Fabric Analysis in Upper Crustal Post-Collisional Granitoids from the Serre Batholith (Southern Italy): Results from Microstructural and AMS Investigations
Abstract
:1. Introduction
2. Geo-Petrological Background
2.1. Regional Outline
2.2. The Serre Massif
2.3. Previous Studies on the Upper Crustal Serre Granitoids
3. Materials and Methods
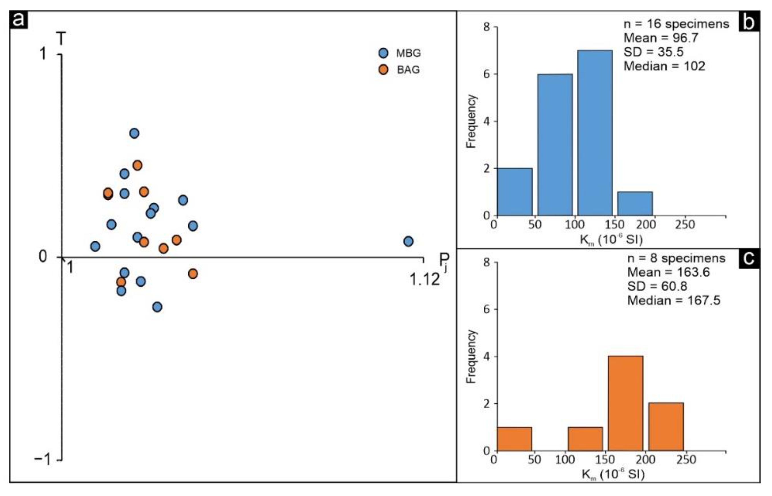
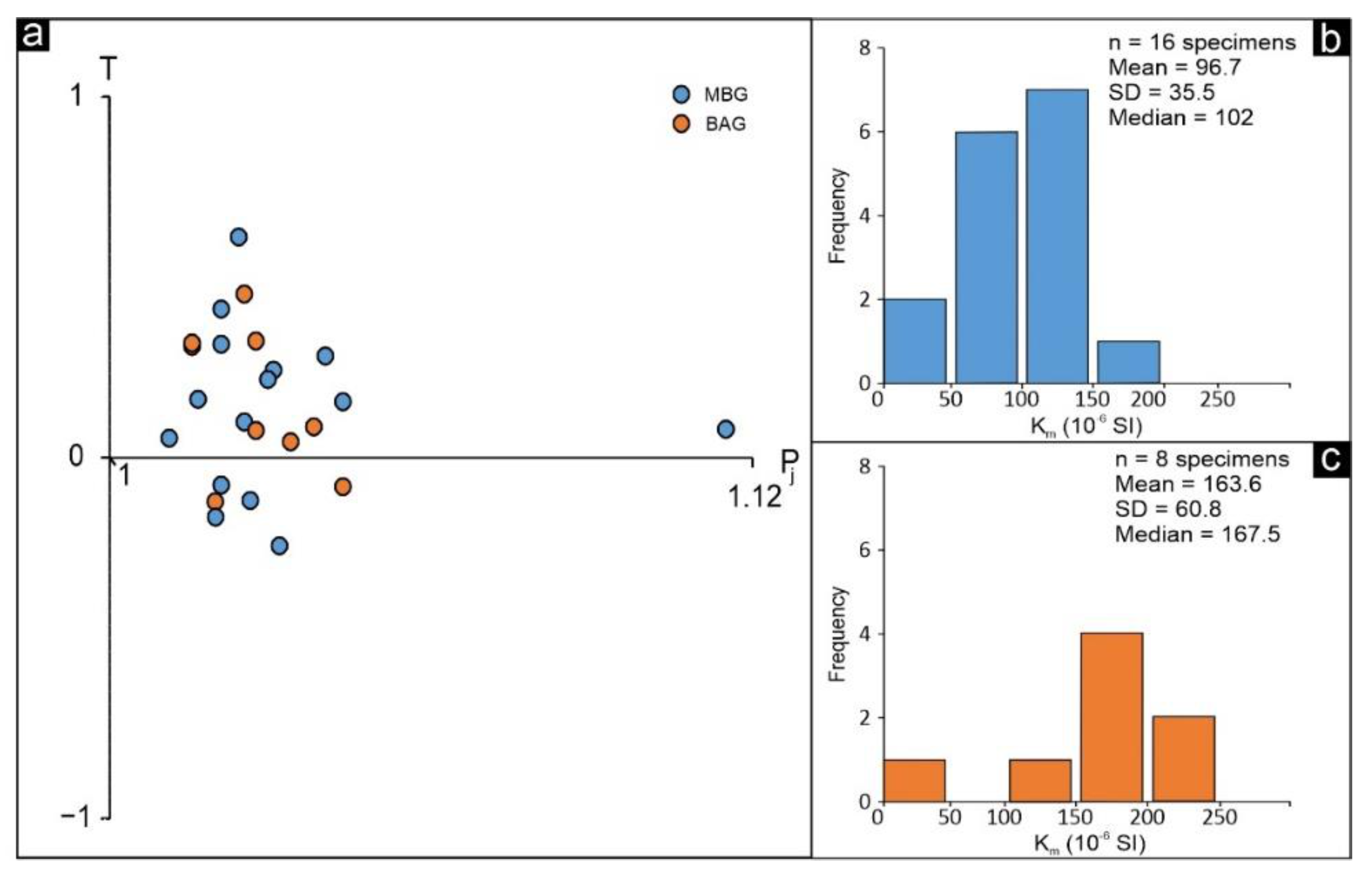
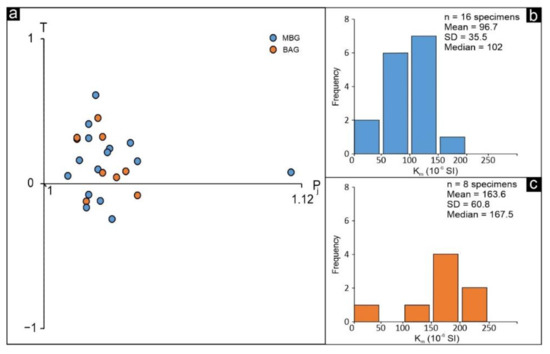
| Sample | Lat Long | Cores per Sample | Unit | Km (10−6 SI) | Km St. Dev. | L | F | Pj | T | K1 D/I | K1 Mean Tensor | K1 95% Conf. Angle | K3 D/I | K3 Mean Tensor | K3 95% Conf. Angle | K2 D/I | K2 Mean Tensor | K2 95% Conf. Angle |
|---|---|---|---|---|---|---|---|---|---|---|---|---|---|---|---|---|---|---|
| NDP-12 | 16°20′50″ 38°26′58″ | 5 | BAG | 171 | 3.34 × 10−5 | 1.015 | 1.017 | 1.033 | 0.034 | 77/51 | 1.005 | 75/23 | 193/20 | 0.993 | 43/29 | 296/32 | 1.002 | 75/36 |
| NDP-16 | 16°20′45″ 38°25′56″ | 4 | BAG | 175 | 1.86 × 10−5 | 1.007 | 1.017 | 1.025 | 0.412 | 19/23 | N.A. | N.A. | 288/03 | N.A. | N.A. | 190/67 | N.A. | N.A. |
| NDP-17 | 16°20′20″ 38°26′03″ | 4 | BAG | 47 | 5.00 × 10−6 | 1.021 | 1.019 | 1.042 | −0.080 | 153/36 | N.A. | N.A. | 300/42 | N.A. | N.A. | 50/18 | N.A. | N.A. |
| NDP-18 | 16°20′28″ 38°26′42″ | 4 | BAG | 121 | 1.94 × 10−5 | 1.010 | 1.016 | 1.027 | 0.292 | 25/18 | N.A. | N.A. | 200/72 | N.A. | N.A. | 65/12 | N.A. | N.A. |
| SC-28 | 16°29′42″ 38°32′03″ | 6 | BAG | 163 | 3.19 × 10−5 | 1.005 | 1.010 | 1.016 | 0.279 | 188/58 | 1.004 | 34/18 | 286/05 | 0.995 | 33/19 | 19/32 | 1.001 | 39/23 |
| SC-29A | 16°29′22″ 38°32′14″ | 4 | BAG | 221 | 1.31 × 10−5 | 1.011 | 1.018 | 1.020 | −0.119 | 268/12 | N.A. | N.A. | 60/72 | N.A. | N.A. | 66/30 | N.A. | N.A. |
| SC-30B | 16°28′55″ 38°32′16″ | 5 | BAG | 164 | 1.62 × 10−5 | 1.017 | 1.020 | 1.037 | 0.073 | 194/16 | 1.014 | 35/8 | 104/01 | 0.983 | 13/08 | 12/74 | 1.003 | 36/05 |
| SC-40 | 16°28′29″ 38°33′30″ | 5 | BAG | 247 | 1.54 × 10−5 | 1.005 | 1.010 | 1.016 | 0.287 | 180/54 | N.A. | N.A. | 300/78 | N.A. | N.A. | 285/66 | N.A. | N.A. |
| NDP-2B | 16°19′55″ 38°31′41″ | 7 | MBG | 69.3 | 8.38 × 10−6 | 1.014 | 1.024 | 1.039 | 0.254 | 12/59 | 1.012 | 44/10 | 269/08 | 0.981 | 10/07 | 175/30 | 1.007 | 44/07 |
| NDP-2BIS | 16°19′55″ 38°31′41″ | 6 | MBG | 69.6 | 1.50 × 10−5 | 1.018 | 1.022 | 1.042 | 0.137 | 348/49 | 1.012 | 26/13 | 255/03 | 0.986 | 29/16 | 162/41 | 1.002 | 26/19 |
| NDP-6 | 16°21′10″ 38°30′18″ | 7 | MBG | 91 | 1.89 × 10−5 | 1.008 | 1.020 | 1.030 | 0.218 | 278/09 | 1.007 | 29/24 | 13/28 | 0.995 | 13/28 | 172/60 | 0.999 | 64/25 |
| NDP-7 | 16°21′06″ 38°30′06″ | 5 | MBG | 69.6 | 1.50 × 10−5 | 1.006 | 1.014 | 1.021 | 0.375 | 62.2/61.7 | 1.006 | 27/10 | 157.7/3.0 | 0.991 | 21/15 | 249/28 | 1.003 | 28/17 |
| NDP-8 | 16°20′38″ 38°29′39″ | 7 | MBG | 57.6 | 6.42 × 10−6 | 1.005 | 1.006 | 1.012 | 0.044 | 251.3/18.3 | 1.003 | 33/14 | 137.2/51.0 | 0.997 | 27/18 | 354/33 | 1.000 | 34/23 |
| NDP-9 | 16°20′53″ 38°27′59″ | 7 | MBG | 12.6 | 3.12 × 10−6 | 1.048 | 1.059 | 1.112 | 0.067 | 358.5/58.7 | 1.016 | 48/23 | 176.6/31.3 | 0.987 | 60/39 | 267/01 | 0.997 | 60/41 |
| NDP-10 | 16°21′02″ 38°27′43″ | 4 | MBG | 143 | 1.43 × 10−5 | 1.011 | 1.013 | 1.025 | 0.086 | 48.0/60.0 | N.A. | N.A. | 171.0/12.0 | N.A. | N.A. | 73/36 | N.A. | N.A. |
| NDP-11 | 16°20′56″ 38°27′34″ | 5 | MBG | 128 | 1.10 × 10−5 | 1.011 | 1.017 | 1.029 | 0.194 | 210.5/55.1 | 1.007 | 23/18 | 0.8/31.2 | 0.993 | 35/22 | 100/14 | 0.999 | 36/13 |
| NDP-21 | 16°21′11″ 38°27′48″ | 5 | MBG | 129 | 1.55 × 10−5 | 1.013 | 1.012 | 1.026 | −0.115 | 200.0/73.2 | 1.01 | 31/13 | 307.5/5.2 | 0.988 | 14/6 | 39/16 | 1.002 | 31/06 |
| NDP-23 | 16°21′41″ 38°27′17″ | 3 | MBG | 150 | N.A. | 1.011 | 1.015 | 1.027 | 0.063 | 195.2/39.1 | N.A. | N.A. | 293.2/9.8 | N.A. | N.A. | 35/49 | N.A. | N.A. |
| NDP-24 | 16°21′37″ 38°27′07″ | 7 | MBG | 162 | 7.24 × 10−6 | 1.005 | 1.018 | 1.024 | 0.559 | 81.7/11.7 | 1.004 | 29/16 | 175/15.2 | 0.995 | 48/17 | 316/71 | 1.001 | 48/29 |
| SC-33 | 16°28′25″ 38°32′37″ | 5 | MBG | 113 | 1.86 × 10−5 | 1.019 | 1.011 | 1.031 | −0.231 | 57.2/14.8 | 1.011 | 29/13 | 300.5/59.7 | 0.991 | 39/15 | 155/26 | 0.998 | 39/26 |
| SC-34 | 16°28′13″ 38°33′06″ | 6 | MBG | 65.3 | 5.73 × 10−6 | 1.012 | 1.008 | 1.020 | −0.158 | 144.1/20.1 | 1.004 | 42/32 | 246.3/30.0 | 0.995 | 48/33 | 26/53 | 1.000 | 49/38 |
| SC-38 | 16°28′56″ 38°33′33″ | 5 | MBG | 38.2 | 3.55 × 10−6 | 1.006 | 1.010 | 1.017 | 0.144 | 209.0/36.5 | 1.003 | 64/31 | 64.0/48.0 | 0.995 | 35/15 | 313/18 | 1.001 | 64/17 |
| SC-39A | 16°28′56″ 38°33′48″ | 5 | MBG | 128 | 1.28 × 10−5 | 1.007 | 1.013 | 1.021 | 0.285 | 89.2/27.7 | 1.006 | 29/14 | 262.0/62.0 | 0.995 | 48/16 | 358/03 | 0.999 | 48/27 |
| SC-39B | 16°28′57″ 38°33′49″ | 3 | MBG | 121 | 2.52 × 10−5 | 1.006 | 1.035 | 1.046 | 0.390 | 350.0/54.0 | N.A. | N.A. | 231.0/48.0 | N.A. | N.A. | 15/66 | N.A. | N.A. |
4. Results
4.1. Upper Crustal Granitoid Rocks in the Study Area
4.2. Submagmatic to Subsolidus Deformation Microstructures
4.2.1. Two-Mica Granodiorites and Granites (MBG)
4.2.2. Biotite ± Amphibole Granodiorites (BAG)
4.3. Anisotropy of Magnetic Susceptibility (AMS)
5. Discussion
5.1. Insights from Microstructures
5.2. Integration with Magnetic Data
6. Conclusions
Author Contributions
Funding
Acknowledgments
Conflicts of Interest
References
- Paterson, S.R.; Miller, R.B. Magma Emplacement during arc-perpendicular shortening: An Example from the Cascades Crystalline Core, Washington. Tectonics 1998, 17, 571–586. [Google Scholar] [CrossRef]
- Snoke, A.W.; Kalakay, T.J.; Quick, J.E.; Sinigoi, S. Development of a deep-crustal shear zone in response to syntectonic intrusion of mafic magma into the lower crust, Ivrea–Verbano Zone, Italy. Earth Planet. Sci. Lett. 1999, 166, 31–45. [Google Scholar] [CrossRef]
- Neves, S.P.; Vauchez, A.; Feraud, G. Tectono-thermal evolution, magma emplacement, and shear zone development in the Caruaru area (Borborema Province, NE Brazil). Precambrian Res. 2000, 99, 1–32. [Google Scholar] [CrossRef]
- Rosenberg, C.L. Shear zones and magma ascent: A model based on a review of the tertiary magmatism in the Alps. Tectonics 2004, 23, 1–21. [Google Scholar] [CrossRef]
- Weinberg, R.F.; Mark, G. Magma migration, folding, and disaggregation of migmatites in the Karakoram shear zone, Ladakh, NW India. Geol. Soc. Am. Bull. 2008, 120, 994–1009. [Google Scholar] [CrossRef] [Green Version]
- Demartis, M.; Pinotti, L.P.; Coniglio, J.E.; D’Eramo, F.J.; Tubía, J.M.; Aragón, E.; Insúa, L.A.A. Ascent and emplacement of pegmatitic melts in a major reverse shear zone (Sierras de Córdoba, Argentina). J. Struct. Geol. 2011, 33, 1334–1346. [Google Scholar] [CrossRef]
- Trubač, J.; Žák, J.; Chlupáčová, M.; Janoušek, V. Magnetic fabric and modeled strain distribution in the head of a nested granite diapir, the Melechov Pluton, Bohemian Massif. J. Struct. Geol. 2014, 66, 271–283. [Google Scholar] [CrossRef]
- Casini, L.; Cuccuru, S.; Puccini, A.; Oggiano, G.; Rossi, P. Evolution of the Corsica–Sardinia Batholith and late-orogenic shearing of the Variscides. Tectonophysics 2015, 646, 65–78. [Google Scholar] [CrossRef]
- Tomek, F.; Žák, J.; Verner, K.; Holub, F.V.; Sláma, J.; Paterson, S.R.; Memeti, V. Mineral fabrics in high-level intrusions recording crustal strain and volcano–tectonic interactions: The Shellenbarger Pluton, Sierra Nevada, California. J. Geol. Soc. 2017, 174, 193–208. [Google Scholar] [CrossRef]
- Avila, C.F.; Archanjo, C.J.; Hollanda, M.H.B.; de Macedo Filho, A.A.; Lemos-Santos, D.d.V. Shear zone cooling and fabrics of synkinematic plutons evidence timing and rates of orogenic exhumation in the Northwest Borborema Province (NE Brazil). Precambrian Res. 2020, 350, 105940. [Google Scholar] [CrossRef]
- Fazio, E.; Fiannacca, P.; Russo, D.; Cirrincione, R. Submagmatic to solid-state deformation microstructures recorded in cooling granitoids during exhumation of late-variscan crust in North-Eastern Sicily. Geosciences 2020, 10, 311. [Google Scholar] [CrossRef]
- Vigneresse, J.-L. Control of granite emplacement by regional deformation. Tectonophysics 1995, 249, 173–186. [Google Scholar] [CrossRef]
- Weinberg, R.F.; Sial, A.N.; Mariano, G. Close spatial relationship between plutons and shear zones. Geology 2004, 32, 377–380. [Google Scholar] [CrossRef]
- Zibra, I.; Kruhl, J.H.; Montanini, A.; Tribuzio, R. Shearing of magma along a high-grade shear zone: Evolution of microstructures during the transition from magmatic to solid-state flow. J. Struct. Geol. 2012, 37, 150–160. [Google Scholar] [CrossRef]
- Punturo, R.; Cirrincione, R.; Fazio, E.; Fiannacca, P.; Kern, H.; Mengel, K.; Ortolano, G.; Pezzino, A. Microstructural, compositional and petrophysical properties of mylonitic granodiorites from an extensional shear zone (Rhodope Core Complex, Greece). Geol. Mag. 2014, 151, 1051–1071. [Google Scholar] [CrossRef]
- Oberc-Dziedzic, T.; Kryza, R.; Pin, C. Variscan granitoids related to shear zones and faults: Examples from the Central Sudetes (Bohemian Massif) and the Middle Odra Fault Zone. Int. J. Earth Sci. 2015, 104, 1139–1166. [Google Scholar] [CrossRef] [Green Version]
- Olivier, P.; Druguet, E.; Castaño, L.M.; Gleizes, G. Granitoid emplacement by multiple sheeting during variscan dextral transpression: The Saint-Laurent—La Jonquera pluton (Eastern Pyrenees). J. Struct. Geol. 2016, 82, 80–92. [Google Scholar] [CrossRef]
- Lyra, D.S.; Savian, J.F.; de Fátima Bitencourt, M.; Trindade, R.I.; Tomé, C.R. AMS fabrics and emplacement model of Butiá Granite, an Ediacaran syntectonic peraluminous granite from Southernmost Brazil. J. S. Am. Earth Sci. 2018, 87, 25–41. [Google Scholar] [CrossRef]
- Lehmann, J.; Bybee, G.M.; Hayes, B.; Owen-Smith, T.M.; Belyanin, G. Emplacement of the Giant Kunene AMCG complex into a contractional ductile shear zone and implications for the mesoproterozoic tectonic evolution of SW Angola. Int. J. Earth Sci. 2020, 109, 1463–1485. [Google Scholar] [CrossRef]
- De Toni, G.B.; de Bitencourt, M.F.; Konopásek, J.; Martini, A.; Andrade, P.H.S.; Florisbal, L.M.; Campos, R.S.D. Transpressive strain partitioning between the Major Gercino shear zone and the Tijucas Fold Belt, Dom Feliciano Belt, Santa Catarina, Southern Brazil. J. Struct. Geol. 2020, 136, 104058. [Google Scholar] [CrossRef]
- Graessner, T.; Schenk, V.; Bröcker, M.; Mezger, K. Geochronological constraints on the timing of granitoid magmatism, metamorphism and post-metamorphic cooling in the hercynian crustal cross-Section of Calabria. J. Metamorph. Geol. 2000, 18, 409–421. [Google Scholar] [CrossRef] [Green Version]
- Fiannacca, P.; Williams, I.S.; Cirrincione, R.; Pezzino, A. Crustal contributions to late hercynian peraluminous magmatism in the Southern Calabria-Peloritani Orogen, Southern Italy: Petrogenetic inferences and the Gondwana connection. J. Petrol. 2008, 49, 1497–1514. [Google Scholar] [CrossRef] [Green Version]
- Fiannacca, P.; Williams, I.S.; Cirrincione, R. Timescales and mechanisms of batholith construction: Constraints from zircon oxygen isotopes and geochronology of the late Variscan Serre Batholith (Calabria, Southern Italy). Lithos 2017, 277, 302–314. [Google Scholar] [CrossRef]
- Langone, A.; Caggianelli, A.; Festa, V.; Prosser, G. Time constraints on the building of the Serre Batholith: Consequences for the thermal evolution of the hercynian continental crust exposed in Calabria (Southern Italy). J. Geol. 2014, 122, 183–199. [Google Scholar] [CrossRef]
- Rottura, A.; Bargossi, G.M.; Caironi, V.; Del Moro, A.; Maccarrone, E.; Macera, P.; Paglionico, A.; Petrini, R.; Piccarreta, G.; Poli, G. Petrogenesis of contrasting hercynian granitoids from the Calabrian Arc, Southern Italy. Lithos 1990, 24, 97–119. [Google Scholar] [CrossRef]
- Acquafredda, P.; Caggianelli, A.; Di Battista, P. Contrasting features of foliated and massive hercynian granitoids from Calabria (Italy). Mineral. Petrogr. Acta 1995, 38, 9–24. [Google Scholar]
- Caggianelli, A.; Prosser, G.; Di Battista, P. Textural features and fabric analysis of granitoids emplaced at different depths: The example of the Hercynian Tonalites and Granodiorites from Calabria. Mineral. Petrogr. Acta 1997, 40, 11–26. [Google Scholar]
- Caggianelli, A.; Prosser, G.; Rottura, A. Thermal history vs. fabric anisotropy in granitoids emplaced at different crustal levels: An example from Calabria, Southern Italy. Terra Nova 2000, 12, 109–116. [Google Scholar] [CrossRef]
- Caggianelli, A.; Liotta, D.; Prosser, G.; Ranalli, G. Pressure–temperature evolution of the late Hercynian Calabria continental crust: Compatibility with post-collisional extensional tectonics. Terra Nova 2007, 19, 502–514. [Google Scholar] [CrossRef]
- Angì, G.; Cirrincione, R.; Fazio, E.; Fiannacca, P.; Ortolano, G.; Pezzino, A. Metamorphic evolution of preserved Hercynian crustal section in the Serre Massif (Calabria-Peloritani Orogen, Southern Italy). Lithos 2010, 115, 237–262. [Google Scholar] [CrossRef]
- Paterson, S.R.; Vernon, R.H.; Tobisch, O.T. A review of criteria for the identification of magmatic and tectonic foliations in granitoids. J. Struct. Geol. 1989, 11, 349–363. [Google Scholar] [CrossRef]
- Bouchez, J.L.; Delas, C.; Gleizes, G.; Nedelec, A.; Cuney, M. Submagmatic microfractures in granites. Geology 1992, 20, 35–38. [Google Scholar] [CrossRef]
- Passchier, C.W.; Trouw, R.A.J. Microtectonics; Springer: Berlin/Heidelberg, Germany, 2005; ISBN 3540640037. [Google Scholar]
- Vernon, R.H. Review of microstructural evidence of magmatic and solid-state flow. Electron. Geosci. 2000, 5, 1–23. [Google Scholar] [CrossRef]
- Vernon, R.H. A Practical Guide to Rock Microstructure, 2nd ed.; Cambridge University Press: Cambridge, UK, 2018; ISBN 9781108427241. [Google Scholar]
- Birch, F.S. Magnetic fabric of the Exeter pluton, New Hampshire. J. Geophys. Res. Solid Earth 1979, 84, 1129–1137. [Google Scholar] [CrossRef]
- Jelinek, V. Characterization of the magnetic fabric of rocks. Tectonophysics 1981, 79, T63–T67. [Google Scholar] [CrossRef]
- Tarling, D.H.; Hrouda, F. The Magnetic Anisotropy of Rocks; Chapman & Hall: London, UK, 1993; p. 217. [Google Scholar]
- Bouchez, J.L. Granite is never isotropic: An introduction to AMS studies of granitic rocks. In Granite: From Segregation of Melt to Emplacement Fabrics; Springer: Dodrecht, The Netherlands, 1997; pp. 95–112. [Google Scholar]
- Borradaile, G.J. Magnetic fabrics and petrofabrics: Their orientation distributions and anisotropies. J. Struct. Geol. 2001, 23, 1581–1596. [Google Scholar] [CrossRef]
- Faccenna, C.; Speranza, F.; Caracciolo, F.D.; Mattei, M.; Oggiano, G. Extensional tectonics on Sardinia (Italy): Insights into thearc-back-arc transitional regime. Tectonophysics 2002, 356, 213–232. [Google Scholar] [CrossRef]
- Mamtani, M.A.; Greiling, R.O. Granite emplacement and its relation with regional deformation in the Aravalli Mountain Belt (India)—Inferences from magnetic fabric. J. Struct. Geol. 2005, 27, 2008–2029. [Google Scholar] [CrossRef]
- Nké, B.B.; Njanko, T.; Mamtani, M.A.; Njonfang, E.; Rochette, P. Kinematic evolution of the Mbakop Pan–African granitoids (Western Cameroon Domain): An integrated AMS and EBSD approach. J. Struct. Geol. 2018, 111, 42–63. [Google Scholar]
- Mamtani, M.A.; Bhatt, S.; Rana, V.; Sen, K.; Mondal, T.K. Application of anisotropy of magnetic susceptibility (AMS) in understanding regional deformation, fabric development and granite emplacement: Examples from Indian Cratons. Geol. Soc. Lond. Spec. Publ. 2020, 489, 275–292. [Google Scholar] [CrossRef]
- Tomé, C.R.; Bitencourt, M.d.F.; Raposo, M.I.B.; Savian, J.F. Magnetic fabric data on interactive syntectonic magmas of contrasting composition in composite dikes from South Brazil. J. Geodyn. 2020, 138, 101754. [Google Scholar] [CrossRef]
- Rochette, P.; Scaillet, B.; Guillot, S.; Le Fort, P.; Pêcher, A. Magnetic properties of the High Himalayan leucogranites: Structural implications. Earth Planet. Sci. Lett. 1994, 126, 217–234. [Google Scholar] [CrossRef]
- Greiling, R.O.; Verma, P.K. Strike-slip tectonics and granitoid emplacement: An AMS fabric study from the Odenwald Crystalline Complex, SW Germany. Mineral. Petrol. 2001, 72, 165–184. [Google Scholar] [CrossRef]
- Stevenson, C.T.E.; Owens, W.H.; Hutton, D.H.W.; Hood, D.N.; Meighan, I.G. Laccolithic, as opposed to cauldron subsidence, emplacement of the Eastern Mourne pluton, N. Ireland: Evidence from anisotropy of magnetic susceptibility. J. Geol. Soc. 2007, 164, 99–110. [Google Scholar] [CrossRef]
- Raposo, M.I.B.; Gastal, M.C.P. Emplacement mechanism of the main granite pluton of the Lavras Do Sul intrusive complex, South Brazil, determined by magnetic anisotropies. Tectonophysics 2009, 466, 18–31. [Google Scholar] [CrossRef]
- Stevenson, C.T.E.; Bennett, N. The emplacement of the Palaeogene Mourne Granite Centres, Northern Ireland: New results from the Western Mourne Centre. J. Geol. Soc. 2011, 168, 831–836. [Google Scholar] [CrossRef]
- McCarthy, W.; Petronis, M.S.; Reavy, R.J.; Stevenson, C.T. Distinguishing diapirs from inflated plutons: An integrated rock magnetic fabric and structural study on the Roundstone pluton, Western Ireland. J. Geol. Soc. 2015, 172, 550–565. [Google Scholar] [CrossRef]
- Mamtani, M.A. Magnetic fabric as a vorticity gauge in syntectonically deformed granitic rocks. Tectonophysics 2014, 629, 189–196. [Google Scholar] [CrossRef]
- Chatué, C.N.; Njanko, T.; Fozing, E.M.; Nké, B.B.; Séta, N.; Njonfang, E. Field observations, magnetic fabrics and microstructures evidences of Syn-Kinematic emplacement of the Numba Granitic pluton (Western Cameroon Domain). J. Afr. Earth Sci. 2020, 172, 104009. [Google Scholar] [CrossRef]
- Appel, P.; Cirrincione, R.; Fiannacca, P.; Pezzino, A. Age constraints on Late Paleozoic evolution of continental crust from electron microprobe dating of monazite in the Peloritani Mountains (Southern Italy): Another example of resetting of monazite ages in high-grade rocks. Int. J. Earth Sci. 2010, 100, 107–123. [Google Scholar] [CrossRef]
- Cirrincione, R.; Fiannacca, P.; Giudice, A.L.; Pezzino, A. Evidence of early palaeozoic continental rifting from Mafic Metavolcanics of Southern Peloritani Mountains (North-Eastern Sicily, Italy). Ofioliti 2005, 30, 15–25. [Google Scholar]
- Fiannacca, P.; Williams, I.S.; Cirrincione, R.; Pezzino, A. The augen gneisses of the Peloritani Mountains (NE Sicily): Granitoid magma production during rapid evolution of the Northern Gondwana margin at the end of the Precambrian. Gondwana Res. 2013, 23, 782–796. [Google Scholar] [CrossRef]
- Micheletti, F.; Fornelli, A.; Piccarreta, G.; Barbey, P.; Tiepolo, M. The basement of Calabria (Southern Italy) within the context of the Southern European Variscides: LA-ICPMS and SIMS U–Pb zircon study. Lithos 2008, 104, 1–11. [Google Scholar] [CrossRef]
- Schenk, V. U-Pb and Rb-Sr radiometric dates and their correlation with metamorphic events in the granulite-facies basement of the Serre, Southern Calabria (Italy). Contrib. Mineral. Petrol. 1980, 73, 23–38. [Google Scholar] [CrossRef]
- Schenk, V. The exposed crustal cross section of southern Calabria, Italy: Structure and evolution of a segment of Hercynian crust. In Exposed Cross-Sections of the Continental Crust; Springer: Berlin/Heidelberg, Germany, 1990; pp. 21–42. [Google Scholar]
- Williams, I.S.; Fiannacca, P.; Cirrincione, R.; Pezzino, A. Peri-Gondwanan origin and early geodynamic history of NE Sicily: A zircon tale from the basement of the Peloritani Mountains. Gondwana Res. 2012, 22, 855–865. [Google Scholar] [CrossRef]
- Cirrincione, R.; Fazio, E.; Ortolano, G.; Pezzino, A.; Punturo, R. Fault-related rocks: Deciphering the structural-metamorphic evolution of an accretionary wedge in a collisional belt, NE Sicily. Int. Geol. Rev. 2012, 54, 940–956. [Google Scholar] [CrossRef]
- Cirrincione, R.; Fazio, E.; Fiannacca, P.; Ortolano, G.; Pezzino, A.; Punturo, R. The Calabria-Peloritani Orogen, a composite terrane in Central Mediterranean; its overall architecture and geodynamic significance for a pre-Alpine scenario around the Tethyan Basin. Period. Mineral. 2015, 84, 701–749. [Google Scholar] [CrossRef]
- Fazio, E.; Cirrincione, R.; Pezzino, A. Estimating P-T conditions of Alpine-type metamorphism using multistage garnet in the tectonic windows of the Cardeto Area (Southern Aspromonte Massif, Calabria). Mineral. Petrol. 2008, 93, 111–142. [Google Scholar] [CrossRef]
- Fazio, E.; Punturo, R.; Cirrincione, R. Quartz c-axis texture mapping of mylonitic metapelite with rod structures (Calabria, Southern Italy): Clues for hidden shear flow direction. J. Geol. Soc. India 2010, 75, 171–182. [Google Scholar] [CrossRef]
- Fazio, E.; Cirrincione, R.; Pezzino, A. Tectono-metamorphic map of the South-Western Flank of the Aspromonte Massif (Southern Calabria -Italy). J. Maps 2015, 11, 85–100. [Google Scholar] [CrossRef]
- Fazio, E.; Punturo, R.; Cirrincione, R.; Kern, H.; Pezzino, A.; Wenk, H.-R.; Goswami, S.; Mamtani, M.A. Quartz preferred orientation in naturally deformed mylonitic rocks (Montalto Shear Zone–Italy): A comparison of results by different techniques, their advantages and limitations. Int. J. Earth Sci. 2017, 106, 2259–2278. [Google Scholar] [CrossRef]
- Fazio, E.; Ortolano, G.; Visalli, R.; Alsop, I.; Cirrincione, R.; Pezzino, A. Strain localization and sheath fold development during progressive deformation in a ductile shear zone: A case study of macro-to micro-scale structures from the Aspromonte Massif, Calabria. Ital. J. Geosci. 2018, 137, 208–218. [Google Scholar] [CrossRef]
- Ortolano, G.; Visalli, R.; Fazio, E.; Fiannacca, P.; Godard, G.; Pezzino, A.; Punturo, R.; Sacco, V.; Cirrincione, R. Tectono-metamorphic evolution of the Calabria continental lower crust: The case of the Sila Piccola Massif. Int. J. Earth Sci. 2020, 109, 1295–1319. [Google Scholar] [CrossRef]
- Ortolano, G.; Fazio, E.; Visalli, R.; Alsop, G.I.; Pagano, M.; Cirrincione, R. Quantitative microstructural analysis of mylonites formed during Alpine tectonics in the Western Mediterranean realm. J. Struct. Geol. 2020, 131, 103956. [Google Scholar] [CrossRef]
- Von Raumer, J.F.; Stampfli, G.M. The birth of the Rheic Ocean—Early Palaeozoic subsidence patterns and subsequent tectonic plate scenarios. Tectonophysics 2008, 461, 9–20. [Google Scholar] [CrossRef] [Green Version]
- Von Raumer, J.F.; Bussy, F.; Schaltegger, U.; Schulz, B.; Stampfli, G.M. Pre-mesozoic Alpine basements—Their place in the European Paleozoic framework. GSA Bull. 2013, 125, 89–108. [Google Scholar] [CrossRef]
- Domeier, M.; Torsvik, T.H. Plate tectonics in the Late Paleozoic. Geosci. Front. 2014, 5, 303–350. [Google Scholar] [CrossRef] [Green Version]
- Carosi, R.; Montomoli, C.; Tiepolo, M.; Frassi, C. Geochronological constraints on post-collisional shear zones in the Variscides of Sardinia (Italy). Terra Nova 2012, 24, 42–51. [Google Scholar] [CrossRef]
- Corsini, M.; Rolland, Y. Late evolution of the Southern European Variscan belt: Exhumation of the lower crust in a context of oblique convergence. Comptes Rendus Geosci. 2009, 341, 214–223. [Google Scholar] [CrossRef]
- Padovano, M.; Dörr, W.; Elter, F.M.; Gerdes, A. The East Variscan shear zone: Geochronological constraints from the Capo Ferro area (NE Sardinia, Italy). Lithos 2014, 196–197, 27–41. [Google Scholar] [CrossRef]
- Padovano, M.; Elter, F.M.; Pandeli, E.; Franceschelli, M. The East Variscan shear zone: New insights into its role in the Late Carboniferous Collision in Southern Europe. Int. Geol. Rev. 2012, 54, 957–970. [Google Scholar] [CrossRef]
- Ayuso, R.A.; Messina, A.; De Vivo, B.; Russo, S.; Woodruff, L.G.; Sutter, J.F.; Belkin, H.E. Geochemistry and argon thermochronology of the Variscan Sila Batholith, Southern Italy: Source rocks and magma evolution. Contrib. Mineral. Petrol. 1994, 117, 87–109. [Google Scholar] [CrossRef]
- Fiannacca, P.; Cirrincione, R.; Bonanno, F.; Carciotto, M.M. Source-inherited compositional diversity in granite batholiths: The geochemical message of Late Paleozoic intrusive magmatism in Central Calabria (Southern Italy). Lithos 2015, 236–237, 123–140. [Google Scholar] [CrossRef]
- Fiannacca, P.; Basei, M.A.S.; Cirrincione, R.; Pezzino, A.; Russo, D. Water-assisted production of late-orogenic trondhjemites at magmatic and subsolidus conditions. Geol. Soc. Lond. Spec. Publ. 2020, 491, 147–178. [Google Scholar] [CrossRef]
- Fiannacca, P.; Williams, I.S.; Cirrincione, R.; Pezzino, A. Poly-orogenic melting of metasedimentary crust from a granite geochemistry and inherited zircon perspective (Southern Calabria-Peloritani Orogen, Italy). Front. Earth Sci. 2019, 7, 119. [Google Scholar] [CrossRef]
- Festa, V.; Langone, A.; Caggianelli, A.; Rottura, A. Dike magmatism in the Sila Grande (Calabria, Southern Italy): Evidence of Pennsylvanian-Early Permian exhumation. Geosphere 2010, 6, 549–566. [Google Scholar] [CrossRef] [Green Version]
- Romano, V.; Cirrincione, R.; Fiannacca, P.; Lustrino, M.; Tranchina, A. Late-hercynian post-collisional dyke magmatism in Central Calabria (Serre Massif, Southern Italy). Period. di Mineral. 2011, 80, 489–515. [Google Scholar] [CrossRef]
- Barca, D.; Cirrincione, R.; De Vuono, E.; Fiannacca, P.; Ietto, F.; Lo Guidice, A. The Triassic rift system in the Northern Calabrian-Peloritani Orogen: Evidence from basaltic dyke magmatism in the San Donato Unit. Period. Mineral. 2010, 79, 61–72. [Google Scholar] [CrossRef]
- Cirrincione, R.; Fiannacca, P.; Lustrino, M.; Romano, V.; Tranchina, A. Late triassic tholeiitic magmatism in Western Sicily: A possible extension of the Central Atlantic Magmatic Province (CAMP) in the Central Mediterranean area? Lithos 2014, 188, 60–71. [Google Scholar] [CrossRef]
- Cirrincione, R.; Fiannacca, P.; Lustrino, M.; Romano, V.; Tranchina, A.; Villa, I.M. Enriched asthenosphere melting beneath the nascent North African margin: Trace element and Nd isotope evidence in middle–late Triassic alkali basalts from Central Sicily (Italy). Int. J. Earth Sci. 2016, 105, 595–609. [Google Scholar] [CrossRef] [Green Version]
- Fornelli, A.; Langone, A.; Micheletti, F.; Piccarreta, G. Time and duration of Variscan high-temperature metamorphic processes in the South European Variscides: Constraints from U-Pb chronology and trace element chemistry of zircon. Mineral. Petrol. 2011, 103, 101–122. [Google Scholar] [CrossRef]
- Acquafredda, P.; Fornelli, A.; Piccarreta, G.; Pascazio, A. Multi-stage dehydration–decompression in the metagabbros from the lower crustal rocks of the Serre (Southern Calabria, Italy). Geol. Mag. 2008, 145, 397–411. [Google Scholar] [CrossRef]
- Acquafredda, P.; Fornelli, A.; Paglionico, A.; Piccarreta, G. Petrological evidence for crustal thickening and extension in the Serre Granulite Terrane (Calabria, Southern Italy). Geol. Mag. 2006, 143, 145–163. [Google Scholar] [CrossRef]
- Rottura, A.; Del Moro, A.; Pinarelli, L.; Petrini, R.; Peccerillo, A.; Caggianelli, A.; Bargossi, G.M.; Piccarreta, G. Relationships between intermediate and acidic rocks in orogenic granitoid suites: Petrological, geochemical and isotopic (Sr, Nd, Pb) data from Capo Vaticano (Southern Calabria, Italy). Chem. Geol. 1991, 92, 153–176. [Google Scholar] [CrossRef]
- Fornelli, A.; Caggianelli, A.; Del Moro, A.; Bargossi, G.M.; Paglionico, A.; Piccarreta, G.; Rottura, A. Petrology and evolution of the Central Serre Granitoids (Southern Calabria–Italy). Period. Mineral. 1994, 63, 53–70. [Google Scholar]
- Punturo, R.; Mamtani, M.A.; Fazio, E.; Occhipinti, R.; Renjith, A.R.; Cirrincione, R. Seismic and magnetic susceptibility anisotropy of middle-lower continental crust: Insights for their potential relationship from a study of intrusive rocks from the Serre Massif (Calabria, Southern Italy). Tectonophysics 2017, 712–713, 542–556. [Google Scholar] [CrossRef]
- Festa, V.; Caggianelli, A.; Langone, A.; Prosser, G. Time-space relationships among structural and metamorphic aureoles related to granite emplacement: A case study from the Serre Massif (Southern Italy). Geol. Mag. 2013, 150, 441–454. [Google Scholar] [CrossRef]
- Del Moro, A.; Fornelli, A.; Paglionico, A. K-Feldspar Megacrystic Suite in the Serre (Southern Calabria–Italy). Period. Mineral. 1994, 63, 19–33. [Google Scholar]
- Tursi, F.; Spiess, R.; Festa, V.; Fregola, R.A. Hercynian subduction-related processes within the metamorphic continental crust in Calabria (Southern Italy). J. Metamorph. Geol. 2020, 38, 771–793. [Google Scholar] [CrossRef]
- Fiannacca, P.; Lombardo, R.; Militello, G.M.; Cirrincione, R. Plagioclase microstructures and compositions as tracers of mixing processes in weakly to strongly peraluminous granodiorites and granites from the Serre Batholith (Southern Italy). Rend. Online Soc. Geol. Ital. 2016, 38, 43–46. [Google Scholar] [CrossRef]
- Caggianelli, A.; Prosser, G.; Del Moro, A. Cooling and exhumation history of deep-seated and shallow level, late Hercynian granitoids from Calabria. Geol. J. 2000, 35, 33–42. [Google Scholar] [CrossRef]
- Hutton, D.H.W. Granite emplacement mechanisms and tectonic controls: Inferences from deformation studies. Trans. R. Soc. Edinb. Earth Sci. 1988, 79, 245–255. [Google Scholar] [CrossRef]
- Festa, V.; Tursi, F.; Caggianelli, A.; Spiess, R. The tectono-magmatic setting of the Hercynian upper continental crust exposed in Calabria (Italy) as revealed by the 1:10,000 structural-geological map of the Levadio stream area. Ital. J. Geosci. 2018, 137, 165–174. [Google Scholar] [CrossRef]
- Mamtani, M.A.; Greiling, R.O. Serrated quartz grain boundaries, temperature and strain rate: Testing fractal techniques in a syntectonic granite. Geol. Soc. Lond. Spec. Publ. 2010, 332, 35. [Google Scholar] [CrossRef]
- Guillope, M.; Poirier, J.P. Dynamic recrystallization during creep of single-crystalline halite: An experimental study. J. Geophys. Res. 1979, 84, 5557–5567. [Google Scholar] [CrossRef]
- Kruhl, J.H. Prism- and basal-plane parallel subgrain boundaries in quartz: A microstructural geothermobarometer. J. Metamorph. Geol. 1996, 14, 581–589. [Google Scholar] [CrossRef]
- Rosenberg, C.L.; Stünitz, H. Deformation and recrystallization of plagioclase along a temperature gradient: An example from the Bergell Tonalite. J. Struct. Geol. 2003, 25, 389–408. [Google Scholar] [CrossRef]
- Stipp, M.; Stünitz, H.; Heilbronner, R.; Schmid, S.M. The Eastern Tonale fault zone: A “natural Laboratory” for crystal plastic deformation of quartz over a temperature range from 250 to 700 °C. J. Struct. Geol. 2002, 24, 1861–1884. [Google Scholar] [CrossRef]
- Pryer, L.; Robin, P.-Y. Differential stress control on the growth and orientation of flame perthite: A palaeostress-direction indicator. J. Struct. Geol. 1996, 18, 1151–1166. [Google Scholar] [CrossRef]
- Simpson, C. Deformation of granitic rocks across the brittle-ductile transition. J. Struct. Geol. 1985, 7, 503–511. [Google Scholar] [CrossRef]
- Simpson, C.; Wintsch, R.P. Evidence for deformation-induced K-feldspar replacement by myrmekite. J. Metamorph. Geol. 1989, 7, 261–275. [Google Scholar] [CrossRef]
- Ishihara, S. The Magnetite-series and ilmenite-series granitic rocks. Min. Geol. 1977, 27, 293–305. [Google Scholar]
- Takahashi, M.; Aramaki, S.; Ishihara, S. Magnetite-series/ilmenite-series vs. I-type/S-typeg; Les series magnetite/ilmenite comparees aux granitoides de type I. Min. Geol. Spec. Issue 1980, 8, 13–28. [Google Scholar]
- Chappell, B.W.; White, A.J. Two contrasting granite types: 25 years later. Aust. J. Earth Sci. 2001, 48, 489–499. [Google Scholar] [CrossRef]
- Bleil, U.; Petersen, N. Variations in magnetization intensity and low-temperature titanomagnetite oxidation of ocean floor basalts. Nature 1983, 301, 384–388. [Google Scholar] [CrossRef]
- Schön, J. Physical Properties of Rocks: A Workbook; Elsevier: Amsterdam, The Netherlands, 2011; Volume 8, ISBN 0444537961. [Google Scholar]
- Zapletal, K.; Kropáček, V. Magnetic anisotropy of polycrystalline haematite induced by A D. C. magnetic field. Studia Geophys. Geod. 1985, 29, 351–361. [Google Scholar] [CrossRef]
- Rochette, P.; Jackson, M.; Aubourg, C. Rock magnetism and the interpretation of anisotropy of magnetic susceptibility. Rev. Geophys. 1992, 30, 209–226. [Google Scholar] [CrossRef]
- Aydin, A.; Ferré, E.C.; Aslan, Z. The magnetic susceptibility of granitic rocks as a proxy for geochemical composition: Example from the Saruhan Granitoids, NE Turkey. Tectonophysics 2007, 441, 85–95. [Google Scholar] [CrossRef]
- Borradaile, G.J. Magnetic susceptibility, petrofabrics and strain. Tectonophysics 1988, 156, 1–20. [Google Scholar] [CrossRef]
- Hrouda, F. Theoretical models of magnetic anisotropy to strain relationship revisited. Phys. Earth Planet. Inter. 1993, 77, 237–249. [Google Scholar] [CrossRef]
- Borradaile, G.J.; Jackson, M. Anisotropy of magnetic susceptibility (AMS): Magnetic petrofabrics of deformed rocks. Geol. Soc. Lond. Spec. Publ. 2004, 238, 299–360. [Google Scholar] [CrossRef]
- Žák, J.; Verner, K.; Holub, F.V.; Kabele, P.; Chlupáčová, M.; Halodová, P. Magmatic to solid state fabrics in syntectonic granitoids recording early carboniferous orogenic collapse in the Bohemian Massif. J. Struct. Geol. 2012, 36, 27–42. [Google Scholar] [CrossRef]
- Sen, K.; Majumder, S.; Mamtani, M.A. Degree of magnetic anisotropy as a strain intensity gauge in ferromagnetic granites. J. Geol. Soc. 2005, 162, 583–586. [Google Scholar] [CrossRef]
- Sen, K.; Mamtani, M.A. Magnetic fabric, shape preferred orientation and regional strain in granitic rocks. J. Struct. Geol. 2006, 28, 1870–1882. [Google Scholar] [CrossRef]
- Mamtani, M.A.; Sengupta, A. Anisotropy of magnetic susceptibility analysis of deformed kaolinite: Implications for evaluating landslides. Int. J. Earth Sci. 2009, 98, 1721–1725. [Google Scholar] [CrossRef]
- Mamtani, M.A.; Pal, T.; Greiling, R.O. Kinematic analysis using AMS data from a deformed granitoid. J. Struct. 2013, 50, 119–132. [Google Scholar] [CrossRef]
- Hunt, C.P.; Moskowitz, B.M.; Banerjee, S.K. Magnetic Properties of Rocks and Minerals. Rock Phys. Phase Relat. A Handb. Phys. Constants 1995, 3, 189–204. [Google Scholar]
- Waldhör, M.; Appel, E. Layer parallelisation: An unrecognised mechanism for palaeomagnetic rotations in fold belts. Tectonophysics 2009, 474, 516–525. [Google Scholar] [CrossRef]










| Sample No. | Unit | c(Fe2O3) | c(FeO) | c(MnO) | KMTPS | Km |
|---|---|---|---|---|---|---|
| [wt.%] | [wt.%] | [wt.%] | (10−6 SI) | (10−6 SI) | ||
| NDP-12 | BAG | 0 | 2.96 | 0.07 | 0.17 | 171 |
| 2.96 | 0 | 0.183 | ||||
| NDP-17 | BAG | 0 | 0.96 | 0.04 | 0.056 | 47 |
| 0.96 | 0 | 0.06 | ||||
| NDP-18 | BAG | 0 | 2.79 | 0.06 | 0.16 | 121 |
| 2.79 | 0 | 0.172 | ||||
| SC-28 | BAG | 0 | 3.95 | 0.08 | 0.226 | 163 |
| 3.95 | 0 | 0.244 | ||||
| SC-29A | BAG | 0 | 4.62 | 0.1 | 0.265 | 221 |
| 4.62 | 0 | 0.285 | ||||
| SC-30B | BAG | 0 | 3.21 | 0.07 | 0.184 | 164 |
| 3.21 | 0 | 0.198 | ||||
| SC-40 | BAG | 0 | 4.3 | 0.07 | 0.245 | 247 |
| 4.3 | 0 | 0.264 | ||||
| NDP-6 | MBG | 0 | 1.92 | 0.04 | 0.109 | 91 |
| 1.92 | 0 | 0.118 | ||||
| NDP-7 | MBG | 0 | 2.1 | 0.06 | 0.121 | 69.6 |
| 2.1 | 0 | 0.13 | ||||
| NDP-10 | MBG | 0 | 3.15 | 0.08 | 0.182 | 143 |
| 3.15 | 0 | 0.195 | ||||
| NDP-11 | MBG | 0 | 2.92 | 0.07 | 0.168 | 128 |
| 2.92 | 0 | 0.181 | ||||
| NDP-21 | MBG | 0 | 3.56 | 0.08 | 0.204 | 129 |
| 3.56 | 0 | 0.219 | ||||
| SC-33 | MBG | 0 | 2.79 | 0.08 | 0.161 | 113 |
| 2.79 | 0 | 0.173 | ||||
| SC-34 | MBG | 0 | 1.85 | 0.06 | 0.108 | 65.3 |
| 1.85 | 0 | 0.116 |
Publisher’s Note: MDPI stays neutral with regard to jurisdictional claims in published maps and institutional affiliations. |
© 2021 by the authors. Licensee MDPI, Basel, Switzerland. This article is an open access article distributed under the terms and conditions of the Creative Commons Attribution (CC BY) license (https://creativecommons.org/licenses/by/4.0/).
Share and Cite
Fiannacca, P.; Russo, D.; Fazio, E.; Cirrincione, R.; Mamtani, M.A. Fabric Analysis in Upper Crustal Post-Collisional Granitoids from the Serre Batholith (Southern Italy): Results from Microstructural and AMS Investigations. Geosciences 2021, 11, 414. https://doi.org/10.3390/geosciences11100414
Fiannacca P, Russo D, Fazio E, Cirrincione R, Mamtani MA. Fabric Analysis in Upper Crustal Post-Collisional Granitoids from the Serre Batholith (Southern Italy): Results from Microstructural and AMS Investigations. Geosciences. 2021; 11(10):414. https://doi.org/10.3390/geosciences11100414
Chicago/Turabian StyleFiannacca, Patrizia, Damiano Russo, Eugenio Fazio, Rosolino Cirrincione, and Manish A. Mamtani. 2021. "Fabric Analysis in Upper Crustal Post-Collisional Granitoids from the Serre Batholith (Southern Italy): Results from Microstructural and AMS Investigations" Geosciences 11, no. 10: 414. https://doi.org/10.3390/geosciences11100414
APA StyleFiannacca, P., Russo, D., Fazio, E., Cirrincione, R., & Mamtani, M. A. (2021). Fabric Analysis in Upper Crustal Post-Collisional Granitoids from the Serre Batholith (Southern Italy): Results from Microstructural and AMS Investigations. Geosciences, 11(10), 414. https://doi.org/10.3390/geosciences11100414

