Garnet Chemical Zoning Based Thermobarometry: Method Evaluation and Applications in the Menderes Massif, Western Turkey
Abstract
:1. Introduction
2. Geological Background
3. Methods
3.1. Garnet Chemical Zoning Thermobarometry
Assumptions and Uncertainty
3.2. Forward-Modeling Intracrystalline Diffusion and Garnet Growth
4. Results
4.1. Modeling Diffusion in an Average Metapelitic Schist
4.1.1. Modeling Garnet Compositions
4.1.2. Core and Rim P-T Conditions by Isopleth Thermobarometry
4.1.3. Modeled P-T Paths
4.1.4. Variable Effective Bulk Compositions
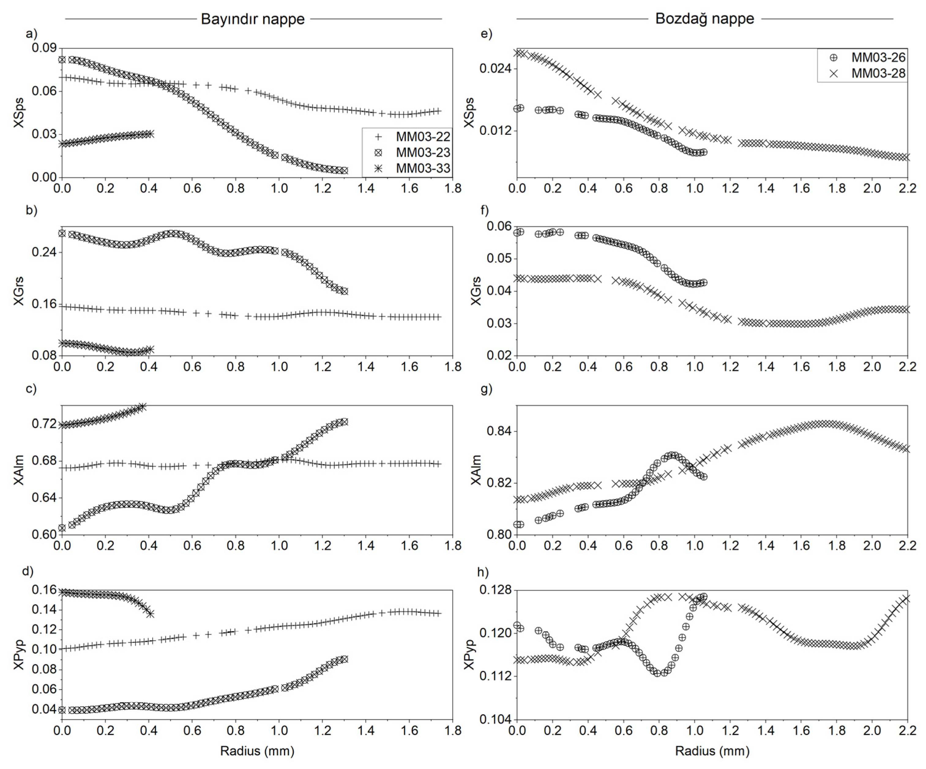
4.2. A Model-Based Evaluation of the Central Menderes Massif using Theria_G
5. Discussion
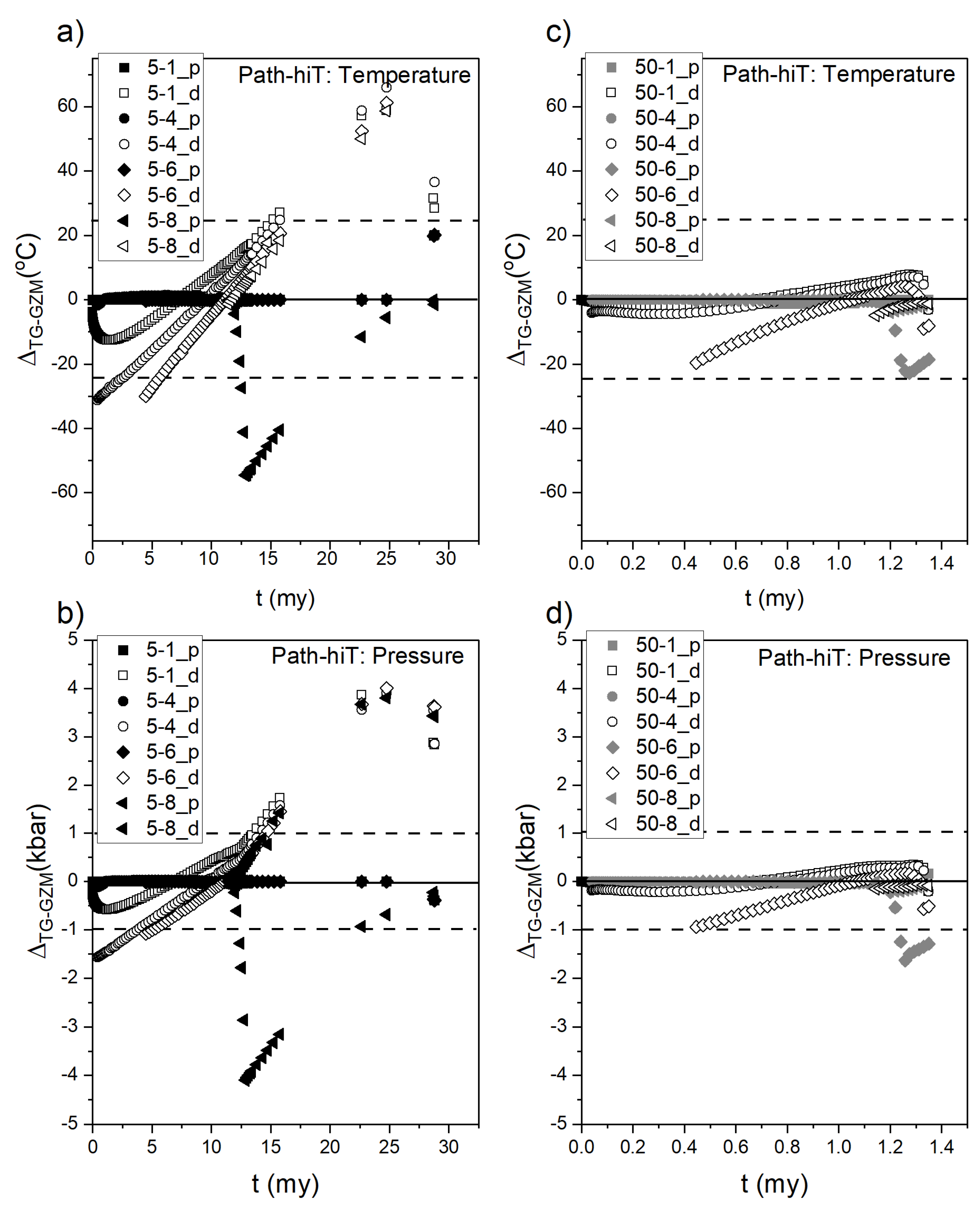
5.1. Implications for the Reliability and Sensitivity of GZM
5.2. Interpreting the Cenozoic Metamorphic History of the Central Menderes Massif
6. Conclusions
Supplementary Materials
Author Contributions
Funding
Data Availability Statement
Acknowledgments
Conflicts of Interest
References
- Hollister, L.S. Garnet zoning: An interpretation based on the Rayleigh fractionation model. Science 1966, 154, 1647–1651. [Google Scholar] [CrossRef]
- Atherson, M.P. The variation in garnet, biotite and chlorite composition in medium grade pelitic rocks from the Dalradian, Scotland, with particular reference to the zonation in garnet. Contrib. Miner. Petrol. 1968, 18, 347–371. [Google Scholar] [CrossRef]
- Tracy, R.J.; Robinson, P.; Thompson, A.B. Garnet composition and zoning in the determination of temperature and pressure of metamorphism, central Massachusetts. Am. Min. 1976, 61, 762–775. [Google Scholar]
- Ferry, J.M.; Spear, F.S. Experimental calibration of portioning of Fe and Mg between biotite and garnet. Contrib. Miner. Petrol. 1978, 66, 113–117. [Google Scholar] [CrossRef]
- Spear, F.S.; Selverstone, J. Quantitative P-T paths from zoned minerals: Theory and tectonic applications. Contrib. Miner. Petrol. 1983, 83, 348–357. [Google Scholar] [CrossRef]
- Spear, F.S.; Selverstone, J.; Hickmott, D.; Crowley, P.; Hodges, K.V. P-T paths from garnet zoning: A new technique for deciphering tectonic processes in crystalline terranes. Geology 1984, 12, 87–90. [Google Scholar] [CrossRef]
- Hickmott, D.D.; Shimizu, N.; Spear, F.S.; Selverstone, J. Trace element zoning in a metamorphic garnet. Geology 1987, 15, 573–576. [Google Scholar] [CrossRef]
- Berman, R.G. Mixing properties of Ca-Mg-Fe-Mn garnets. Am. Min. 1990, 75, 328–344. [Google Scholar]
- Hoisch, T.D. Empirical calibration of six geobarometers for the mineral assemblage quartz + muscovite + biotite + plagioclase + garnet. Contrib. Miner. Petrol. 1990, 104, 225–234. [Google Scholar] [CrossRef]
- Kohn, M.J.; Spear, F.S. Error propagation for barometers: 2. Applications to rocks. Am. Min. 1991, 76, 138–147. [Google Scholar]
- Indares, A. Metamorphic interpretation of high-pressure-temperature metapelites with preserved growth zoning in garnet, eastern Grenville Province, Canadian Shield. J. Metamorph. Geol. 1995, 13, 465–486. [Google Scholar] [CrossRef]
- Vance, D.; Mahar, E. Pressure-temperature paths from P-T pseudosections and zoned garnets: Potential, limitations and examples from the Zanskar Himalaya, NW India. Contrib. Miner. Petrol. 1998, 132, 225–245. [Google Scholar] [CrossRef]
- Holdaway, M.J. Optimization of some key geothermobarometers for pelitic metamorphic rocks. Miner. Mag. 2004, 68, 1–14. [Google Scholar] [CrossRef]
- Tinkham, D.K.; Ghent, E.D. Estimating P-T conditions of garnet growth with isochemical phase-diagram sections and the problem of effective bulk-composition. Can. Miner. 2005, 43, 35–50. [Google Scholar] [CrossRef]
- Kohn, M.J. P-T-t data from central Nepal support critical taper and repudiate large-scale channel flow of the Greater Himalayan Sequence. Geol. Soc. Am. Bull. 2008, 120, 259–273. [Google Scholar] [CrossRef]
- Gasco, I.; Gattiglio, M.; Borghi, A. Lithostratigraphic setting and P-T metamorphic evolution for the Dora Maira massif along the Piedmont Zone boundary (middle Susa Valley, NW Alps). Int. J. Earth Sci. 2011, 100, 1065–1085. [Google Scholar] [CrossRef]
- Moynihan, D.P.; Pattison, D.R.M. An automated method for the calculation of P-T paths from garnet zoning, with application to metapelitic schists from the Kootenay Arc, British Columbia, Canada. J. Metamorph. Geol. 2013, 31, 525–548. [Google Scholar] [CrossRef]
- Vrijmoed, J.C.; Hacker, B.R. Determining P-T paths from garnet zoning using a brute-force computational method. Contrib. Miner. Petrol. 2014, 167, 997. [Google Scholar] [CrossRef]
- Kelly, E.D.; Hoisch, T.D.; Wells, M.L.; Vervoort, J.D.; Beyene, M.A. An Early Cretaceous garnet pressure-temperature path recording syncovergent burial and exhumation from the hinterland of the Sevier orogenic belt, Albion Mountains, Idaho. Contrib. Miner. Petrol. 2015, 170, 20. [Google Scholar] [CrossRef]
- Catlos, E.J.; Lovera, O.M.; Kelly, E.D.; Ashley, K.T.; Harrison, T.M.; Etzel, T.M. Modeling high-resolution pressure-temperature paths across the Himalayan Central Thrust (Central Nepal): Implications for the dynamics of collision. Tectonics 2018, 37, 2363–2388. [Google Scholar] [CrossRef]
- Etzel, T.M.; Catlos, E.J.; Ataktürk, K.; Lovera, O.M.; Kelly, E.D.; Çemen, I.; Diniz, E. Implications for thrust-related shortening punctuated by extension from P-T paths and geochronology of garnet-bearing schists, Southern (Çine) Menderes Massif, SW Turkey. Tectonics 2019, 38, 1974–1998. [Google Scholar] [CrossRef] [Green Version]
- Craddock Affinati, S.; Hoisch, T.D.; Wells, M.L.; Vervoort, J.D. Pressure-temperature-time paths from the Funeral Mountains, California, reveal Jurassic retroarc underthrusting during early Sevier orogenesis. Geol. Soc. Am. Bull. 2019, 132, 1047–1065. [Google Scholar] [CrossRef]
- Etzel, T.M.; Catlos, E.J.; Cemen, I.; Ozerdem, C.; Oyman, T.; Miggins, D. Documenting exhumation in the Central and Northern Menderes Massif (Western Turkey); New insights from garnet-based P-T estimates and K-feldspar 40Ar/39Ar geochronology. Lithosphere 2020, 2020, 8818289. [Google Scholar] [CrossRef]
- De Capitani, C.; Brown, T.H. The computation of chemical equilibrium in complex systems containing non-ideal solutions. Geochim. Cosmochim. Acta 1987, 51, 2639–2652. [Google Scholar] [CrossRef]
- De Capitani, C.; Petrakakis, K. The computation of equilibrium assemblage diagrams with Theriak/Domino software. Am. Min. 2010, 95, 1006–1016. [Google Scholar] [CrossRef]
- Gaidies, F.; de Capitani, C.; Abart, R. THERIA_G: A software program to numerically model prograde garnet growth. Contrib. Miner. Petrol. 2008, 155, 657–671. [Google Scholar] [CrossRef] [Green Version]
- Ring, U.; Gessner, K.; Gűngör, T.; Passchier, C.W. The Menderes Massif of western Turkey and the Cycladic massif in the Aegean: Do they really correlate? J. Geol. Soc. Lond. 1999, 156, 3–6. [Google Scholar] [CrossRef]
- Gessner, K.; Ring, U.; Passchier, C.W.; Gungor, T. How to resist subduction: Evidence for large-scale out-of-sequence thrusting during Eocene collision in western Turkey. J. Geol. Soc. Lond. 2001, 158, 769–784. [Google Scholar] [CrossRef] [Green Version]
- Jolivet, L.; Rimmelé, G.; Oberhänsli, R.; Goffé, B.; Candan, O. Correlation of syn-orogenic tectonic and metamorphic events in the Cyclades, the Lycian nappes and the Menderes Massif. Geodynamic implications. Bull. Soc. Géol. Fr. 2004, 175, 217–238. [Google Scholar] [CrossRef]
- Dora, O.O.; Candan, O.; Kaya, O.; Durr, S.; Oberhansli, R. New evidence concerning the geotectonic evolution of the Menderes Massif. In Proceedings of the International Earth Science Colloquium on the Aegean Region, Izmir, Turkey, 9–14 October 1995; Volume 1, pp. 53–72. [Google Scholar]
- Ring, U.; Willner, A.P.; Lackmann, W. Stacking of nappes with different pressure-temperature paths; an example from the Menderes Nappes of western Turkey. Am. J. Sci. 2001, 301, 912–914. [Google Scholar] [CrossRef]
- Okay, A.I. Stratigraphic and metamorphic inversions in the central Menderes Massif: A new structural model. Int. J. Earth Sci. 2001, 89, 709–727. [Google Scholar] [CrossRef]
- Régnier, J.; Mezger, J.E.; Passchier, C. Metamorphism of Precambrian-Paleozoic schists of the Menderes core series and contact relationships with Proterozoic orthogneisses of the western Çine Massif, Anatolide belt, western Turkey. Geol. Mag. 2007, 144, 67–104. [Google Scholar] [CrossRef] [Green Version]
- Candan, O.; Dora, O.O.; Oberhansli, R.; Cetinkaplan, M.; Partzsch, J.H.; Warkus, F.C.; Durr, S. Pan-African high-pressure metamorphism in the Precambrian basement of the Menderes Massif, western Anatolia, Turkey. Int. J. Earth Sci. 2001, 89, 793–811. [Google Scholar]
- Hetzel, R.; Romer, R.; Candan, O.; Passchier, C.W. Geology of the Bozdağ area, central Menderes Massif, SW Turkey: Pan-African basement and Alpine deformation. Geol. Rundsch. 1998, 87, 394–406. [Google Scholar] [CrossRef]
- Ashworth, J.R.; Evirgen, M.M. Garnet and associated minerals in the southern margin of the Menderes Massif, southwest Turkey. Geol. Mag. 1984, 121, 323–337. [Google Scholar] [CrossRef]
- Iredale, L.J.; Teyssier, C.; Whitney, D.L. Cenozoic pure-shear collapse of the southern Menderes Massif, Turkey. Geol. Soc. Lond. Spec. Publ. 2013, 372, 323–342. [Google Scholar] [CrossRef]
- Régnier, J.; Ring, U.; Passchier, C.W.; Gessner, K.; Gungor, T. Contrasting metamorphic evolution of metasedimentary rocks from the Cine and Selimiye nappes in the Anatolide belt, western Turkey. J. Metamorph. 2003, 21, 699–721. [Google Scholar] [CrossRef]
- Whitney, D.L.; Bozkurt, E. Metamorphic history of the southern Menderes Massif, western Turkey. Geol. Soc. Am. Bull. 2002, 114, 829–838. [Google Scholar] [CrossRef]
- Ashworth, J.R.; Evirgen, M.M. Plagioclase relations in pelites, central Menderes Massif, Turkey. I. The peristerite gap with coexisting kyanite. J. Metamorph. 1985, 3, 207–218. [Google Scholar] [CrossRef]
- Ashworth, J.R.; Evirgen, M.M. Plagioclase relations in pelites, Menderes Massif, Turkey; II. Perturbation of garnet-plagioclase geobarometers. J. Metamorph. 1985, 3, 219–229. [Google Scholar] [CrossRef]
- Satır, M.; Taubald, H. Hydrogen and oxygen isotope evidence for fluid-rock interaction in the Menderes Massif, western Turkey. Int. J. Earth Sci. 2001, 89, 812–821. [Google Scholar] [CrossRef]
- Çemen, I.; Catlos, E.J.; Gögűs, O.; Özerdem, C. Postcollisional extensional tectonics and exhumation of the Menderes massif in the Western Anatolia extended terrane, Turkey. Spec. Pap.-Geol. Soc. Am. 2006, 409, 353–379. [Google Scholar]
- Ozerdem, C. Thermobarometric Constraints on the Evolution of the Menderes Massif (Western Turkey): Insights into the Metamorphic History of a Complexly Deformed Region. Master’s Thesis, Oklahoma State University, Stillwater, OK, USA, 2004; pp. 1–89. [Google Scholar]
- Cenki-Tok, B.; Expert, M.; Işık, V.; Candan, O.; Monié, P.; Bruguier, O. Complete Alpine reworking of the northern Menderes Massif, western Turkey. Int. J. Earth Sci. 2016, 105, 1507–1524. [Google Scholar] [CrossRef]
- Spear, F.S. Metamorphic Phase Equilibria and Pressure-Temperature-Time Paths; Mineralogical Society of America: Washington, DC, USA, 1993; pp. 1–799. [Google Scholar]
- Walker, C.B.; Searle, M.P.; Waters, D.J. An integrated tectonothermal model for the evolution of the High Himalaya in western Zanskar with constraints from thermobarometry and metamorphic modeling. Tectonics 2001, 20, 810–833. [Google Scholar] [CrossRef]
- Walsh, E.O.; Hacker, B.R. The fate of subducted continental margins: Two-stage exhumation of the high-pressure to ultrahigh-pressure Western Gneiss Region, Norway. J. Metamorph. 2004, 22, 671–687. [Google Scholar] [CrossRef]
- Root, D.B.; Hacker, B.R.; Gans, P.B.; Ducea, M.N.; Eide, E.A.; Mosenfelder, J.L. Discrete ultrahigh-pressure domains in the Western Gneiss Region, Norway: Implications for formation and exhumation. J. Metamorph. 2005, 23, 45–61. [Google Scholar] [CrossRef]
- Selverstone, J.; Spear, F.S. Metamorphic P-T paths from pelitic schists and greenstones from the south-west Tauern Window, Eastern Alps. J. Metamorph. 1985, 3, 439–465. [Google Scholar] [CrossRef]
- Faryard, S.W.; Jezek, J. Compositional zoning in garnet and its modification by diffusion during pressure and temperature changes in metamorphic rocks; an approach and software. Lithos 2019, 332, 287–295. [Google Scholar] [CrossRef]
- Connolly, J.A.D.; Petrini, K. An automated strategy for calculation of phase diagram sections and retrieval of rock properties as a function of physical conditions. J. Metamorph. 2002, 20, 697–708. [Google Scholar] [CrossRef] [Green Version]
- Connolly, J.A.D. Computation of phase equilibria by linear programming: A tool for geodynamic modeling and its application to subduction zone decarbonation. EPSL 2005, 236, 524–541. [Google Scholar] [CrossRef]
- Trooper, P.; Hauzenberger, C. How well do pseudosection calculations reproduce simple experiments using natural rocks: An example from high-P high-T granulites of the Bohemian Massif. Austrian J. Earth Sci. 2015, 108, 123–138. [Google Scholar] [CrossRef]
- Marmo, B.A.; Clarke, G.L.; Powell, R. Fractionation of bulk rock composition due to porphyroblast growth: Effects on eclogite facies mineral equilibria, Pam Peninsula, New Caledonia. J. Metamorph. 2002, 20, 151–165. [Google Scholar] [CrossRef]
- Lanari, P.; Vidal, O.; De Andrade, V.; Dubacq, B.; Lewin, E.; Grosch, E.G.; Schwartz, S. XMapTools: A MATLAB-based program for electron microprobe X-ray image processing and geothermobarometry. Comp. Geosci. 2014, 62, 227–240. [Google Scholar] [CrossRef] [Green Version]
- Lanari, P.; Giuntoli, F.; Burn, M.; Engi, M. An inverse modeling approach to obtain P–T conditions of metamorphic stages involving garnet growth and resorption. Eur. J. Min. 2017, 29, 181–199. [Google Scholar] [CrossRef] [Green Version]
- Nelder, J.A.; Mead, R. A simplex method for function minimization. Comp. J. 1965, 7, 308–313. [Google Scholar] [CrossRef]
- Holland, T.J.B.; Powell, R. An internally consistent thermodynamic data set for phases of petrological interest. J. Metamorph. 1998, 16, 309–343. [Google Scholar] [CrossRef]
- White, R.W.; Powell, R.; Holland, T.J.B.; Johnson, T.E.; Green, C.R. New mineral activity-composition relations for thermodynamic calculations in metapelitic systems. J. Metamorph. 2014, 32, 261–286. [Google Scholar] [CrossRef]
- Kohn, M.J. Uncertainties in differential thermodynamic (Gibbs’ method) P-T paths. Contrib. Miner. Petrol. 1993, 113, 24–39. [Google Scholar] [CrossRef]
- Worley, B.; Powell, R. High-precision relative thermobarometry: Theory and a worked example. J. Metamorph. 2000, 18, 91–101. [Google Scholar] [CrossRef]
- Waters, D.J.; Lovegrove, D.P. Assessing the extent of disequilibrium and overstepping of prograde metamorphic reactions in metapelites from the Bushveld Complex aureole, South Africa. J. Metamorph. 2002, 20, 135–149. [Google Scholar] [CrossRef]
- Evans, T.P. A method for calculating effective bulk composition modification due to crystal fractionation in garnet-bearing schist; implications for isopleth thermobarometry. J. Metamorph. 2004, 22, 547–557. [Google Scholar] [CrossRef]
- Powell, R.; Holland, T.J.B. On thermobarometry. J. Metamorph. 2008, 26, 155–179. [Google Scholar] [CrossRef]
- Pattison, D.R.M.; Tinkham, D.K. Interplay between equilibrium and kinetics in prograde metamorphism of pelites: An example from the Nelson aureole, British Columbia. J. Metamorph. 2009, 27, 249–279. [Google Scholar] [CrossRef]
- Carlson, W.D.; Pattison, D.R.M.; Caddick, M.J. Beyond the equilibrium paradigm: How consideration of kinetics enhances metamorphic interpretation. Am. Min. 2015, 100, 1659–1667. [Google Scholar] [CrossRef]
- Palin, R.M.; Weller, O.M.; Waters, D.J.; Dyck, B. Quantifying geological uncertainty in metamorphic phase equilibria modelling; a Monte Carlo assessment and implications for tectonic interpretations. Geosci. Front. 2016, 7, 597–607. [Google Scholar] [CrossRef] [Green Version]
- Duesterhoeft, E.; Lanari, P. Iterative thermodynamic modelling-Part 1: A theoretical scoring technique and a computer program (Bingo-Antidote). J. Metamorph. 2020, 38, 527–551. [Google Scholar] [CrossRef]
- Lanari, P.; Vho, A.; Bovay, T.; Airaghi, L.; Centrella, S. Quantitative Compositional Mapping of Mineral Phases by Electron Probe Micro-Analyser; Ferrero, S., Lanari, P., Goncalves, P., Grosch, E.G., Eds.; Metamorphic Geology: Microscale to Mountain Belts; GSA Special Pubs.: Boulder, CO, USA, 2019; Volume 478, pp. 39–63. [Google Scholar]
- Lanari, P.; Duesterhoeft, E. Modeling Metamorphic Rocks using Equilibrium Thermodynamics and Internally Consistent Databases: Past Achievements, Problems and Perspectives. J. Petrol. 2019, 60, 19–56. [Google Scholar] [CrossRef] [Green Version]
- Chatterjee, N.D.; Krüger, R.; Haller, G.; Olbricht, W. The Bayesian approach to an internally consistent thermodynamic database: Theory, database, and generation of phase diagrams. Contrib. Miner. Petrol. 1998, 133, 149–168. [Google Scholar] [CrossRef]
- Lanari, P.; Engi, M.L. Local Bulk Composition Effects on Metamorphic Mineral Assemblages. Rev. Mineral. Geochem. 2017, 83, 55–103. [Google Scholar] [CrossRef] [Green Version]
- Whitney, D.L. Garnets as open systems during regional metamorphism. Geology 1996, 24, 147–150. [Google Scholar] [CrossRef]
- Martin, L.A.J.; Duchene, S.; Deloule, E.; Vanderhaeghe, O. Mobility of trace elements and oxygen in zircon during metamorphism: Consequences for geochemical tracing. EPSL 2011, 267, 161–174. [Google Scholar] [CrossRef]
- Ague, J.J. Element mobility during regional metamorphism in crustal and subduction zone environments with a focus on the rare earth elements (REE). Am. Min. 2017, 102, 1796–1821. [Google Scholar] [CrossRef]
- Kohn, M.J.; Spear, F. Retrograde net transfer reaction insurance for pressure-temperature estimates. Geology 2000, 28, 1127–1130. [Google Scholar] [CrossRef]
- Denison, C.; Carlson, W.D. Three-dimensional quantitative textural analysis of metamorphic rocks using high-resolution computed X-ray tomography: Pat II. Application to natural samples. J. Metamorph. 1997, 15, 45–57. [Google Scholar] [CrossRef]
- Daniel, C.G.; Spear, F.S. Three-dimensional patterns of garnet nucleation and growth. Geology 1998, 26, 503–506. [Google Scholar] [CrossRef]
- Caddick, M.J.; Thompson, A.B. Quantifying the tectono-metamorphic evolution of pelitic rocks from a wide range of tectonic settings: Mineral compositions in equilibrium. Contrib. Miner. Petrol. 2008, 156, 177–195. [Google Scholar] [CrossRef] [Green Version]
- Chakroborty, S.; Ganguly, J. Cation diffusion in aluminosilicate garnets: Experimental determination in spessartine-almandine diffusion couples, evaluation of effective binary diffusion coefficients, and applications. Contrib. Miner. Petrol. 1992, 111, 74–86. [Google Scholar] [CrossRef]
- Blackburn, W.H. Zoned and unzoned garnets from the Grenville gneiss around Gananoque, Ontario. Can. Miner. 1969, 9, 691–698. [Google Scholar]
- Anderson, D.E.; Buckley, G.R. Zoning in garnets-diffusion models. Contrib. Miner. Petrol. 1973, 15, 205–216. [Google Scholar] [CrossRef]
- Viete, D.R.; Hermann, J.; Lister, G.S.; Stenhouse, I.R. The nature and origin of the Barrovian metamorphism, Scotland: Diffusion length scales in garnet and inferred thermal time scales. J. Geol. Soc. Lond. 2011, 168, 115–132. [Google Scholar] [CrossRef] [Green Version]
- Anderson, D.E.; Olimpio, J.C. Progressive homogenization of metamorphic garnets, South Morar, Scotland: Evidence for volume diffusion. Can. Miner. 1977, 15, 205–216. [Google Scholar]
- Lasaga, A.C.; Richardson, S.M.; Holland, H.D. The Mathematics of Cation Diffusion and Exchange between Silicate Minerals during Retrograde Metamorphism; Saxena, S.K., Bhattacharji, S., Eds.; Energetics of Geological Processes; Springer: New York, NY, USA, 1977; pp. 354–387. [Google Scholar]
- Cygan, R.T.; Lasaga, A.C. Crystal growth and the formation of chemical zoning in garnets. Contrib. Miner. Petrol. 1982, 79, 187–200. [Google Scholar] [CrossRef]
- Cygan, R.T.; Lasaga, A.C. Self-diffusion of magnesium in garnet at 750 °C to 900 °C. Am. J. Sci. 1985, 285, 328–350. [Google Scholar] [CrossRef]
- Chakraborty, S.; Ganguly, G. Compositional Zoning and Cation Diffusion in Garnets; Ganguly, J., Ed.; Diffusion, atomic ordering, and mass transport: Selected problems in geochemistry; Springer: New York, NY, USA, 1990. [Google Scholar]
- Florence, F.P.; Spear, F.S. Effects of diffusional modification of garnet growth zoning on PT path calculations. Contrib. Miner. Petrol. 1991, 107, 487–500. [Google Scholar] [CrossRef]
- Carlson, W.D. Rates of Fe, Mg, Mn and Ca diffusion in garnet. Am. Min. 2006, 91, 1–11. [Google Scholar] [CrossRef]
- Ganguly, J. Cation diffusion kinetics in aluminosilicate garnets and geological applications. RIMS 2001, 72, 559–601. [Google Scholar] [CrossRef]
- Caddick, M.J.; Konopasek, J.; Thompson, A.B. Preservation of garnet growth zoning and the duration of prograde metamorphism. J. Petrol. 2010, 51, 2327–2347. [Google Scholar] [CrossRef] [Green Version]
- Yardley, B.W.D. An empirical study of diffusion in garnet. Am. Min. 1977, 62, 793–800. [Google Scholar]
- Satir, M.; Friedrichsen, H. The origin and evolution of the Menderes Massif, w-Turkey: A rubidium/strontium and oxygen isotope study. Geol. Rundsch. 1986, 75, 703–714. [Google Scholar] [CrossRef]
- Bozkurt, E.; Satir, M. The southern Menderes Massif (western Turkey): Geochronology and exhumation history. Geol. J. 2000, 35, 285–296. [Google Scholar] [CrossRef]
- Lips, A.L.W.; Cassard, D.; Sözbilir, H.; Yılmaz, H. Multistage exhumation of the Menderes Massif, western Anatolia (Turkey). Int. J. Earth Sci. 2001, 89, 781–792. [Google Scholar] [CrossRef]
- Catlos, E.J.; Çemen, I. Monazite ages and the evolution of the Menderes Massif, western Turkey. Int. J. Earth Sci. 2005, 94, 204–217. [Google Scholar] [CrossRef]












| Sample (wt%) | C & T (2008) * | Avg. Bayındır † | Avg. Bozdağ † | MM03-23 | MM03-26 |
|---|---|---|---|---|---|
| SiO2 | 59.80 | 61.01 | 64.31 | 62.22 | 64.58 |
| Al2O3 | 16.57 | 17.35 | 20.56 | 15.73 | 19.52 |
| FeO ‡ | 5.81 | 7.17 | 8.77 | 8.84 | 8.67 |
| MnO | 0.10 | 0.07 | 0.05 | 0.11 | 0.06 |
| MgO | 2.62 | 2.53 | 0.85 | 3.22 | 0.66 |
| CaO | 1.09 | 1.43 | 0.34 | 1.30 | 0.29 |
| Na2O | 1.73 | 2.81 | 0.47 | 2.16 | 0.71 |
| K2O | 3.53 | 3.04 | 1.42 | 2.74 | 1.66 |
| TiO2 | 0.75 | 0.90 | 1.13 | 1.00 | 1.36 |
| Total | 92.0 | 96.3 | 97.9 | 97.3 | 97.5 |
| Sample * (Path-B) | Core T (°C) | Core P (kbar) | Rim T (°C) | Rim P (kbar) | Sample (Path-hiT) | Core T (°C) | Core P (kbar) | Rim T (°C) | Rim P (kbar) |
|---|---|---|---|---|---|---|---|---|---|
| Garnets at a heating/cooling rate of 5 °C/my | |||||||||
| 5-1_p | 500 | 5.9 | 560 | 9.7 | 5-1_p | 520 | 5.3 | 665 | 10.2 |
| 5-1_d | 500 | 5.9 | 560 | 9.7 | 5-1_d | 525 | 5.5 | 565 | 9.6 |
| 5-4_p | 500 | 6.1 | 560 | 9.7 | 5-4_p | 520 | 5.4 | 665 | 10.2 |
| 5-4_d | 505 | 6.3 | 560 † | 9.7 † | 5-4_d | - ‡ | - | - | - |
| 5-6_p | 520 | 6.7 | 560 | 9.7 | 5-6_p | 545 | 5.9 | 665 | 10.3 |
| 5-6_d | 545 † | 8.1 † | 560 | 9.7 | 5-6_d | - | - | - | - |
| 5-8_p | 560 | 9.1 | 560 | 9.7 | 5-8_p | 570 | 6.8 | 665 | 10.1 |
| 5-8_d | 560 † | 9.1 † | 560 † | 9.7 † | 5-8_d | 610 † | 8.6 † | - | - |
| Garnets at a heating/cooling rate of 50 °C/my | |||||||||
| 50-1_p | 500 | 5.9 | 560 | 9.7 | 50-1_p | 520 | 5.3 | 590 | 7.5 |
| 50-1_d | 500 | 5.9 | 560 † | 9.7 † | 50-1_d | 520 | 5.3 | 590 | 7.5 |
| 50-4_p | 500 | 6.1 | 560 | 9.7 | 50-4_p | 525 | 5.4 | - | - |
| 50-4_d | 500 | 6.1 | 560 † | 9.5 † | 50-4_d † | 530 † | 5.5 † | - | - |
| 50-6_p | 515 | 6.8 | 560 | 9.7 | 50-6_p | 545 | 5.9 | 590 | 7.5 |
| 50-6_d | 520 | 7.0 | - | - | 50-6_d | - | - | 590 | 7.8 |
| 50-8_p | 540 | 8.8 | 560 | 9.7 | 50-8_p | 575 | 6.8 | 590 | 7.5 |
| 50-8_d | 545 | 8.7 | - | - | 50-8_d | 575 | 6.9 | 590 | 7.5 |
| Sample (Path hiT) * | Core T (°C) | Core P (kbar) | Rim T (°C) † | Rim P (kbar) † |
|---|---|---|---|---|
| 5-4_dp | - ‡ | - ‡ | 740 | 9.8 |
| 5-6_dp | - ‡ | - ‡ | 740 | 9.8 |
| 5-8_dp | 610 † | 8.6 † | 740 | 9.8 |
| 50-4_dp | 530 † | 5.5 † | 580 | 6.8 |
| 50-6_dp | 550 † | 6.1 † | 580 | 6.8 |
| 50-8_dp | 575 † | 6.9 † | 580 | 6.8 |
Publisher’s Note: MDPI stays neutral with regard to jurisdictional claims in published maps and institutional affiliations. |
© 2021 by the authors. Licensee MDPI, Basel, Switzerland. This article is an open access article distributed under the terms and conditions of the Creative Commons Attribution (CC BY) license (https://creativecommons.org/licenses/by/4.0/).
Share and Cite
Etzel, T.M.; Catlos, E.J. Garnet Chemical Zoning Based Thermobarometry: Method Evaluation and Applications in the Menderes Massif, Western Turkey. Geosciences 2021, 11, 505. https://doi.org/10.3390/geosciences11120505
Etzel TM, Catlos EJ. Garnet Chemical Zoning Based Thermobarometry: Method Evaluation and Applications in the Menderes Massif, Western Turkey. Geosciences. 2021; 11(12):505. https://doi.org/10.3390/geosciences11120505
Chicago/Turabian StyleEtzel, Thomas M., and Elizabeth J. Catlos. 2021. "Garnet Chemical Zoning Based Thermobarometry: Method Evaluation and Applications in the Menderes Massif, Western Turkey" Geosciences 11, no. 12: 505. https://doi.org/10.3390/geosciences11120505
APA StyleEtzel, T. M., & Catlos, E. J. (2021). Garnet Chemical Zoning Based Thermobarometry: Method Evaluation and Applications in the Menderes Massif, Western Turkey. Geosciences, 11(12), 505. https://doi.org/10.3390/geosciences11120505
