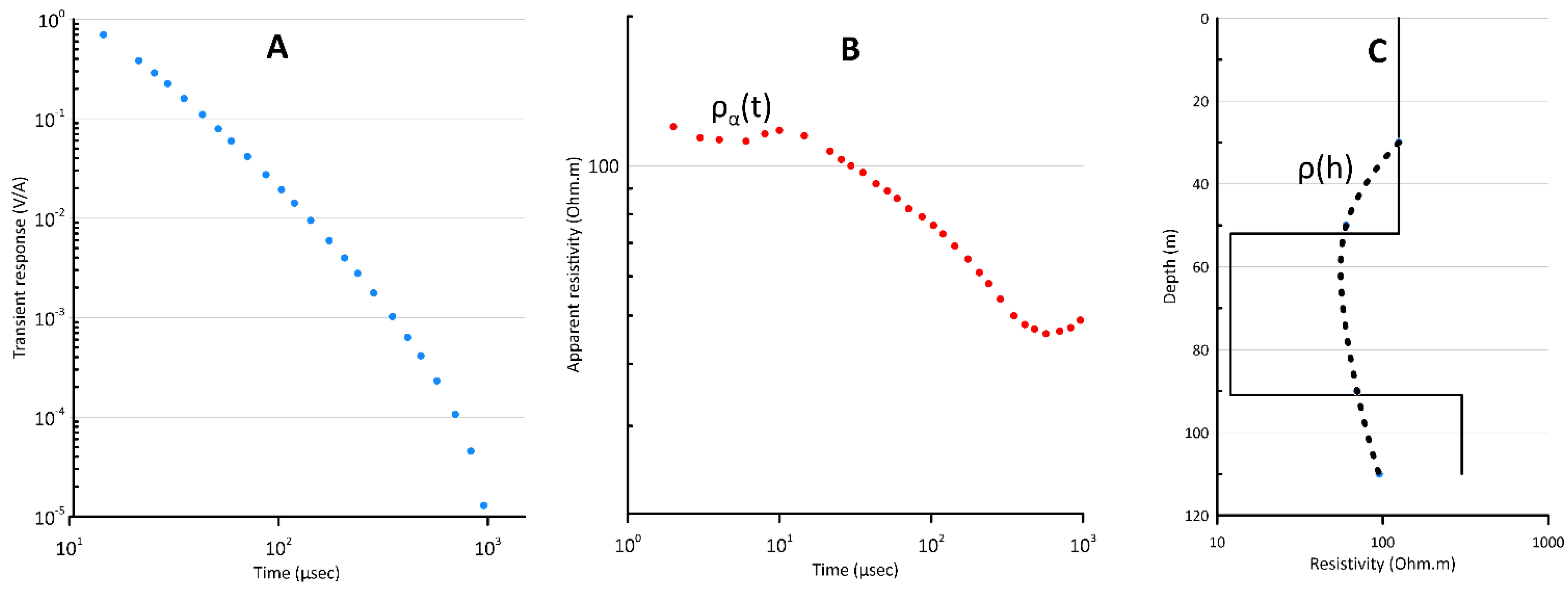
4.2. TEM 1D Data Processing and Inversion
5. TEM Survey Results and Interpretation
5.1. Quasi-2D Electrical Resistivity Profiles
5.2. Depth Slices of Average Electrical Resistivity
6. Discussion
7. Conclusions
Author Contributions
Funding
Institutional Review Board Statement
Informed Consent Statement
Data Availability Statement
Acknowledgments
Conflicts of Interest
References
- Soupios, P.M.; Kalisperi, D.; Kanta, A.; Kouli, M.; Barsukov, P.; Vallianatos, F. Coastal aquifer assessment based on geological and geophysical survey, northwestern Crete, Greece. Environ. Earth Sci. 2010, 61, 63–77. [Google Scholar] [CrossRef]
- Soupios, P.M.; Barsukov, P.; Gurk, M.; Savvaidis, A. Regional tectonic model of Volvi Lake in northern Greece by applying 3D TEM modeling. In Proceedings of the 20th International Geophysical Congress and Exhibition of Turkey, Antalya, Turkey, 25–27 November 2013. Extended Abstract. [Google Scholar]
- Vallianatos, F. Transient Electromagnetic Method in the Keritis basin (Crete, Greece): Evidence of hierarchy in a complex geological structure in view of Tsallis distribution. Ann. Geophys. 2017, 60 (Suppl. S6), GM 675. [Google Scholar] [CrossRef]
- Koutsios, A.; Kontopoulos, N.; Kalisperi, D.; Soupios, P.; Avramidis, P. Sedimentological and Geophysical Observations in the Delta Plain of Selinous River: The Lost City of Ancient Helike. Bull. Geol. Soc. Greece 2010, 43, 654–662. [Google Scholar] [CrossRef][Green Version]
- Kanta, A.; Soupios, P.M.; Barsukov, P.; Kouli, M.; Vallianatos, F. Aquifer characterization using shallow geophysics in the Keritis Basin of Western Crete, Greece. Environ. Earth Sci. 2013, 70, 2153–2165. [Google Scholar] [CrossRef]
- Mollidor, L.; Tezkan, B.; Bergers, R.; Löhken, J. Float-TEM: In-loop transient electromagnetic measurements on lake Holzmaar, Germany. Geophys. Prospect. 2013, 61, 1056–1065. [Google Scholar] [CrossRef]
- Von Papen, M.; Tezkan, B.; Israil, M. Characterization of an aquifer in Roorkee, India using the spatially constrained inversion of in-loop TEM data. Near Surf. Geophys. 2013, 11, 85–94. [Google Scholar] [CrossRef]
- Yogeshwar, P.; Tezkan, B.; Haroon, A. Investigation of the Azraq sedimentary basin, Jordan using integrated geoelectrical and electromagnetic techniques. Near Surf. Geophys. 2013, 11, 381–389. [Google Scholar] [CrossRef]
- Kourgialas, N.N.; Dokou, Z.; Karatzas, G.P.; Panagopoulos, G.; Soupios, P.M.; Vafidis, A.; Manoutsoglou, E.; Schafmeister, M. Saltwater intrusion in an irrigated agricultural area: Combining density-dependent modeling and geophysical methods. Environ. Earth Sci. 2016, 75, 1–15. [Google Scholar] [CrossRef]
- Autio, U.; Smirnov, M.Y.; Savvaidis, A.; Soupios, P.; Bastani, M. Combining electromagnetic measurements in the Mygdonian sedimentary basin, Greece. J. Appl. Geophys. 2016, 135, 261–269. [Google Scholar] [CrossRef]
- Demirci, I.; Candansayar, M.E.; Vafidis, A.; Soupios, P. Two Dimensional Joint Inversion of Direct Current Resistivity, Radio-Magnetotelluric, and Seismic Refraction Data: An application from Bafra Plain, Turkey. J. Appl. Geophys. 2017. [Google Scholar] [CrossRef]
- Kalisperi, D.; Kouli, M.; Vallianatos, F.; Soupios, P.; Kershaw, S.; Lydakis-Simantiris, N. A Transient ElectroMagnetic (TEM) Method Survey in North-Central Coast of Crete, Greece: Evidence of Seawater Intrusion. Geosciences 2018, 8, 107. [Google Scholar] [CrossRef]
- Rani, P.; Soupios, P.; Barsukov, P. Regional tectonic model of Southern, Central part of the Mygdonian basin (Northern Greece) by applying 3D Transient Electromagnetic Modeling. J. Appl. Geophys. 2019, 176, 104008. [Google Scholar] [CrossRef]
- Ruiz-Aguilar, D.; Tezkan, B.; Arango-Galvá, C.; Romo-Jones, J.M. 3D inversion of MT data from northern Mexico for geothermal exploration using TEM data as constraints. J. Appl. Geophys. 2020, 172, 103914. [Google Scholar] [CrossRef]
- Amorosi, A.; Farina, M.; Severi, P.; Petri, D.; Caporale, L.; Di Dio, G. Genetically related alluvial deposits across active fault zones: An example of alluvial fan-terrace correlation from the upper Quaternary of the southern Po Basin, Italy. Sediment. Geol. 1996, 102, 275–295. [Google Scholar] [CrossRef]
- Sweetkind, D.S.; Taylor, E.M.; Putnam, H. Stratigraphic Inferences Derived from Drill Hole Data of Tertiary Basin-Filling Rocks of the Pahrump Valley Basin, Nevada and California; US Geological Survey Open-File Report 2003-051; U.S. Geological Survey: Reston, VI, USA, 2003; p. 30.
- Taylor, E.M.; Sweetkind, D.S. Using Borehole data and three-dimensional models to map the groundwater system in the Amargosa Desert basin, Nevada and California. In Geological Models for Groundwater Flow Modeling-Workshop Extended Abstracts: Geological Survey of Canada; Thorleifson, L.H., Berg, R.C., Eds.; Open-File Report 5048; Government of Canada: Ottawa, ON, Canada, 2005; pp. 93–96. [Google Scholar]
- Sweetkind, D.S.; Drake, R.M., II. Geologic Characterization of Young Alluvial Basin-Fill Deposits from Drill-Hole Data in Yucca Flat, Nye County, Nevada; US Geological Survey Scientific Investigations Report 2007-5062; U.S. Geological Survey: Reston, VI, USA, 2007; p. 17.
- Papastamatiou, J.; Vetoulis, D.; Tataris, A.; Christodoulou, G.; Bornova, J.; Lalechos, N.; Kounis, G. Argos Sheet in Scale 1:50,000, Geological Map of Greece; Institute for Geology and Subsurface Research: Athens, Greece, 1960.
- Tataris, A.; Kallergis, G.; Kounis, G.; Bizon, G.; Christodoulou, G. Nafplion Sheet in Scale 1:50,000, Geological Map of Greece; Institute for Geology and Subsurface Research: Athens, Greece, 1970.
- Zangger, E. The Geoarchaeology of the Argolid; Deutsches Archäologisches Institut Athens: Gebr. Mann Verlag Berlin: Berlin, Germany, 1993; p. 153. [Google Scholar]
- Apostolidis, E.; Koutsouveli, A. Engineering geological mapping in the urban and suburban regions of Nafplion city (Argolis, Greece). Bull. Geol. Soc. Greece 2010, 43, 1418–1427. [Google Scholar] [CrossRef][Green Version]
- Karastathis, V.K.; Karmis, P.; Novikova, T.; Roumelioti, Z.; Gerolymatou, E.; Papanastassiou, D.; Lakopoulos, S.; Tsombos, P.; Papadopoulos, G.A. The contribution to geophysical techniques to site characterization and liquefaction risk assessment: Case study of Nafplion city, Greece. J. Appl. Geophys. 2010, 72, 194–211. [Google Scholar] [CrossRef]
- Karastathis, V.K.; Papadopoulos, G.A.; Novikova, T.; Roumelioti, Z.; Karmis, P.; Tsombos, P. Prediction and evaluation of nonlinear site response with potentially liquefiable layers in the area of Nafplion (Peloponnesus, Greece) for a repeat of historical earthquakes. Nat. Hazards Earth Syst. Sci. 2010, 10, 2281–2304. [Google Scholar] [CrossRef]
- Hinojosa-Prieto, H.R.; Hinzen, K.G. Seismic velocity model and near-surface geology at Mycenaean Tiryns, Argive basin, Peloponnese, Greece. Near Surf. Geophys. 2015, 13, 103–113. [Google Scholar] [CrossRef]
- Hinzen, K.G.; Hinojosa-Prieto, H.R.; Kalytta, T. Earthquake site effects at Mycenaean Tiryns and Midea. Seismol. Res. Lett. 2016, 87, 1–15. [Google Scholar] [CrossRef]
- Hinzen, K.G.; Maran, J.; Hinojosa-Prieto, H.R.; Damm-Meinhardt, U.; Reamer, S.K.; Tzislakis, J.; Kemna, K.; Schweppe, G.; Fleischer, C.; Demakopoulou, K. Reassessing the Mycenaean Earthquake Hypothesis: Results of the HERACLES Project from Tiryns and Midea, Greece. Bull. Seismol. Soc. Am. 2018, 108, 1046–1070. [Google Scholar] [CrossRef]
- Soupios, P.; Kouli, M.; Vallianatos, F.; Vafidis, A.; Stavroulakis, G. Estimation of Aquifer Parameters from Surficial Geophysical Methods: A Case Study of Keritis Basin in Crete. J. Hydrol. 2007, 338, 122–131. [Google Scholar] [CrossRef]
- Domenico, P.A.; Schwartz, F.W. Physical and Chemical Hydrogeology, 2nd ed.; John Wiley & Sons, Inc.: New York, NY, USA, 1990; p. 324. [Google Scholar]
- Hinojosa-Prieto, H.R. Local Site Effects in Archaeoseismology: Examples from the Mycenaean Citadels of Tiryns and Midea (Argive Basin, Peloponnese, Greece). Ph.D. Thesis, University of Cologne, Cologne, Germany, 2016. [Google Scholar]
- Van Andel, T.H.; Zangger, E.; Perissoratis, C. Quaternary transgressive/regressive cycles in the Gulf of Argos, Greece. Quat. Res. 1990, 34, 317–329. [Google Scholar] [CrossRef]
- Van Andel, T.H.; Perissoratis, C.; Rondoyanni, T. Quaternary tectonics of the Argolikos gulf and adjacent basins, Greece. J. Geol. Soc. Lond. 1993, 150, 529–539. [Google Scholar] [CrossRef]
- Piper, D.J.W.; Perissoratis, C. Quaternary neotectonics of the South Aegean arc. Mar. Geol. 2003, 198, 259–288. [Google Scholar] [CrossRef]
- Anastasakis, G.; Piper, D.J.W.; Dermitzakis, M.D.; Karakitsios, V. Upper Cenozoic stratigraphy and paleogeographic evolution of Myrtoon and adjacent basins, Aegean Sea, Greece. Mar. Pet. Geol. 2006, 23, 353–369. [Google Scholar] [CrossRef]
- Ntageretzis, K. Paleotsunami Imprints in the Near-Coast Sedimentary Records of the Gulfs of Lakonia and Argolis (Peloponnese, Greece). Ph.D. Thesis, Johannes Gutenberg-University of Mainz, Mainz, Germany, 2014. [Google Scholar]
- Giannoulopoulos, P. Groundwater Hydraulics and Mathematical Modeling in Argos Plain. Ph.D. Thesis, Agricultural University of Athens, Athens, Greece, 2000. [Google Scholar]
- Mitropoulos, D.; Zananiri, I. Upper Quaternary evolution of the northern Argolis gulf, Nafplion area. Bull. Geol. Soc. Greece 2010, 43, 1474–1485. [Google Scholar] [CrossRef][Green Version]
- Photiades, A. Geological contributions to the tectonostratigraphic of the Nafplion area (NW Argolis, Greece). Bull. Geol. Soc. Greece 2010, 43, 1495–1507. [Google Scholar] [CrossRef][Green Version]
- Karmis, P.D.; Giannoupoulos, P.; Tsombos, P. Geophysical investigations at Nafplion city, Greece: Hydrogeological implications. Bull. Geol. Soc. Greece 2010, 43, 1447–1456. [Google Scholar] [CrossRef][Green Version]
- Hübner, C.; Giese, S. Bericht zur Geophysikalischen Prospektion im Stadtgebiet von Tiryns. In Deutsches Archäologisches Institut Archäologischer Anzeiger; German: Berlin, Germany, 2006; Volume 1, pp. 163–169. [Google Scholar]
- Zananiri, I.; Hademenos, V.; Piteros, C. Geophysical investigations near the ancient Agora at the city of Argos, Greece. J. Geophys. Eng. 2010, 7, 171–182. [Google Scholar] [CrossRef]
- Applied Electromagnetic Research (AEMR). Available online: http://aemr.net/page2.htm (accessed on 17 May 2021).
- Constable, S.C.; Parker, R.L.; Constable, C.G. Occam’s inversion: A practical algorithm for generating smooth models from electromagnetic sounding data. Geophysics 1987, 52, 289–300. [Google Scholar] [CrossRef]
- Barsukov, P.O.; Fainberg, E.B. On the geoelectric structure of the Sphinx Area in Egypt. Near Surf. Geophys. 2016, 14, 39–45. [Google Scholar] [CrossRef]
- Strack, K.M. Exploration with Deep Transient Electromagnetics; Elsevier: Amsterdam, The Netherlands, 1992. [Google Scholar]
- Svetov, B.S.; Barsukov, P.O. Transformation of quasi-stationary geoelectric transient processes into equivalent wave processes. Izv. Phys. Solid Earth 1984, 8, 29–37. (In Russian) [Google Scholar]
- Barsukov, P.O.; Fainberg, E.B. On the Locality of Transient Electromagnetic Soundings with a Single-Loop Configuration. Izv. Phys. Solid Earth 2018, 54, 349–358. [Google Scholar] [CrossRef]
- Gubatenko, V.P.; Tikshaev, V.V. On changes in the sign of electromotive force of induction in the transient electromagnetic field method. Izv. Phys. Solid Earth 1979, 3, 95–99. (In Russian) [Google Scholar]
- Kaufman, A.A.; Keller, G.V. Frequency and Transient Soundings; Elsevier: Amsterdam, The Netherlands, 1983; p. 685. [Google Scholar]
- Barsukov, P.O.; Fainberg, E.B.; Khabensky, E.O. Shallow Investigation by TEM-FAST Technique: Methodology and Case Histories. In Electromagnetic Sounding of the Earth’s Interior Theory, Modeling, Practice, 2nd ed.; Spichak, V.V., Ed.; Elsevier: Amsterdam, The Netherlands, 2015; pp. 55–77. [Google Scholar] [CrossRef]
- BerdicheVsky, M.N.; Dmitriev, V.I. Magnetotelluric Sounding of Horizontally-Uniform Media; NEDRA: Moscow, Russia, 1992; p. 250. (In Russian) [Google Scholar]
- Reynolds, J.M. An Introduction to Applied and Environmental Geophysics, 2nd ed.; John Wiley & Sons: Hoboken, NJ, USA, 2011; p. 712. [Google Scholar]
- Papanikolaou, D.; Chronis, G.; Metaxas, C. Neotectonic structure of the Argolic gulf. Bull. Geol. Soc. Greece 1994, 30, 305–316. [Google Scholar]
- Georgiou, C.; Galanakis, D. Neotectonic study of urban and suburban Nafplion area (Argolida-Greece). Bull. Geol. Soc. Greece 2010, 43, 1428–1437. [Google Scholar]
- Greek Ministry of Agriculture. Water Level and Quality Control Measurements in Argolic Basin; Technical Report in Greek: Athens, Greece, 1963–1975. [Google Scholar]
- Krieger, R.A. The Chemistry of Saline Waters. Ground Water 1963, 1, 7–12. [Google Scholar] [CrossRef]
- Hem, J.D. Study and Interpretation of the Chemical Characteristics of Natural Water, 3rd ed.; Water Supply Paper 2254; United States Geological Survey: Reston, VI, USA, 1985; p. 280.
Short Biography of Authors








| Publisher’s Note: MDPI stays neutral with regard to jurisdictional claims in published maps and institutional affiliations. | 
© 2021 by the authors. Licensee MDPI, Basel, Switzerland. This article is an open access article distributed under the terms and conditions of the Creative Commons Attribution (CC BY) license (https://creativecommons.org/licenses/by/4.0/).
Share and Cite
Hinojosa-Prieto, H.R.; Soupios, P.; Barsukov, P. Subsurface Geological Characterization of the Late Neogene–Quaternary Argive Basin, Peloponnese, Greece Using Transient Electromagnetic Data and Vintage Stratigraphic Logs. Geosciences 2021, 11, 317. https://doi.org/10.3390/geosciences11080317
Hinojosa-Prieto HR, Soupios P, Barsukov P. Subsurface Geological Characterization of the Late Neogene–Quaternary Argive Basin, Peloponnese, Greece Using Transient Electromagnetic Data and Vintage Stratigraphic Logs. Geosciences. 2021; 11(8):317. https://doi.org/10.3390/geosciences11080317
Chicago/Turabian StyleHinojosa-Prieto, Hector R., Pantelis Soupios, and Pavel Barsukov. 2021. "Subsurface Geological Characterization of the Late Neogene–Quaternary Argive Basin, Peloponnese, Greece Using Transient Electromagnetic Data and Vintage Stratigraphic Logs" Geosciences 11, no. 8: 317. https://doi.org/10.3390/geosciences11080317
APA StyleHinojosa-Prieto, H. R., Soupios, P., & Barsukov, P. (2021). Subsurface Geological Characterization of the Late Neogene–Quaternary Argive Basin, Peloponnese, Greece Using Transient Electromagnetic Data and Vintage Stratigraphic Logs. Geosciences, 11(8), 317. https://doi.org/10.3390/geosciences11080317
 
         
                                                


