Flume Experiments on Flow Analysis and Energy Reduction through a Compound Tsunami Mitigation System with a Seaward Embankment and Landward Vegetation over a Mound
Abstract
1. Introduction
- To investigate flow variations around the compound mitigation system.
- To create a water cushion by positioning the start of a hydraulic jump on the embankment slope.
- To clarify the effects of different densities of single-layer emergent vegetation models over a mound on the formation of a water cushion.
- To quantify the energy reduction due to the combined effect of vegetation over a mound.
2. Materials and Methods
2.1. Experimental Procedure and Flow Conditions
2.2. Model Design and Vegetation Conditions
2.3. Non-Dimensional Parameters Used in This Study
2.4. Methods for Evaluating the Loss of Tsunami Energy
3. Results
3.1. Changes of Flow Variations within Hybrid Mitigation System
3.1.1. Effect of a Mound on Hydraulic Jump Formation
3.1.2. Effect of Vegetation over Mound on Hydraulic Jump Formation
3.2. Properties of the Flow
3.2.1. Combined Effect of Vegetation Density and Mound Height on the Position of the Hydraulic Jump
3.2.2. Combined Effect of Vegetation Density and Mound Height on Tailwater Depth
3.2.3. Water Surface Slope within the Vegetation Model
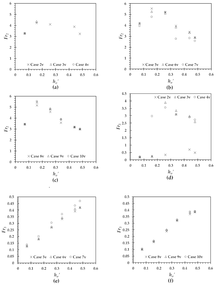
3.2.4. Froude Numbers Resulting from the Combined Effect of Vegetation Density and Mound Height
3.3. Energy Reduction
3.3.1. Effect of Mound on Energy Reduction
3.3.2. Combined Effect of Vegetation and Mound on Energy Reduction
4. Discussion
4.1. Changes of Flow and Water Cushion
4.2. Energy Reduction
5. Conclusions
- After the vegetation is placed on a mound behind an embankment, the flow structures are changed significantly, and a hydraulic jump, i.e., a water cushion phenomenon, is formed within the system, which reduces the impact of the overflowing water by preventing it from directly hitting the downstream structure.
- In EMV (seaward embankment followed by landward vegetation over a mound) cases, increasing the mound height while keeping the vegetation density the same moved the hydraulic jump to the safer side (i.e., on the downward slope of the embankment) because of the combined effect of mound and vegetation. For the highest mound, the toe of the hydraulic jump remains on the embankment slope, which is much safer because the embankment is protected. However, such flow structures, i.e., water cushions, did not occur in EMNV cases (seaward embankment followed by only a mound) because the mound is not big enough.
- The position of a hydraulic jump toe (Pj’) on the embankment slope was shifted toward the embankment top, and the tailwater depth (ht’) was increased due to the combined effect of mound height and vegetation. These phenomena increased the magnitude of the formed water cushion within the mitigation system, which will prevent the overtopping flow from directly hitting the ground, and will consequently reduce scouring at the embankment toe. In addition, increasing both the mound height and the vegetation density offered larger drag and greater resistance to the flow and caused a further shift of Pj’ toward the embankment slope and increased ht’, which consequently increased the magnitude of the water cushion.
- The maximum reduction of the flow energy was found to be 41%–66% in EMV cases. Due to the formation of a water cushion within the mitigation system, the vegetation further reduced the flow energy compared with EMNV cases. The increment of the overtopping flow depths caused more energy reduction compared to EMNV cases, which indicates the significance of vegetation. Furthermore, no significant variation in the overall total energy reduction was observed by increasing the mound height while keeping the vegetation configuration the same. Among all of the vegetation configurations, the intermediate case was most effective because it reduced energy more due to closer spacing between the cylinders. In addition, the mound with the intermediate vegetation case could be of short width compared to the other vegetation cases (sparse, and sparser), which would be effective from both an economic point of view and land availability.
Author Contributions
Funding
Acknowledgments
Conflicts of Interest
References
- Tappin, D.R.; Evans, H.M.; Jordan, C.J.; Richmond, B.; Sugawara, D.; Goto, K. Coastal changes in the Sendai area from the impact of the 2011 Tōhoku-oki tsunami: Interpretations of time series satellite images, helicopter-borne video footage and field observations. Sediment. Geogr. 2012, 282, 151–174. [Google Scholar] [CrossRef]
- Tanaka, N. Effectiveness and limitations of coastal forest in large tsunami: Conditions of Japanese pine trees on coastal sand dunes in tsunami caused by Great East Japan Earthquake. J. Jpn. Soc. Civ. Eng. Ser. B1 2012, 68, 7–15. [Google Scholar] [CrossRef]
- Okumura, N.; Jonkman, S.N.; Esteban, M.; Hofland, B.; Shibayama, T. A method for tsunami risk assessment: A case study for Kamakura, Japan. Nat. Hazards 2017, 88, 1451–1472. [Google Scholar] [CrossRef]
- Fadly, U.; Murakami, K. Study on reducing tsunami inundation energy by the modification of topography based on local wisdom. J. Jpn. Soc. Civ. Eng. Ser. B3 2013, 68, 66–71. [Google Scholar] [CrossRef]
- Igarashi, Y.; Tanaka, N. Evaluation of energy reduction by the double embankment system on the change of flow structure after the overtopping of level 2 tsunami from sea embankment. J. Jpn. Soc. Civ. Eng. Ser. B1 2017, 73, 1009–1014. [Google Scholar] [CrossRef]
- Zaha, T.; Tanaka, N.; Kimiwada, Y. Flume experiments on optimal arrangement of hybrid defense system comprising an embankment, moat, and emergent vegetation to mitigate inundating tsunami current. Ocean Eng. 2019, 173, 45–57. [Google Scholar] [CrossRef]
- Kimiwada, Y.; Tanaka, N.; Zaha, T. Differences in effectiveness of a hybrid tsunami defense system comprising an embankment, moat, and forest in submerged, emergent, or combined conditions. Ocean Eng. 2020, 208, 107457. [Google Scholar] [CrossRef]
- Teh, S.Y.; Koh, H.L.; Liu, P.L.F.; Ismail, A.I.M.; Lee, H.L. Analytical and numerical simulation of tsunami mitigation by mangroves in Penang, Malaysia. J. Asian Earth Sci. 2009, 36, 38–46. [Google Scholar] [CrossRef]
- Rahman, M.M.; Schaab, C.; Nakaza, E. Experimental and numerical modeling of tsunami mitigation by canals. J. Waterw. Port Coast. Ocean Eng. 2016, 143, 04016012. [Google Scholar] [CrossRef]
- Mineura, R.; Tsujimoto, G.; Yamada, F. A Study on scouring by overflow from seawall and application of an artificial trench. J. Jpn. Soc. Civ. Eng. Ser. B2 (Coast. Eng.) 2013, 69, 791–795. [Google Scholar]
- Tokida, K.; Tanimoto, R. Lessons for countermeasures using earth structures against tsunami obtained in the 2011 off the Pacific Coast of Tohoku Earthquake. Soils Found. 2014, 54, 523–543. [Google Scholar] [CrossRef]
- Tsujimoto, G.; Mineura, R.; Yamada, F.; Kakinoki, T.; Uno, K. Scouring mechanism behind seawall from tsunami overflow and optimum conditions to reduce tsunami energy with an artificial trench. Coast. Eng. Proc. 2015, 1, 38. [Google Scholar] [CrossRef]
- Strusi’nska-Correia, A. Tsunami mitigation in Japan after the 2011 Tohoku Tsunami. Int. J. Disaster Risk Reduct. 2017, 22, 397–411. [Google Scholar] [CrossRef]
- Rashedunnabi, A.H.M.; Tanaka, N.R. Energy reduction of a tsunami current through a hybrid defense system comprising a sea embankment followed by a coastal forest. Geosciences 2019, 9, 247. [Google Scholar]
- Kyprioti, A.P.; Taflanidis, A.A.; Kennedy, A.B. Dissipation Effects of Coastal Vegetation on Nearshore Structures under Wave Runup Loading. J. Struct. Eng. 2021, 147, 06020010. [Google Scholar] [CrossRef]
- Marras, S.; Mandli, K.T. Modeling and Simulation of Tsunami Impact: A Short Review of Recent Advances and Future Challenges. Geosciences 2021, 11, 5. [Google Scholar] [CrossRef]
- Shuto, N. The effectiveness and limit of tsunami control forests. Coast. Eng. Jpn. 1987, 30, 143–153. [Google Scholar] [CrossRef]
- Tanaka, N. Vegetation bioshields for tsunami mitigation: Review of effectiveness, limitations, construction, and sustainable management. Landsc. Ecol. Eng. 2009, 5, 71–79. [Google Scholar] [CrossRef]
- Yanagisawa, H.; Koshimura, S.; Goto, K.; Miyagi, T.; Imamura, F.; Ruangrassamee, A.; Tanavud, C. The reduction effects of mangrove forest on a tsunami based on field surveys at Pakarang Cape, Thailand and numerical analysis. Estuar. Coast. Shelf Sci. 2009, 81, 27–37. [Google Scholar] [CrossRef]
- Osti, R.; Tanaka, S.; Tokioka, T. The importance of mangrove forest in tsunami disaster mitigation. Disasters 2009, 33, 203–213. [Google Scholar] [CrossRef] [PubMed]
- Matsuba, S.; Mikami, T.; Jayaratne, R.; Shibayama, T.; Esteban, M. Analysis of tsunami behavior and the effect of coastal forest in reducing tsunami force around the coastal dikes. Coast. Eng. Proc. 2014, 1, 37. [Google Scholar] [CrossRef]
- Pasha, G.A.; Tanaka, N. Undular hydraulic jump formation and energy loss in a flow through emergent vegetation of varying thickness and density. Ocean Eng. 2017, 141, 308–325. [Google Scholar] [CrossRef]
- Anjum, N.; Tanaka, N. Experimental study on flow analysis and energy loss around discontinued vertically layered vegetation. Environ. Fluid Mech. 2020, 20, 791–817. [Google Scholar] [CrossRef]
- Iimura, K.; Tanaka, N. Numerical simulation estimating effects of tree density distribution in coastal forest on tsunami mitigation. Ocean Eng. 2012, 54, 223–232. [Google Scholar] [CrossRef]
- Harada, K.; Imamura, F. Effects of coastal forest on tsunami hazard mitigation—A preliminary investigation. In Tsunamis. Advances in Natural and Technological Hazards Research; Satake, K., Ed.; Springer: Dordrecht, The Netherlands, 2005; Volume 23. [Google Scholar] [CrossRef]
- Thuy, N.B.; Nandasena, N.A.K.; Hai Dang, V.; Tanaka, N.; Quoc Viet, H.; Giay, C. Simplified formulae for designing coastal forest against tsunami run-up: One-dimensional approach. Mar. Geophys. Geol. 2018, 92, 327–346. [Google Scholar] [CrossRef]
- Aniel-Quiroga, Í.; Vidal, C.; Lara, J.L.; González, M.; Sainz, Á. Stability of rubble-mound breakwaters under tsunami frst impact and overfow based on laboratory experiments. Coast Eng. 2018, 135, 39–54. [Google Scholar] [CrossRef]
- Nandasena, N.A.K.; Tanaka, N.; Sasaki, Y.; Osada, M. Boulder transport by the 2011 Great East Japan tsunami: Comprehensive field observations and whither model predictions? Mar. Geol. 2013, 346, 292–309. [Google Scholar] [CrossRef]
- Nandasena, N.A.K.; Sasaki, Y.; Tanaka, N. Modeling field observations of the 2011 Great East Japan tsunami: Efficacy of artificial and natural structures on tsunami mitigation. Coast. Eng. 2012, 67, 1–13. [Google Scholar] [CrossRef]
- Pasha, G.A.; Tanaka, N.; Yagisawa, J.; Achmad, F.N. Tsunami mitigation by combination of coastal vegetation and a backward-facing step. Coast. Eng. J. 2018, 60, 104–125. [Google Scholar] [CrossRef]
- Chow, V.T. Open-Channel Hydraulics; McGraw-Hill: New York, NY, USA, 1959; p. 728. [Google Scholar]
- Hager, W.H. B-jump in sloping channel. J. Hydraul. Res. 1988, 26, 539–558. [Google Scholar] [CrossRef]
- Chanson, H. The Hydraulics of Open Channel Flow: An Introduction: Basic Principles, Sediment Motion, Hydraulic Modelling, Design of Hydraulic Structures, 2nd ed.; Elsevier Ltd.: Amsterdam, The Netherlands, 2004; ISBN 9780080472973. [Google Scholar]
- Peterka, A.J. Hydraulic Design of Stilling Basins and Energy Dissipators; Engineering Monograph Number-25; U.S. Bureau of Reclamation: Denver, CO, USA, 1963. [Google Scholar]
- Na, B.; Chang, K.A.; Huang, Z.C.; Lim, H.J. Turbulent flow field and air entrainment in laboratory plunging breaking waves. J. Geophys. Res. Oceans 2016, 121, 2980–3009. [Google Scholar] [CrossRef]
- Mikami, T.; Shibayama, T.; Esteban, M. Field Survey of the 2011 Tohoku Earthquake and Tsunami in Miyagi and Fukushima Prefectures. Coast. Eng. J. 2012, 54, 1–26. [Google Scholar] [CrossRef]
- Tanaka, N.; Sato, M. Scoured depth and length of pools and ditches generated by overtopping flow from embankments during the 2011 Great East Japan Tsunami. Ocean Eng. 2015, 109, 72–82. [Google Scholar] [CrossRef]
- Song, J.; De Risi, R.; Goda, K. Influence of Flow Velocity on Tsunami Loss Estimation. Geosciences 2017, 7, 114. [Google Scholar] [CrossRef]
- Adam, A.M.; Ruff, J.F.; AlQaser, G.; Abt, S.R. Characteristics of B-jump with different toe locations. J. Hydraul. Eng. 1993, 119, 938–948. [Google Scholar] [CrossRef]
- Kawagoshi, N.; Hager, W.H. B-jump in sloping channel, II. J. Hydraul. Res. 1990, 28, 461–480. [Google Scholar] [CrossRef]








| Case No. | Mound Followed by E (EMNV)/Forest Type over M Followed by E (EMV) | Hm’ | lm’ | WV (cm) | D (cm) | Porosity (Pr) % | G/d |
|---|---|---|---|---|---|---|---|
| 1 | Only Embankment | - | - | - | - | - | - |
| 2 | Mound-1 (shallow) | 0.124 | 1.076 | - | - | - | - |
| 3 | Mound-1 (shallow) | 0.124 | 1.543 | - | - | - | - |
| 4 | Mound-1 (shallow) | 0.124 | 4.065 | - | - | - | - |
| 5 | Mound-2 (medium) | 0.186 | 1.325 | - | - | - | - |
| 6 | Mound-2 (medium) | 0.186 | 1.791 | - | - | - | - |
| 7 | Mound-2 (medium) | 0.186 | 4.314 | - | - | - | - |
| 8 | Mound-3 (high) | 0.248 | 1.573 | - | - | - | - |
| 9 | Mound-3 (high) | 0.248 | 2.04 | - | - | - | - |
| 10 | Mound-3 (high) | 0.248 | 4.562 | - | - | - | - |
| 2v | Intermediate | 0.124 | 1.076 | 5.41 | 1.67 | 91 | 1.088 |
| 3v | Sparse | 0.124 | 1.543 | 12.18 | 2.5 | 98 | 2.125 |
| 4v | Sparser | 0.124 | 4.065 | 48.75 | 5 | 99 | 5.25 |
| 5v | Intermediate | 0.186 | 1.325 | 5.41 | 1.67 | 91 | 1.088 |
| 6v | Sparse | 0.186 | 1.791 | 12.18 | 2.5 | 98 | 2.125 |
| 7v | Sparser | 0.186 | 4.314 | 48.75 | 5 | 99 | 5.25 |
| 8v | Intermediate | 0.248 | 1.573 | 5.41 | 1.67 | 91 | 1.088 |
| 9v | Sparse | 0.248 | 2.04 | 12.18 | 2.5 | 98 | 2.125 |
| 10v | Sparser | 0.248 | 4.562 | 48.75 | 5 | 99 | 5.25 |
Publisher’s Note: MDPI stays neutral with regard to jurisdictional claims in published maps and institutional affiliations. |
© 2021 by the authors. Licensee MDPI, Basel, Switzerland. This article is an open access article distributed under the terms and conditions of the Creative Commons Attribution (CC BY) license (http://creativecommons.org/licenses/by/4.0/).
Share and Cite
Rahman, M.A.; Tanaka, N.; Rashedunnabi, A.H.M. Flume Experiments on Flow Analysis and Energy Reduction through a Compound Tsunami Mitigation System with a Seaward Embankment and Landward Vegetation over a Mound. Geosciences 2021, 11, 90. https://doi.org/10.3390/geosciences11020090
Rahman MA, Tanaka N, Rashedunnabi AHM. Flume Experiments on Flow Analysis and Energy Reduction through a Compound Tsunami Mitigation System with a Seaward Embankment and Landward Vegetation over a Mound. Geosciences. 2021; 11(2):90. https://doi.org/10.3390/geosciences11020090
Chicago/Turabian StyleRahman, Md Abedur, Norio Tanaka, and A. H. M. Rashedunnabi. 2021. "Flume Experiments on Flow Analysis and Energy Reduction through a Compound Tsunami Mitigation System with a Seaward Embankment and Landward Vegetation over a Mound" Geosciences 11, no. 2: 90. https://doi.org/10.3390/geosciences11020090
APA StyleRahman, M. A., Tanaka, N., & Rashedunnabi, A. H. M. (2021). Flume Experiments on Flow Analysis and Energy Reduction through a Compound Tsunami Mitigation System with a Seaward Embankment and Landward Vegetation over a Mound. Geosciences, 11(2), 90. https://doi.org/10.3390/geosciences11020090

