Metasedimentary Metatexites with Trondhjemitic Leucosomes from NE Sicily: Another Example of Prograde Water-fluxed Melting in Collisional Belts
Abstract
1. Introduction
2. Geo-petrological Background
3. Materials and Methods
4. Results
4.1. Petrography
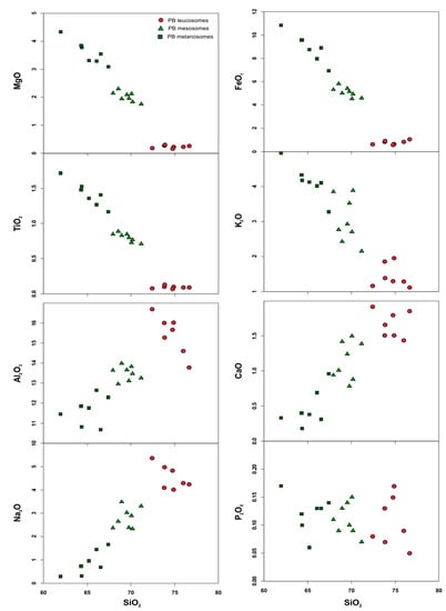
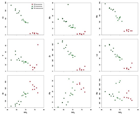
4.2. Geochemistry
5. Discussion
5.1. Field, Petrographic and Geochemical Evidence for Water-fluxed Melting
5.2. Melting Reactions
5.3. Comparison with Experimental and Natural Data
5.4. Role of P, T, H2O and Source Composition
5.5. Implications for Regional Geology
6. Concluding Remarks
Supplementary Materials
Author Contributions
Funding
Acknowledgments
Conflicts of Interest
References
- Mayne, M.J.; Stevens, G.; Moyen, J.F. A phase equilibrium investigation of selected source controls on the composition of melt batches generated by sequential melting of an average metapelite. In Post-Archean Granitic Rocks: Petrogenetic Processes and Tectonic Environments; Janousek, V., Bonin, B., Collins, W.J., Farina, F., Bowden, P., Eds.; Special Publications; Geological Society: London, UK, 2019; Volume 491. [Google Scholar] [CrossRef]
- Patiño Douce, A.E.; Harris, N. Experimental constraints on Himalayan anatexis. J. Petrol. 1998, 39, 89–710. [Google Scholar] [CrossRef]
- Prince, C.; Harris, N.; Vance, D. Fluid-enhanced melting during prograde metamorphism. J Geol. Soc. 2001, 158, 233–242. [Google Scholar] [CrossRef]
- Conrad, W.K.; Nicholls, I.A.; Wall, V.J. Water saturated and undersaturated melting of metaluminous and peraluminous crustal compositions at 10 kb: Evidence for the origin of silicic magmas in the Taupo Volcanic Zone, New Zeland, and other occurrences. J. Petrol. 1988, 29, 765–803. [Google Scholar] [CrossRef]
- Harris, N.B.W.; Inger, S. Trace element modelling of pelite-derived granites. Contrib. Mineral. Petrol. 1992, 110, 46–56. [Google Scholar] [CrossRef]
- Inger, S.; Harris, N. Geochemical constraints on leucogranite magmatism in the Langtang Valley, Nepal Himalaya. J. Petrol. 1993, 34, 345–368. [Google Scholar] [CrossRef]
- Gao, L.E.; Zeng, L.; Asimow, P.D. Contrasting geochemical signatures of fluid-absent versus fluid-fluxed melting of muscovite in metasedimentary sources: The Himalayan leucogranites. Geology 2017, 45, 39–42. [Google Scholar] [CrossRef]
- Sawyer, E.W. The role of partial melting and fractional crystallization in determining discordant migmatite leucosome compositions. J. Petrol. 1987, 28, 445–473. [Google Scholar] [CrossRef]
- Solar, G.S.; Brown, M. Petrogenesis of migmatites in Maine, USA: Possible source of peraluminous leucogranite in plutons? J. Petrol. 2001, 42, 789–823. [Google Scholar] [CrossRef]
- Johnson, T.E.; Hudson, N.F.C.; Droop, G.T.R. Evidence for a genetic granite–migmatite link in the Dalradian of NE Scotland. J. Geol. Soc. 2003, 160, 447–457. [Google Scholar] [CrossRef]
- Wang, S.J.; Li, S.G.; Chen, L.J.; He, Y.S.; An, S.C.; Shen, J. Geochronology and geochemistry of leucosomes in the North Dabie Terrane, East China: Implication for post-UHPM crustal melting during exhumation. Contrib. Mineral. Petrol. 2013, 165, 1009–1029. [Google Scholar] [CrossRef]
- Nicoli, G.; Stevens, G.; Moyen, J.F.; Vezinet, A.; Mayne, M. Insights into the complexity of crustal differentiation: K2O-poor leucosomes within metasedimentary migmatites from the Southern Marginal Zone of the Limpopo Belt, South Africa. J. Metam. Geol. 2017, 35, 999–1022. [Google Scholar] [CrossRef]
- Drummond, M.S.; Ragland, P.C.; Wesolowski, D. An example of trondhjemite genesis by means of alkali metasomatism: Rockford Granite, Alabama Appalachians. Contrib. Mineral. Petrol. 1986, 93, 98–113. [Google Scholar] [CrossRef]
- Essaifi, A.; Capdevila, R.; Lagarde, J.L. Metasomatic trondhjemites and tonalites: Examples in Central Jebilet (Hercynian, Morocco). J. Afric. Earth Sci. 2004, 39, 369–374. [Google Scholar] [CrossRef]
- Fiannacca, P.; Basei, M.A.S.; Cirrincione, R.; Pezzino, A.; Russo, D. Water-assisted production of late-orogenic trondhjemites at magmatic and subsolidus conditions. In Post-Archean Granitic Rocks: Petrogenetic Processes and Tectonic Environments; Janousek, V., Bonin, B., Collins, W.J., Farina, F., Bowden, P., Eds.; Special Publications; Geological Society: London, UK, 2019; Volume 491. [Google Scholar] [CrossRef]
- Kaur, P.; Chaudhri, N.; Hofmann, A.W.; Raczek, I.; Okrusch, M.; Skora, S.; Baumgartner, L.P. Two-stage, extreme albitization of A-type granites from Rajasthan, NW India. J. Petrol. 2012, 53, 919–948. [Google Scholar] [CrossRef]
- Kaur, P.; Chaudhri, N.; Eliyas, N. Origin of trondhjemite and albitite at the expense of A-type granite, Aravalli orogen, India: Evidence from new metasomatic replacement fronts. Geosci. Front. 2019, 10, 1891–1913. [Google Scholar] [CrossRef]
- Fiannacca, P.; Cirrincione, R.; Mazzoleni, A.; Pezzino, A.; Sergi, A. Petrographic and geochemical features of Hercynian migmatites from north-eastern Peloritani (northeastern Sicily): Preliminary data. Boll. Accad. Gioenia Sci. Nat. 2005, 38, 151–172. [Google Scholar]
- Fiannacca, P.; Brotzu, P.; Cirrincione, R.; Mazzoleni, P.; Pezzino, A. Alkali metasomatism as a process for trondhjemite genesis: Evidence from Aspromonte Unit, northeastern Peloritani, Sicily. Mineral. Petrol. 2005, 84, 19–45. [Google Scholar] [CrossRef]
- Fiannacca, P.; Williams, I.S.; Cirrincione, R.; Pezzino, A. Crustal contributions to late Hercynian peraluminous magmatism in the southern Calabria–Peloritani Orogen, southern Italy: Petrogenetic inferences and the Gondwana connection. J. Petrol. 2008, 49, 1497–1514. [Google Scholar] [CrossRef]
- Fiannacca, P.; Williams, I.S.; Cirrincione, R. Timescales and mechanisms of batholith construction: Constraints from zircon oxygen isotopes and geochronology of the late Variscan Serre Batholith (Calabria, southern Italy). Lithos 2017, 277, 302–314. [Google Scholar] [CrossRef]
- Appel, P.; Cirrincione, R.; Fiannacca, P.; Pezzino, A. Age constraints on Late Paleozoic evolution of continental crust from electron microprobe dating of monazite in the Peloritani Mountains (southern Italy): Another example of resetting of monazite ages in high grade rocks. Int. J. Earth Sci. 2011, 100, 107–123. [Google Scholar] [CrossRef]
- Fornelli, A.; Langone, A.; Micheletti, F.; Piccarreta, G. Time and duration of Variscan high temperature metamorphic processes in the south European Variscides: Constraints from U–Pb chronology and trace element chemistry of zircon. Mineral. Petrol. 2011, 103, 101–122. [Google Scholar] [CrossRef]
- Weinberg, R.F.; Hasalová, P. Water-fluxed melting of the continental crust: A review. Lithos 2015, 212, 158–188. [Google Scholar] [CrossRef]
- Clemens, J.D.; Stevens, G. Comment on ‘Water-fluxed melting of the continental crust: A review’ by R.F. Weinberg and P. Hasalová. Lithos 2015, 234, 100–101. [Google Scholar] [CrossRef]
- Weinberg, R.F.; Hasalová, P. Reply to comment by J.D. Clemens and G. Stevens on ‘Water-fluxed melting of the continental crust: A review’. Lithos 2015, 234, 102–103. [Google Scholar] [CrossRef]
- Clemens, J.D.; Stevens, G.; Bryan, S.E. Conditions during the formation of granitic magmas by crustal melting—Hot or cold; drenched, damp or dry? Earth Sci. Rev. 2020, 200, 102982. [Google Scholar] [CrossRef]
- Cirrincione, R.; Fazio, E.; Fiannacca, P.; Ortolano, G.; Pezzino, A.; Punturo, R. The Calabria–Peloritani Orogen, a composite terrane in Central Mediterranean; its overall architecture and geodynamic significance for a pre-Alpine scenario around the Tethyan basin. Period. Mineral. 2015, 84, 701–749. [Google Scholar] [CrossRef]
- Graessner, T.; Schenk, V.; Brocker, M.; Mezger, K. Geochronological constraints on timing of granitoid magmatism, metamorphism and postmetamorphic cooling in the Hercynian crustal cross-section of Calabria. J. Metam. Geol. 2000, 18, 409–421. [Google Scholar] [CrossRef]
- Fiannacca, P.; Williams, I.S.; Cirrincione, R.; Pezzino, A. Poly-orogenic melting of metasedimentary crust from a granite geochemistry and inherited zircon perspective (southern Calabria-Peloritani Orogen, Italy). Front. Earth Sci. 2019, 7, 119. [Google Scholar] [CrossRef]
- Rottura, A.; Bargossi, G.M.; Caironi, V.; Del Moro, A.; Maccarrone, E.; Macera, P.; Paglionico, A.; Petrini, R.; Piccarreta, G.; Poli, G. Petrogenesis of contrasting Hercynian granitoids from the Calabrian Arc, Southern Italy. Lithos 1990, 24, 97–119. [Google Scholar] [CrossRef]
- Rottura, A.; Del Moro, A.; Pinarelli, L.; Petrini, R.; Peccerillo, A.; Caggianelli, A.; Bargossi, G.M.; Piccarreta, G. Relationships between intermediate and acidic rocks in orogenic granitoid suites: Petrological, geochemical and isotopic (Sr, Nd, Pb) data from Capo Vaticano (southern Calabria, Italy). Chem. Geol. 1991, 92, 153–176. [Google Scholar] [CrossRef]
- Ayuso, R.; Messina, A.; De Vivo, B.; Russo, S.; Woodruff, L.; Sutter, J.; Belkin, H. Geochemistry and argon thermochronology of the Variscan Sila Batholith, southern Italy: Source rocks and magma evolution. Contrib. Mineral. Petrol. 1994, 117, 87–109. [Google Scholar] [CrossRef]
- Fiannacca, P.; Cirrincione, R.; Bonanno, F.; Carciotto, M.M. Source-inherited compositional diversity in granite batholiths: The geochemical message of Late Paleozoic intrusive magmatism in central Calabria (southern Italy). Lithos 2015, 23, 123–140. [Google Scholar] [CrossRef]
- Festa, V.; Langone, A.; Caggianelli, A.; Rottura, A. Dike magmatism in the Sila Grande (Calabria, southern Italy): Evidence of Pennsylvanian–Early Permian exhumation. Geosphere 2010, 6, 549–566. [Google Scholar] [CrossRef]
- Romano, V.; Cirrincione, R.; Fiannacca, P.; Lustrino, M.; Tranchina, A. Late-Hercynian post-collisional dyke magmatism in central Calabria (Serre Massif, southern Italy). Period Miner. 2011, 80, 489–515. [Google Scholar] [CrossRef]
- Barca, D.; Cirrincione, R.; De Vuono, E.; Fiannacca, P.; Ietto, F.; Lo Giudice, A. The Triassic rift system in the northern Calabrian-Peloritani Orogen: Evidence from basaltic dyke magmatism in the San Donato Unit. Period. Mineral. 2010, 79, 61–72. [Google Scholar] [CrossRef]
- Cirrincione, R.; Fiannacca, P.; Lustrino, M.; Romano, V.; Tranchina, A. Late Triassic tholeiitic magmatism in Western Sicily: A possible extension of the Central Atlantic Magmatic Province (CAMP) in the Central Mediterranean area? Lithos 2014, 188, 60–71. [Google Scholar] [CrossRef]
- Cirrincione, R.; Fiannacca, P.; Lustrino, M.; Romano, V.; Tranchina, A.; Villa, I.M. Enriched asthenosphere melting beneath the nascent North African margin: Trace element and Nd isotope evidence in middle–late Triassic alkali basalts from central Sicily (Italy). Int. J. Earth Sci. 2016, 105, 595–609. [Google Scholar] [CrossRef]
- Atzori, P.; Vezzani, L. Lineamenti petrografico-strutturali della catena peloritana. Geol. Romana 1974, 13, 21–27. [Google Scholar]
- Cirrincione, R.; Pezzino, A. Caratteri strutturali dell’evento alpino nella serie mesozoica di Ali e nella Unita metamorfica di Mandanici (Peloritani orientali). Mem. Soc. Geol. Ital. 1991, 47, 263–272. [Google Scholar]
- Atzori, P.; Cirrincione, R.; Del Moro, A.; Pezzino, A. Structural, metamorphic and geochronologic features of the Alpine event in south-eastern sector of the Peloritani Mountains (Sicily). Period. Mineral. 1994, 63, 113–125. [Google Scholar]
- Cirrincione, R.; Atzori, P.; Pezzino, A. Sub-greenschist facies assemblages of metabasites from south-eastern Peloritani range (NE-Sicily). Mineral. Petrol. 1999, 67, 193–212. [Google Scholar] [CrossRef]
- Acquafredda, P.; Lorenzoni, S.; Zanettin Lorenzoni, E. Palaeozoic sequences and evolution of the Calabrian–Peloritan Arc (Southern Italy). Terra Nova 1994, 6, 582–594. [Google Scholar] [CrossRef]
- Cirrincione, R.; Fiannacca, P.; Lo Giudice, A.; Pezzino, A. Evidence of early Palaeozoic continental rifting from mafic metavolcanics of Southern Peloritani Mountains (north-eastern Sicily, Italy). Ofioliti 2005, 30, 15–25. [Google Scholar]
- Somma, R.; Navas-Parejo, P.; Martín-Algarra, A.; Rodríguez-Cañero, R.; Perrone, V.; Martínez- Pérez, C. Paleozoic stratigraphy of the Longi-Taormina Unit (Peloritanian Mountains, southern Italy). Stratigraphy 2013, 10, 127–152. [Google Scholar]
- Ferla, P.; Meli, C. Petrogenesis of tourmaline rocks associated with Fe-carbonate–graphite metapelite, metabasite and strata-bound polymetallic sulphide mineralisation, Peloritani Mountains, Sicily, southern Italy. Lithos 2007, 99, 266–288. [Google Scholar] [CrossRef]
- Fiannacca, P.; Lo Pò, D.; Ortolano, G.; Cirrincione, R.; Pezzino, A. Thermodynamic modeling assisted by multivariate statistical image analysis as a tool for unraveling metamorphic P–T–d evolution: An example from ilmenite–garnet-bearing metapelite of the Peloritani Mountains, southern Italy. Mineral. Petrol. 2012, 106, 151–171. [Google Scholar] [CrossRef]
- Atzori, P.; Ferla, P.; Paglionico, A.; Piccarreta, G.; Rottura, A. Remnants of the Variscan Orogen along the Calabrian–Peloritan Arc, southern Italy: A review. J. Geol. Soc. 1984, 141, 137–145. [Google Scholar] [CrossRef]
- Ferla, P. A model of continental crust evolution in the geological history of the Peloritani Mountains (Sicily). Mem. Soc. Geol. Ital. 2000, 55, 87–93. [Google Scholar]
- Fiannacca, P.; Williams, I.S.; Cirrincione, R.; Pezzino, A. The augen gneisses of the Peloritani Mountains (NE Sicily): Granitoid magma production during rapid evolution of the northern Gondwana margin at the end of the Precambrian. Gondwana Res. 2013, 23, 782–796. [Google Scholar] [CrossRef]
- Williams, I.S.; Fiannacca, P.; Cirrincione, R.; Pezzino, A. Peri-Gondwanan origin and early geodynamic history of NE Sicily: A zircon tale from the basement of the Peloritani Mountains. Gondwana Res. 2012, 22, 855–865. [Google Scholar] [CrossRef]
- Cirrincione, R.; Fazio, E.; Ortolano, G.; Pezzino, A.; Punturo, R. Fault-related rocks: Deciphering the structural-metamorphic evolution of an accretionary wedge in a collisional belt, NE Sicily. Int. Geol. Rev. 2012, 54, 940–956. [Google Scholar] [CrossRef]
- D’Amico, C.; Rottura, A.; Maccarrone, E.; Puglisi, G. Peraluminous granitic suite of Calabria–Peloritani Arc (Southern Italy). Rend. Soc. Ital. Mineral. Petrol. 1982, 38, 35–52. [Google Scholar]
- Rottura, A.; Caggianelli, A.; Campana, R.; Del Moro, A. Petrogenesis of Hercynian peraluminous granites from the Calabrian Arc, Italy. Eur. J. Mineral. 1993, 5, 737–754. [Google Scholar] [CrossRef]
- Ioppolo, S.; Puglisi, G. Studio petrologico di alcune metamorfiti erciniche dei Monti Peloritani nord orientali (Sicilia). Rend. Soc. Ital. Mineral. Petrol. 1989, 43, 643–656. [Google Scholar]
- Rotolo, S.; De Fazio, P. Clinopyroxene bearing garnet amphibolites from the Ferrà Valley (northern Peloritani Mts., Sicily). Boll. Soc. Geol. Ital. 2001, 120, 31–35. [Google Scholar]
- Ortolano, G.; Cirrincione, R.; Pezzino, A. PT evolution of Alpine metamorphism in the southern Aspromonte Massif (Calabria-Italy). Schweiz. Mineral. Petrogr. Mitt 2005, 85, 31–56. [Google Scholar]
- Ortolano, G.; Visalli, R.; Cirrincione, R.; Rebay, G. PT-path reconstruction via unraveling of peculiar zoning pattern in atoll shaped garnets via image assisted analysis: An example from the Santa Lucia del Mela garnet micaschists (North eastern Sicily-Italy). Period. Mineral. 2014, 83, 257–297. [Google Scholar] [CrossRef]
- De Gregorio, S.; Rotolo, S.G.; Villa, I.M. Geochronology of the medium to high grade metamorphic units of the Peloritani Mts., Sicily. Int. J. Earth Sci. 2003, 92, 852–872. [Google Scholar] [CrossRef]
- Rubatto, D.; Williams, I.S.; Buick, I.S. Zircon and monazite response to prograde metamorphism in the Reynolds Range, central Australia. Contrib. Mineral. Petrol. 2001, 140, 458–468. [Google Scholar] [CrossRef]
- Williams, I.S. Response of detrital zircon and monazite, and their U-Pb isotopic systems, to regional metamorphism and host-rock partial melting, Cooma Complex, southeastern Australia. Aust. J. Earth Sci. 2001, 48, 557–580. [Google Scholar] [CrossRef]
- D’Amico, C.; Guerrieri, S.; Maccarrone, E. Le metamorfiti di Milazzo (Messina). Period. Mineral. 1972, 41, 35–151. [Google Scholar]
- Lo Giudice, A.; Atzori, P.; Pezzino, A. Genesi delle masse chiare peloritane ed implicazioni sulle rocce paragneissiche. Mineral. Petrogr. Acta 1985, 29, 93–117. [Google Scholar]
- Janoušek, V.; Farrow, C.M.; Erban, V. Interpretation of whole rock geochemical data in igneous geochemistry: Introducing geochemical data toolkit (GCDkit). J. Petrol. 2006, 47, 1255–1259. [Google Scholar] [CrossRef]
- Barker, F. Trondhjemites: Definition, environment and hypotheses of origin. In Trondhjemites, Dacites and Related Rocks; Barker, F., Ed.; Elsevier: Amsterdam, The Netherlands, 1979; pp. 1–12. [Google Scholar] [CrossRef]
- Fornelli, A.; Piccarreta, G.; Del Moro, A.; Acquafredda, P. Multi-stage melting in the lower crust of the Serre (Southern Italy). J. Petrol. 2002, 43, 2191–2217. [Google Scholar] [CrossRef]
- Cruciani, G.; Franceschelli, M.; Elter, F.M.; Puxeddu, M.; Utzeri, D. Petrogenesis of Al–silicate-bearing trondhjemitic migmatites from NE Sardinia, Italy. Lithos 2008, 102, 554–574. [Google Scholar] [CrossRef]
- Fancello, D.; Cruciani, G.; Franceschelli, M.; Massonne, H.J. Trondhjemitic leucosomes in paragneisses from NE Sardinia: Geochemistry and P-T conditions of melting and crystallization. Lithos 2018, 304, 501–517. [Google Scholar] [CrossRef]
- Sun, S.S.; McDonough, W.F. Chemical and isotopic systematics of oceanic basalts: Implications for mantle composition and processes. In Magmatism in the Ocean Basins; Saunders, A.D., Norry, M.J., Eds.; Special Publications; Geological Society: London, UK, 1989; Volume 42, pp. 313–345. [Google Scholar]
- Boynton, W.V. Geochemistry of rare earth elements: Meteorite studies. In Rare Earth Element Geochemistry; Henderson, P., Ed.; Elsevier: New York, NY, USA, 1984; pp. 63–114. [Google Scholar] [CrossRef]
- Brown, C.R.; Yakymchuk, C.; Brown, M.; Fanning, C.M.; Korhonen, F.J.; Piccoli, P.M.; Siddoway, C.S. From source to sink: Petrogenesis of Cretaceous anatectic granites from the Fosdick migmatite–granite complex, West Antarctica. J. Petrol. 2016, 57, 1241–1278. [Google Scholar] [CrossRef]
- García-Casco, A.; Torres-Roldán, R.L.; Millán, G.; Monié, P.; Haissen, F. High-grade metamorphism and hydrous melting of metapelites in the Pinos Terrane (W Cuba): Evidence for crustal thickening and extension in the northern Caribbean collisional belt. J. Metamorph. Geol. 2001, 19, 699–715. [Google Scholar] [CrossRef]
- Otamendi, J.E.; Patiño Douce, A.E. Partial melting of aluminous metagreywackes in the northern Sierra de Comechingones, Central Argentina. J. Petrol. 2001, 42, 1751–1772. [Google Scholar] [CrossRef]
- Gao, L.E.; Zeng, L. Fluxed melting of metapelite and the formation of Miocene high-CaO two-mica granites in the Malashan gneiss dome, southern Tibet. Geochim. Cosmochim. Acta 2014, 130, 136–155. [Google Scholar] [CrossRef]
- Jung, S.; Hoernes, S.; Masberg, P.; Hoffer, E. The petrogenesis of some migmatites and granites (central Damara Orogen, Namibia): Evidence for disequilibrium melting, wall-rock contamination and crystal fractionation. J. Petrol. 1999, 40, 1241–1269. [Google Scholar] [CrossRef]
- Jung, S.; Hoernes, S.; Mezger, K. Geochronology and petrology of migmatites from the Proterozoic Damara Belt—Importance of episodic fluid-present disequilibrium melting and consequences for granite petrology. Lithos 2000, 51, 153–179. [Google Scholar] [CrossRef]
- Ward, R.; Stevens, G.; Kisters, A. Fluid and deformation induced partial melting and melt volumes in low-temperature granulite-facies metasediments, Damara Belt, Namibia. Lithos 2008, 105, 253–271. [Google Scholar] [CrossRef]
- Jung, S.; Brandt, S.; Bast, R.; Scherer, E.E.; Berndt, J. Metamorphic petrology of a high-T/low-P granulite terrane (Damara belt, Namibia)—Constraints from pseudosection modelling and high-precision Lu–Hf garnet-whole rock dating. J. Metamorph. Geol. 2019, 37, 41–69. [Google Scholar] [CrossRef]
- Sawyer, E.W. Atlas of Migmatites; Special Publication; The Canadian Mineralogist: London, UK, 2008; Volume 9, p. 371. [Google Scholar]
- Vernon, R.H.; Collins, W.J. Structural criteria for identifying granitic cumulates. J. Geol. 2011, 119, 127–142. [Google Scholar] [CrossRef]
- Kriegsman, L.M.; Álvarez-Valero, A.M. Melt-producing versus melt-consuming reactions in pelitic xenoliths and migmatites. Lithos 2010, 116, 310–320. [Google Scholar] [CrossRef]
- Acosta-Vigil, A.; Buick, I.; Hermann, J.; Cesare, B.; Rubatto, D.; London, D.; Morgan, G.B. Mechanisms of crustal anatexis: A geochemical study of partially melted metapelitic enclaves and host dacite, SE Spain. J. Petrol. 2010, 51, 785–821. [Google Scholar] [CrossRef]
- Bartoli, O.; Tajčmanová, L.; Cesare, B.; Acosta-Vigil, A. Phase equilibria constraints on melting of stromatic migmatites from Ronda (S. Spain): Insights on the formation of peritectic garnet. J. Metamorph. Geol. 2013, 31, 775–789. [Google Scholar] [CrossRef]
- Sola, A.M.; Hasalová, P.; Weinberg, R.F.; Suzaño, N.O.; Becchio, R.A.; Hongn, F.D.; Botelho, N. Low-P melting of metapelitic rocks and the role of H2O: Insights from phase equilibria modeling. J. Metamorph. Geol. 2017, 35, 1131–1159. [Google Scholar] [CrossRef]
- Schwindinger, M.; Weinberg, R.F.; Clos, F. Wet or dry? The difficulty of identifying the presence of water during crustal melting. J. Metamorph. Geol. 2019, 37, 339–358. [Google Scholar] [CrossRef]
- Cesare, B.; Acosta-Vigil, A.; Bartoli, O.; Ferrero, S. What can we learn from melt inclusions in migmatites and granulites? Lithos 2015, 239, 186–216. [Google Scholar] [CrossRef]
- Bartoli, O.; Acosta-Vigil, A.; Cesare, B. High-temperature metamorphism and crustal melting: Working with melt inclusions. Period. Mineral. 2015, 84, 591–614. [Google Scholar]
- Bartoli, O.; Acosta-Vigil, A.; Tajčmanová, L.; Cesare, B.; Bodnar, R.J. Using nanogranitoids and phase equilibria modeling to unravel anatexis in the crustal footwall of the Ronda peridotites (Betic Cordillera, S Spain). Lithos 2016, 256, 282–299. [Google Scholar] [CrossRef]
- Bartoli, O.; Acosta-Vigil, A.; Cesare, B.; Remusat, L.; Gonzalez-Cano, A.; Wälle, M.; Tajčmanová, L.; Langone, A. Geochemistry of Eocene-Early Oligocene low-temperature crustal melts from Greater Himalayan Sequence (Nepal): A nanogranitoid perspective. Contrib. Mineral. Pet. 2019, 174, 82. [Google Scholar] [CrossRef]
- Acosta-Vigil, A.; London, D.; Morgan, G.B.; Cesare, B.; Buick, I.; Hermann, J.; Bartoli, O. Primary crustal melt compositions: Insights into the controls, mechanisms and timing of generation from kinetics experiments and melt inclusions. Lithos 2017, 286–287, 454–479. [Google Scholar] [CrossRef]
- Villaseca, C.; Barbero, L.; Herreros, V. A reexamination of the typology of peraluminous granite types in intracontinental orogenic belts. Earth Environ. Sci. Trans. R. Soc. Edinb. 1998, 89, 113–119. [Google Scholar] [CrossRef]
- Debon, F.; Le Fort, P. A chemical–mineralogical classification of common plutonic rocks and associations. Earth Environ. Sci. Trans. R. Soc. Edinb. 1983, 73, 135–149. [Google Scholar] [CrossRef]
- Patiño Douce, A.E. Effects of pressure and H2O content on the compositions of primary crustal melts. Specical Pap. Geol. Soc. Am. 1996, 315, 11–21. [Google Scholar]
- Cruciani, G.; Fancello, D.; Franceschelli, M.; Scodina, M.; Spano, M.E. Geothermobarometry of Al-silicate-bearing migmatites from the Variscan chain of NE Sardinia, Italy: A P-T pseudosection approach. Period. Mineral. 2014, 83, 19–40. [Google Scholar]
- Cruciani, G.; Franceschelli, M.; Langone, A.; Puxeddu, M. U-Pb zircon and Ar-Ar amphibole ages from Sardinian migmatites (Italy) and review of migmatite ages from the Variscan belt. Period. Mineral. 2019, 88, 203–221. [Google Scholar]








© 2020 by the authors. Licensee MDPI, Basel, Switzerland. This article is an open access article distributed under the terms and conditions of the Creative Commons Attribution (CC BY) license (http://creativecommons.org/licenses/by/4.0/).
Share and Cite
Fiannacca, P.; Cirrincione, R. Metasedimentary Metatexites with Trondhjemitic Leucosomes from NE Sicily: Another Example of Prograde Water-fluxed Melting in Collisional Belts. Geosciences 2020, 10, 123. https://doi.org/10.3390/geosciences10040123
Fiannacca P, Cirrincione R. Metasedimentary Metatexites with Trondhjemitic Leucosomes from NE Sicily: Another Example of Prograde Water-fluxed Melting in Collisional Belts. Geosciences. 2020; 10(4):123. https://doi.org/10.3390/geosciences10040123
Chicago/Turabian StyleFiannacca, Patrizia, and Rosolino Cirrincione. 2020. "Metasedimentary Metatexites with Trondhjemitic Leucosomes from NE Sicily: Another Example of Prograde Water-fluxed Melting in Collisional Belts" Geosciences 10, no. 4: 123. https://doi.org/10.3390/geosciences10040123
APA StyleFiannacca, P., & Cirrincione, R. (2020). Metasedimentary Metatexites with Trondhjemitic Leucosomes from NE Sicily: Another Example of Prograde Water-fluxed Melting in Collisional Belts. Geosciences, 10(4), 123. https://doi.org/10.3390/geosciences10040123
