Evaluation of Key PSHA Assumptions—Case-Study for Romania
Abstract
1. Introduction
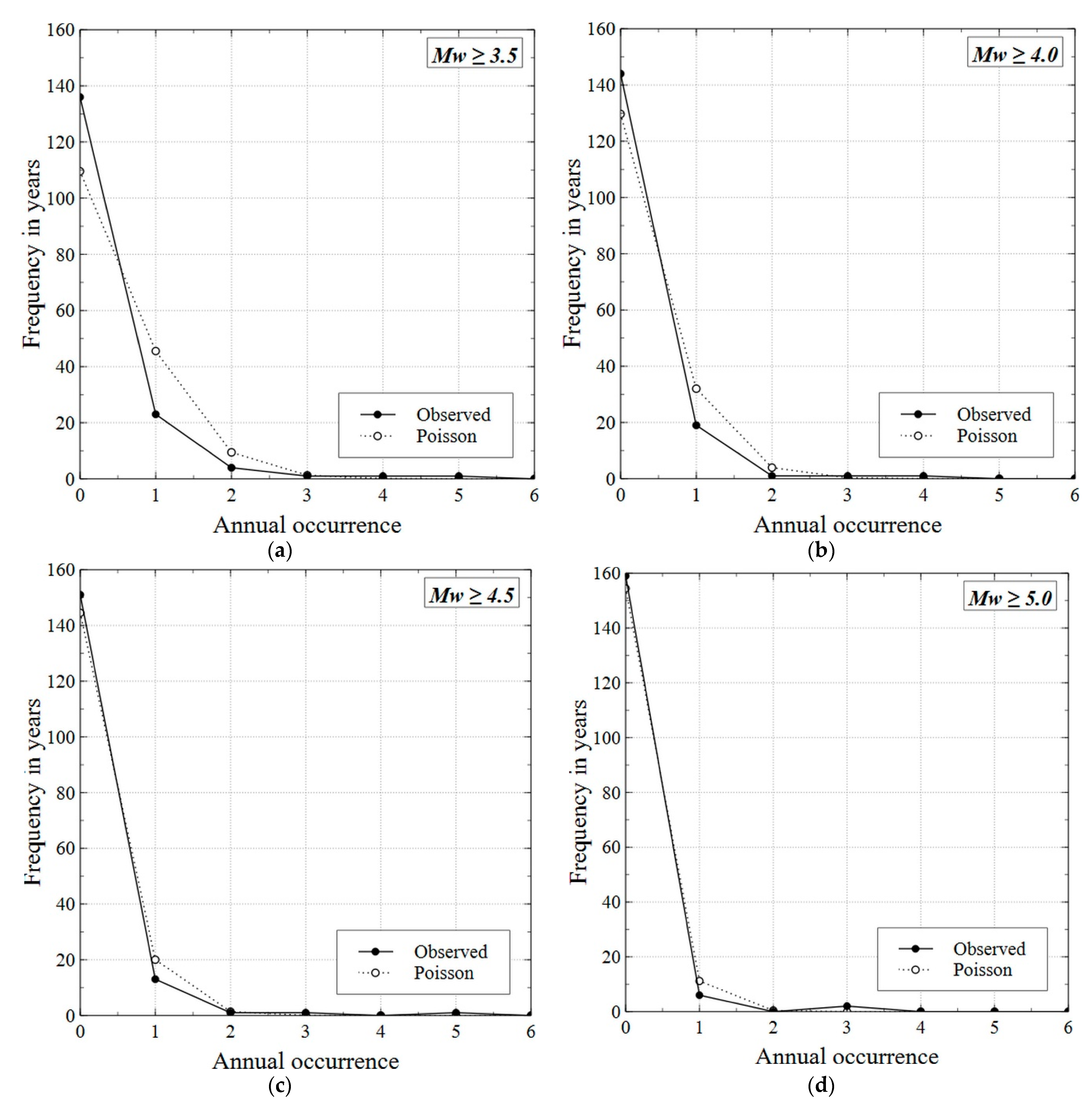
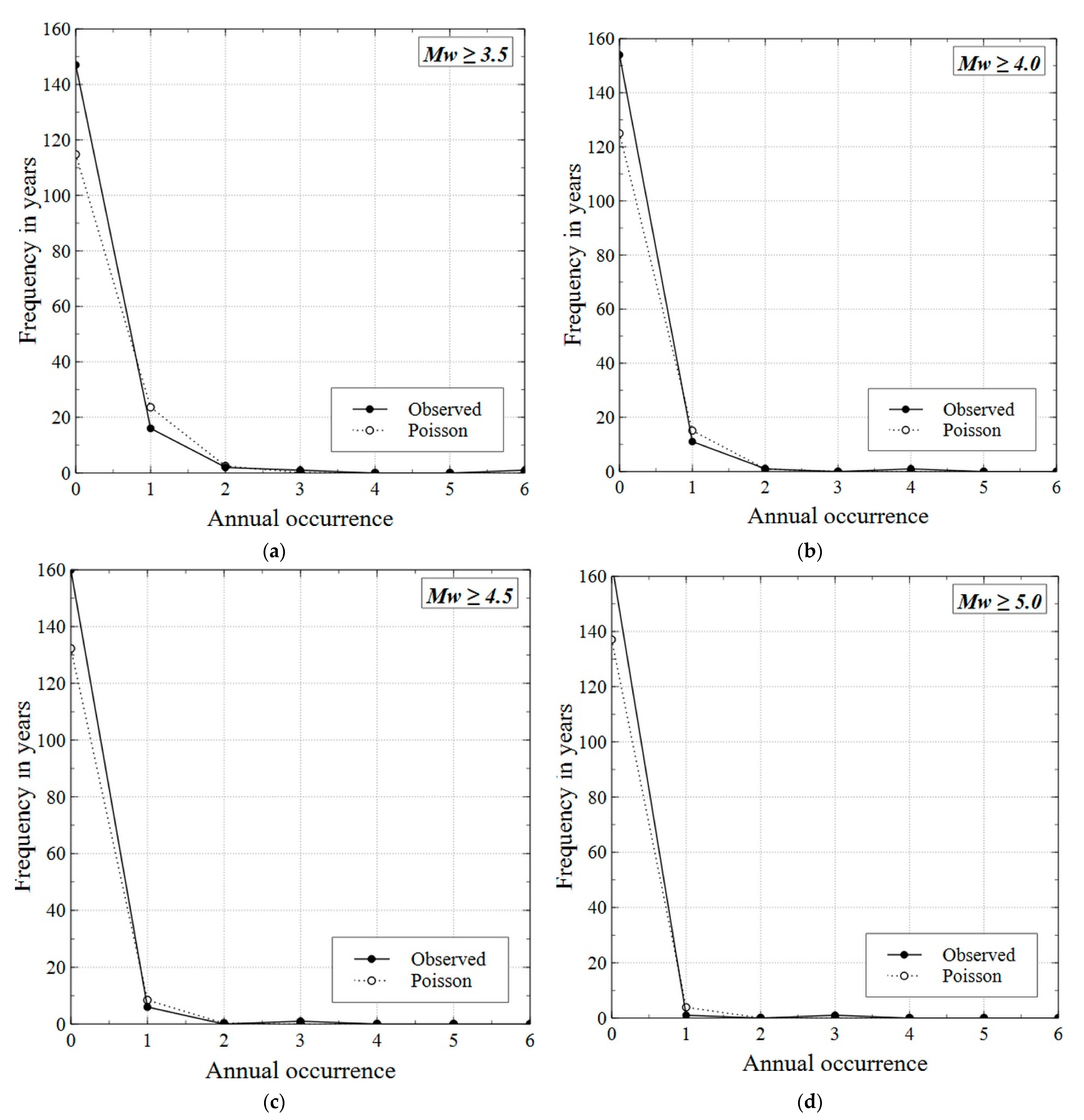
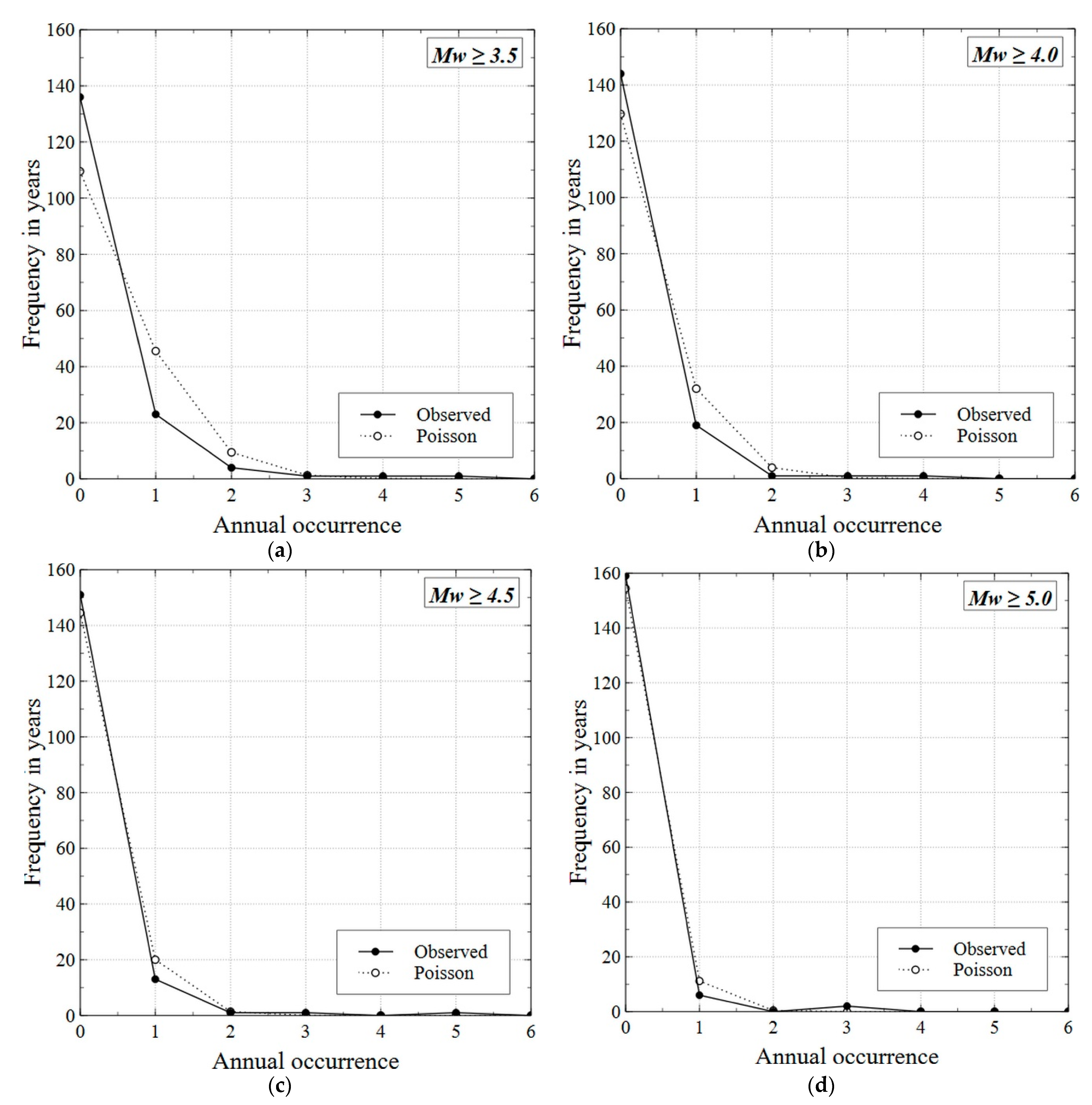
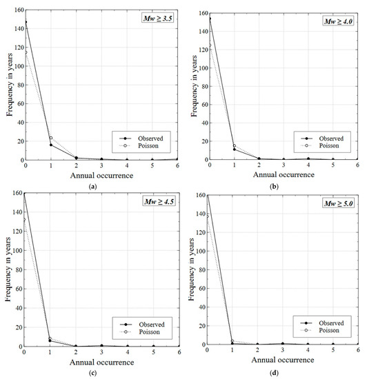
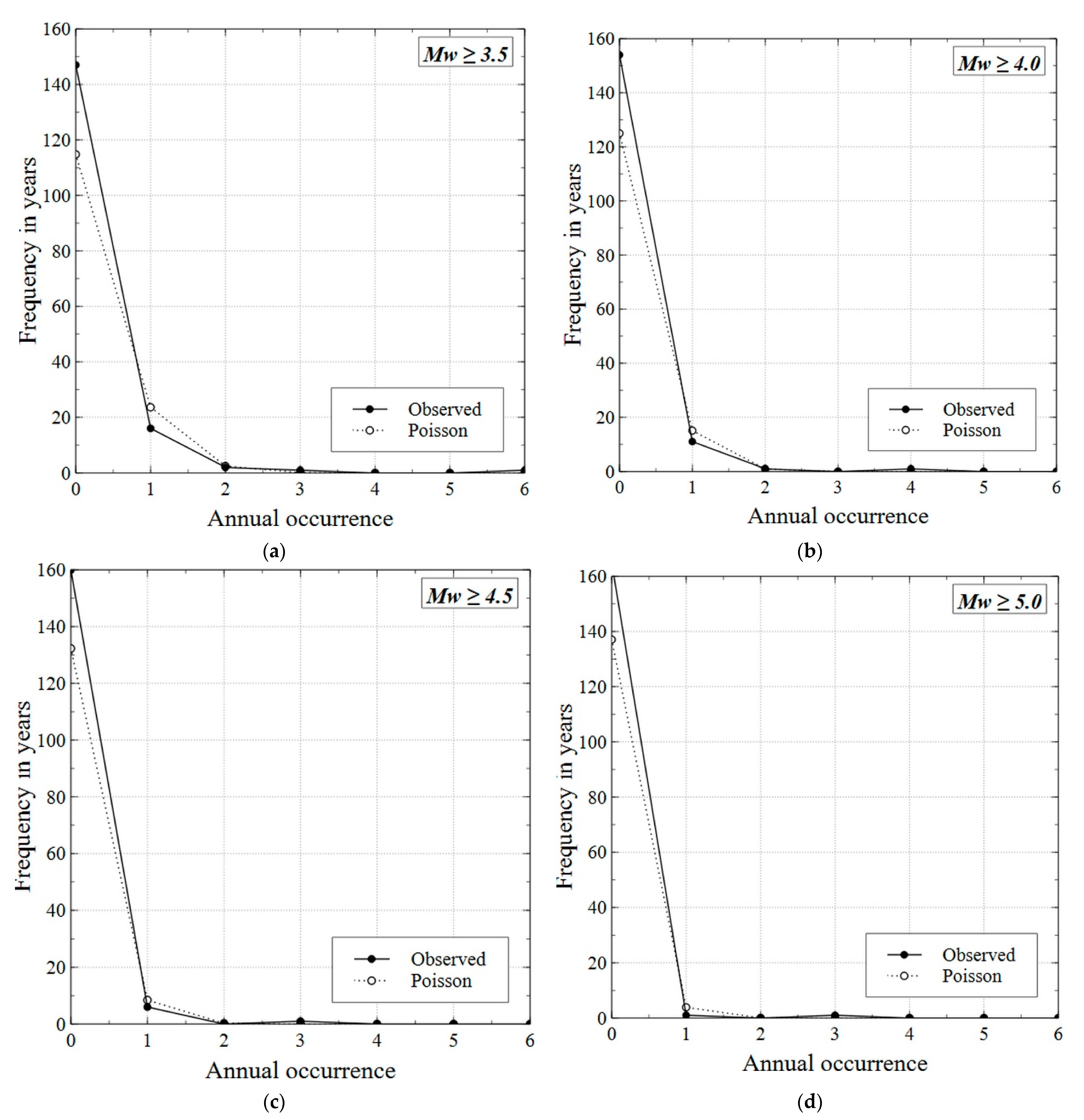
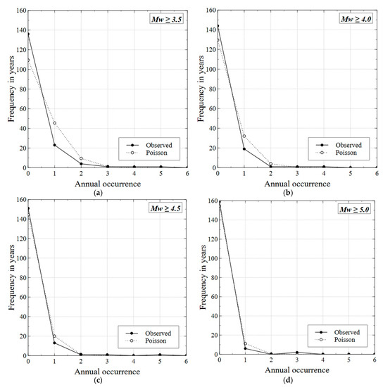
2. Evaluation of the Poisson’s Assumption
- MW = 6.0 for the Vrancea intermediate-depth seismic source;
- MW = 5.2 for the Banat crustal seismic source;
- MW = 5.3 for the Fagaras-Campulung crustal seismic source.
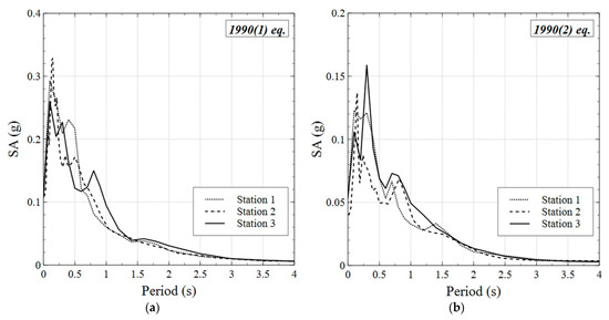
3. Assessment of the Azimuthal Dependency of Ground Motion Amplitudes
- The damage for the 1940 event which had an epicenter in the region of the May 1990 events was concentrated mainly towards the North-East and in the regions close to the epicenter. Thus, a slower attenuation towards Zones 1 and 2 (as defined in Figure 5) can be deduced from the collected damage data;
- The damage for the 1977 event which had an epicenter in the region of the August 1986 event was concentrated mainly towards the South-West and in the regions close to the epicenter. In this case, a slower attenuation towards Zone 4 can be inferred from the damage observations;
- Some of the regions which were affected in both the 1940 and 1977 earthquakes are situated near rivers, in soft soil conditions. In some of these areas, liquefaction phenomena were observed during both the 1940 and the 1977 earthquakes [44].
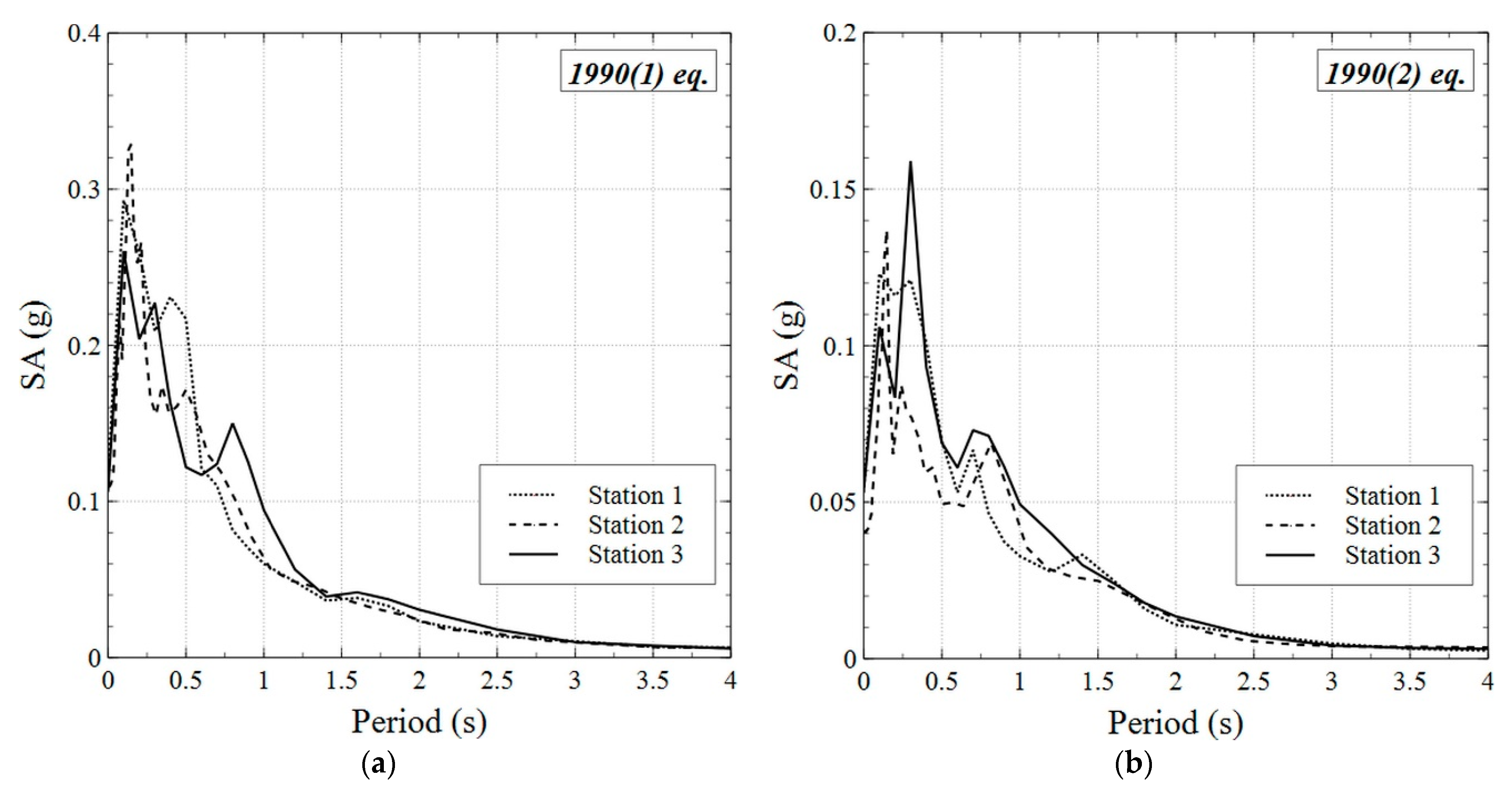
4. Analysis of Ground Motion Amplifications Due to Basin Effects
5. Conclusions
- The Poisson distribution is able to model the observed earthquake frequency occurrence for the larger magnitude seismic events in the dataset. The threshold magnitudes below which the Poisson assumption can be rejected are MW = 5.2–5.3 for the Banat and Fagaras-Campulung crustal seismic sources and MW = 6.0 for the Vrancea intermediate-depth seismic source;
- Similar attenuation trends in the attenuation were observed for all three zones and for all three spectral periods only in the case of 30 May 1990 earthquake. In the case of the 31 May 1990 event and especially in the case of 30 August 1986 earthquake, the differences in attenuation among the three zones are significant. However, it has to be highlighted the fact that the observations made in this study are based on a rather limited ground motion dataset and thus further analyses are needed in order to validate the findings in this study. Moreover, the fit between the observed data and the proposed model is extremely poor in many cases, thus the attenuation process is much more complex and it requires additional parameters in order to better explain the recorded data;
- The damage for the 1940 event which had an epicenter in the region of the May 1990 events was concentrated mainly towards the North-East and in the regions close to the epicenter. In the case of the 1977 event which had an epicenter in the region of the August 1986 event, the damage was concentrated mainly towards the South-West and in the regions close to the epicenter;
- No significant differences in terms of ground motion amplitudes were observed at three seismic stations in Iasi area during the Vrancea intermediate-depth earthquakes of 30 May 1990 and 31 May 1990 even though two seismic stations were situated in the valley and the other one on the slope, possibly due to the small elevation difference between them.
- Long-period spectral amplifications were observed at seismic stations situated in the intramountainous depressions (e.g., Joseni and Turnu-Rosu). A re-estimation of the design spectral shapes for such sites should be performed in the future version of the Romanian seismic design code, as the current version of the code [48] seems to underestimate these amplifications.
Funding
Institutional Review Board Statement.
Informed Consent Statement
Data Availability Statement
Conflicts of Interest
References
- Ambraseys, N.N. Long-Period Effects in the Romanian Earthquake of March 1977. Nature 1977, 268, 324–325. [Google Scholar] [CrossRef]
- Fillerup, M.A.; Knapp, J.H.; Knapp, C.C.; Raileanu, V. Mantle Earthquakes in the Absence of Subduction? Continental Delamination in the Romanian Carpathians. Lithosphere 2010, 2, 333–340. [Google Scholar] [CrossRef][Green Version]
- Koulakov, I.; Zaharia, B.; Enescu, B.; Radulian, M.; Popa, M.; Parolai, S.; Zschau, J. Delamination or Slab Detachment beneath Vrancea? New Arguments from Local Earthquake Tomography. Geochem. Geophys. Geosyst. 2010, 11. [Google Scholar] [CrossRef]
- Ismail-Zadeh, A.; Matenco, L.; Radulian, M.; Cloetingh, S.; Panza, G. Geodynamics and Intermediate-Depth Seismicity in Vrancea (the South-Eastern Carpathians): Current State-of-the Art. Tectonophysics 2012, 530–531, 50–79. [Google Scholar] [CrossRef]
- Bokelmann, G.; Rodler, F.-A. Nature of the Vrancea Seismic Zone (Eastern Carpathians)—New Constraints from Dispersion of First-Arriving P-Waves. Earth Planet. Sci. Lett. 2014, 390, 59–68. [Google Scholar] [CrossRef]
- Petrescu, L.; Borleanu, F.; Radulian, M.; Ismail-Zadeh, A.; Maţenco, L. Tectonic Regimes and Stress Patterns in the Vrancea Seismic Zone: Insights into Intermediate-Depth Earthquake Nests in Locked Collisional Settings. Tectonophysics 2020, 799, 228688. [Google Scholar] [CrossRef]
- Frohlich, C. Deep Earthquakes; Cambridge University Press: Cambridge, UK, 2006; ISBN 978-0-521-82869-7. [Google Scholar]
- Pavel, F.; Vacareanu, R.; Cioflan, C.; Iancovici, M. Spectral Characteristics of Strong Ground Motions from Intermediate-Depth Vrancea Seismic SourceSpectral Characteristics of Strong Ground Motions from Intermediate-Depth Vrancea Seismic Source. Bull. Seismol. Soc. Am. 2014, 104, 2842–2850. [Google Scholar] [CrossRef]
- Pavel, F.; Vacareanu, R.; Douglas, J.; Radulian, M.; Cioflan, C.; Barbat, A. An Updated Probabilistic Seismic Hazard Assessment for Romania and Comparison with the Approach and Outcomes of the SHARE Project. Pure Appl. Geophys. 2016, 173, 1881–1905. [Google Scholar] [CrossRef]
- Woessner, J.; Laurentiu, D.; Giardini, D.; Crowley, H.; Cotton, F.; Grünthal, G.; Valensise, G.; Arvidsson, R.; Basili, R.; Demircioglu, M.B.; et al. The 2013 European Seismic Hazard Model: Key Components and Results. Bull. Earthq. Eng. 2015, 13, 3553–3596. [Google Scholar] [CrossRef]
- Radulian, M.; Mândrescu, N.; Panza, G.F.; Popescu, E.; Utale, A. Characterization of Seismogenic Zones of Romania. In Seismic Hazard of the Circum-Pannonian Region; Panza, G.F., Radulian, M., Trifu, C.-I., Eds.; Pageoph Topical Volumes; Birkhäuser: Basel, Switzerland, 2000; pp. 57–77. ISBN 978-3-0348-8415-0. [Google Scholar]
- Cornell, C.A. Engineering Seismic Risk Analysis. Bull. Seismol. Soc. Am. 1968, 58, 1583–1606. [Google Scholar]
- McGuire, R.K. FORTRAN Computer Program for Seismic Risk Analysis; Open-File Report; U.S. Geological Survey: North Pole, AK, USA, 1976; Volume 76-67.
- Ordaz, M.; Arroyo, D. On Uncertainties in Probabilistic Seismic Hazard Analysis. Earthq. Spectra 2016, 32, 1405–1418. [Google Scholar] [CrossRef]
- Gardner, J.K.; Knopoff, L. Is the Sequence of Earthquakes in Southern California, with Aftershocks Removed, Poissonian? Bull. Seismol. Soc. Am. 1974, 64, 1363–1367. [Google Scholar]
- ROMPLUS Earthquake Catalog. Available online: http://www.infp.ro/data/romplus.txt (accessed on 5 December 2020).
- Wang, J.P.; Huang, D.; Chang, S.-C.; Wu, Y.-M. New Evidence and Perspective to the Poisson Process and Earthquake Temporal Distribution from 55,000 Events around Taiwan since 1900. Nat. Hazards Rev. 2014, 15, 38–47. [Google Scholar] [CrossRef]
- Kagan, Y.Y. Earthquake Number Forecasts Testing. Geophys. J. Int. 2017, 211, 335–345. [Google Scholar] [CrossRef][Green Version]
- McGuire, R.K. Probabilistic Seismic Hazard Analysis and Design Earthquakes: Closing the Loop. Bull. Seismol. Soc. Am. 1995, 85, 1275–1284. [Google Scholar]
- Yeo, G.L.; Cornell, C.A. A Probabilistic Framework for Quantification of Aftershock Ground-Motion Hazard in California: Methodology and Parametric Study. Earthq. Eng. Struct. Dyn. 2009, 38, 45–60. [Google Scholar] [CrossRef]
- Iervolino, I.; Giorgio, M.; Polidoro, B. Sequence-Based Probabilistic Seismic Hazard AnalysisShort Note. Bull. Seismol. Soc. Am. 2014, 104, 1006–1012. [Google Scholar] [CrossRef]
- Pavel, F.; Vacareanu, R.; Radulian, M.; Cioflan, C. Investigation on Directional Effects of Vrancea Subcrustal Earthquakes. Earthq. Eng. Eng. Vib. 2015, 14, 399–410. [Google Scholar] [CrossRef]
- Boore, D.M. Orientation-Independent Measures of Ground Motion. Bull. Seismol. Soc. Am. 2006, 96, 1502–1511. [Google Scholar] [CrossRef]
- Boore, D.M. Orientation-Independent, Nongeometric-Mean Measures of Seismic Intensity from Two Horizontal Components of Motion. Bull. Seismol. Soc. Am. 2010, 100, 1830–1835. [Google Scholar] [CrossRef]
- Shabestari, K.T.; Yamazaki, F. A Proposal of Instrumental Seismic Intensity Scale Compatible with MMI Evaluated from Three-Component Acceleration Records. Earthq. Spectra 2001, 17, 711–723. [Google Scholar] [CrossRef]
- Sokolov, V.; Bonjer, K.-P.; Wenzel, F.; Grecu, B.; Radulian, M. Ground-Motion Prediction Equations for the Intermediate Depth Vrancea (Romania) Earthquakes. Bull. Earthq. Eng. 2008, 6, 367–388. [Google Scholar] [CrossRef]
- Sørensen, M.B.; Stromeyer, D.; Grünthal, G. A Macroseismic Intensity Prediction Equation for Intermediate Depth Earthquakes in the Vrancea Region, Romania. Soil Dyn. Earthq. Eng. 2010, 30, 1268–1278. [Google Scholar] [CrossRef]
- Enescu, D.; Marmureanu, G.; Enescu, B.D. A Procedure for Estimating the Seismic Hazard Generated by Vrancea Earthquakes and Its Application. II. Attenuation Curves. Romanian Rep. Phys. 2004, 56, 124–128. [Google Scholar]
- Sandi, H.; Borcia, I.S.; Stancu, M. Analysis of Attenuation for Recent Vrancea Intermediate Depth Earthquakes. In Proceedings of the 13th World Conference on Earthquake Engineering, Vancouver, BC, Canada, 1–6 August 2004; Volume 2477. [Google Scholar]
- Böse, M.; Sokolov, V.; Wenzel, F. Shake Map Methodology for Intermediate-Depth Vrancea (Romania) Earthquakes. Earthq. Spectra 2009, 25, 497–514. [Google Scholar] [CrossRef]
- Vacareanu, R.; Radulian, M.; Iancovici, M.; Pavel, F.; Neagu, C. Fore-Arc and Back-Arc Ground Motion Prediction Model for Vrancea Intermediate Depth Seismic Source. J. Earthq. Eng. 2015, 19, 535–562. [Google Scholar] [CrossRef]
- Vacareanu, R.; Iancovici, M.; Neagu, C.; Pavel, F. Macroseismic Intensity Prediction Equations for Vrancea Intermediate-Depth Seismic Source. Nat. Hazards 2015, 79, 2005–2031. [Google Scholar] [CrossRef]
- Pavel, F.; Vacareanu, R. Investigation on Regional Attenuation of Vrancea (Romania) Intermediate-Depth Earthquakes. Earthq. Eng. Eng. Vib. 2018, 17, 501–509. [Google Scholar] [CrossRef]
- Ganas, A.; Grecu, B.; Batsi, E.; Radulian, M. Vrancea Slab Earthquakes Triggered by Static Stress Transfer. Nat. Hazards Earth Syst. Sci. 2010, 10, 2565–2577. [Google Scholar] [CrossRef]
- Cioflan, C.O.; Apostol, B.F.; Moldoveanu, C.L.; Panza, G.F.; Marmureanu, G. Deterministic Modelling for Microzonation of Bucharest: Case-Study for August 30, 1986 and May 30–31, 1990 Vrancea Earthquakes; The Abdus Salam International Centre for Theoretical Physics: Trieste, Italy, 2002. [Google Scholar]
- Pavel, F.; Vacareanu, R.; Pitilakis, K. Intensity-Dependent Site Amplification Factors for Vrancea Intermediate-Depth Earthquakes. Bull. Earthq. Eng. 2019, 17, 2363–2380. [Google Scholar] [CrossRef]
- Abrahamson, N.A.; Silva, W.J.; Kamai, R. Summary of the ASK14 Ground Motion Relation for Active Crustal Regions. Earthq. Spectra 2014, 30, 1025–1055. [Google Scholar] [CrossRef]
- Boore, D.M.; Stewart, J.P.; Seyhan, E.; Atkinson, G.M. NGA-West2 Equations for Predicting PGA, PGV, and 5% Damped PSA for Shallow Crustal Earthquakes. Earthq. Spectra 2014, 30, 1057–1085. [Google Scholar] [CrossRef]
- Campbell, K.W.; Bozorgnia, Y. NGA-West2 Ground Motion Model for the Average Horizontal Components of PGA, PGV, and 5% Damped Linear Acceleration Response Spectra. Earthq. Spectra 2014, 30, 1087–1115. [Google Scholar] [CrossRef]
- Chiou, B.S.-J.; Youngs, R.R. Update of the Chiou and Youngs NGA Model for the Average Horizontal Component of Peak Ground Motion and Response Spectra. Earthq. Spectra 2014, 30, 1117–1153. [Google Scholar] [CrossRef]
- Idriss, I.M. An NGA-West2 Empirical Model for Estimating the Horizontal Spectral Values Generated by Shallow Crustal Earthquakes. Earthq. Spectra 2014, 30, 1155–1177. [Google Scholar] [CrossRef]
- Atanasiu, I. The Earthquakes in Romania; Academiei, R.P.R., Ed.; Centre for Earth Physics and Seismology: Buhcarest, Romania, 1961. (In Romanian) [Google Scholar]
- Mandrescu, N. The March 4, 1977 Earthquake—Damage Distribution. In Proceedings of the Seismological Research on the March 4, 1977 Earthquake; Centre for Earth Physics and Seismology: Bucharest, Romania, 1979; pp. 371–388. [Google Scholar]
- Ishihara, K.; Perlea, V. Liquefaction-Associated Ground Damage During the Vrancea Earthquake of March 4, 1977. Soils Found. 1984, 24, 90–112. [Google Scholar] [CrossRef][Green Version]
- Heath, D.C.; Wald, D.J.; Worden, C.B.; Thompson, E.M.; Smoczyk, G.M. A Global Hybrid VS30 Map with a Topographic Slope–Based Default and Regional Map Insets. Earthq. Spectra 2020, 36, 1570–1584. [Google Scholar] [CrossRef]
- Riga, E.; Makra, K.; Pitilakis, K. Aggravation Factors for Seismic Response of Sedimentary Basins: A Code-Oriented Parametric Study. Soil Dyn. Earthq. Eng. 2016, 91, 116–132. [Google Scholar] [CrossRef]
- Riga, E.; Makra, K.; Pitilakis, K. Investigation of the Effects of Sediments Inhomogeneity and Nonlinearity on Aggravation Factors for Sedimentary Basins. Soil Dyn. Earthq. Eng. 2018, 110, 284–299. [Google Scholar] [CrossRef]
- MDRAP. P100-1/2013: Code for Seismic Design—Part I—Design Prescriptions for Buildings; MDRAP: Bucharest, Romania, 2013. [Google Scholar]














| Seismic Source | No. of Seismic Events | Starting Year | Minimum Magnitude Mmin | Maximum Magnitude Mmax | 
|---|---|---|---|---|
| Banat | 1843 | 86 | 3.0 | 5.6 | 
| Fagaras-Campulung | 1872 | 69 | 3.0 | 6.5 | 
| Vrancea intermediate-depth | 1895 | 809 | 4.0 | 7.7 | 
| Seismic Source | City | Contribution of Magnitude Range (%) | |||
|---|---|---|---|---|---|
| <5.0 | 5.0–6.0 | 6.0–7.0 | >7.0 | ||
| Banat | Timisoara | 11.31 | 47.05 | 41.64 | 0.00 | 
| Fagaras-Campulung | Sibiu | 12.63 | 39.46 | 46.45 | 1.46 | 
| Vrancea intermediate-depth | Bucharest | 0.00 | 0.83 | 7.87 | 91.30 | 
| Focsani | 0.00 | 0.01 | 3.68 | 96.31 | |
| Iasi | 0.00 | 0.84 | 7.11 | 92.05 | |
| Date | Moment Magnitude MW | Focal Depth (km) | Strike (°) | Dip (°) | Rake (°) | 
|---|---|---|---|---|---|
| 30 August 1986 | 7.1 | 131 | 227 | 65 | 104 | 
| 30 May 1990 | 6.9 | 91 | 232 | 58 | 89 | 
| 31 May 1990 | 6.4 | 87 | 308 | 71 | 97 | 
| Seismic Station | Elevation | Estimated Vs, 30 (m/s) | 
|---|---|---|
| 1 | 67 | 320 | 
| 2 | 40 | 320 | 
| 3 | 124 | 350 | 
| Publisher’s Note: MDPI stays neutral with regard to jurisdictional claims in published maps and institutional affiliations. | 
© 2021 by the author. Licensee MDPI, Basel, Switzerland. This article is an open access article distributed under the terms and conditions of the Creative Commons Attribution (CC BY) license (http://creativecommons.org/licenses/by/4.0/).
Share and Cite
Pavel, F. Evaluation of Key PSHA Assumptions—Case-Study for Romania. Geosciences 2021, 11, 70. https://doi.org/10.3390/geosciences11020070
Pavel F. Evaluation of Key PSHA Assumptions—Case-Study for Romania. Geosciences. 2021; 11(2):70. https://doi.org/10.3390/geosciences11020070
Chicago/Turabian StylePavel, Florin. 2021. "Evaluation of Key PSHA Assumptions—Case-Study for Romania" Geosciences 11, no. 2: 70. https://doi.org/10.3390/geosciences11020070
APA StylePavel, F. (2021). Evaluation of Key PSHA Assumptions—Case-Study for Romania. Geosciences, 11(2), 70. https://doi.org/10.3390/geosciences11020070
 
         
                                                
 
       