The Influence of Relief on the Density of Light-Forest Trees within the Small-Dry-Valley Network of Uplands in the Forest-Steppe Zone of Eastern Europe
Abstract
1. Introduction
- Collection and systematization of information on tree density in light forests.
- Analysis of changes in the density of trees in light forests in the Belgorod Region.
- Correlation analysis between the relief characteristics of the small dry valley network and the density of trees in light forests of the region.
- Determination of those relief characteristics that have a predominant influence at different territorial levels of the study: local, subregional, and regional.
- Interpretation of the revealed patterns.
2. Materials and Methods
2.1. Study Area
2.2. Source Materials
2.3. Research Methods
3. Results and Discussion
3.1. Changes in the Density of Trees in Light Forests of the Belgorod Region
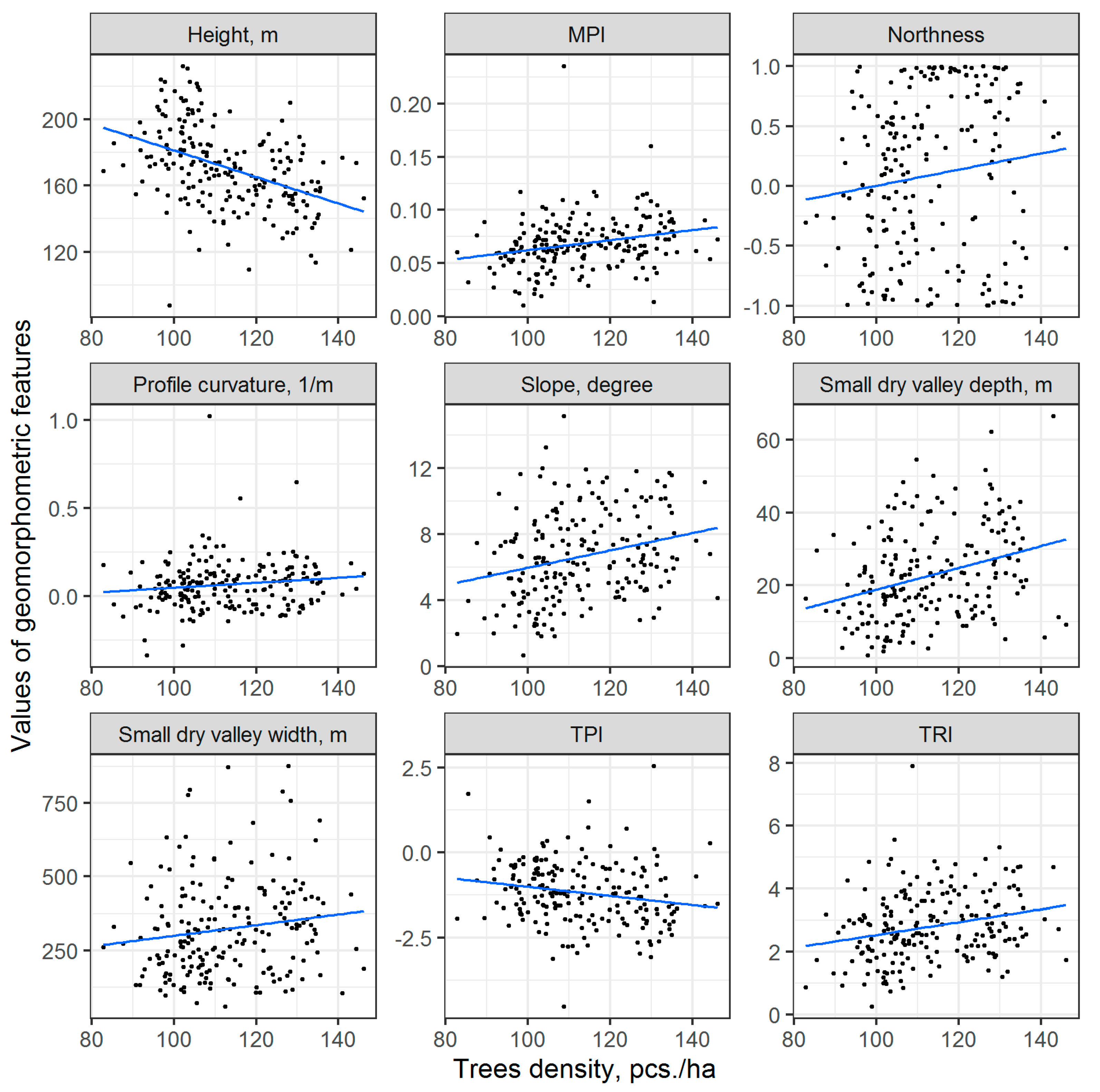
3.2. Correlation of Tree Density and Relief Characteristics
3.3. The Impact Produced by Nontopographic Factors on Tree Density in Light Forests
4. Conclusions
Author Contributions
Funding
Acknowledgments
Conflicts of Interest
References
- Terekhin, E.A.; Chendev, Y.G. Satellite-derived spatiotemporal variations of forest cover in southern forest cover in Southern Forest-Steppe, the Central Russian Upland. Rus. J. For. Sci. 2019, 4, 257–265. [Google Scholar] [CrossRef]
- Lebedeva, M.G.; Krymskaya, O.V.; Chendev, Y.G. Changes in the atmospheric circulation conditions and regional climatic characteristics at the turn of XX-XXI centuries (on example of Belgorod Region). Belgorod State Univ. Sci. Bull. Nat. Sci. 2017, 40, 157–163. [Google Scholar]
- Kitov, M.V. Dynamics of areas abandoned grassland in the Belgorod Region of the period 1990–2010. Belgorod State Univ. Sci. Bull. Nat. Sci. 2015, 9, 92–101. [Google Scholar]
- Pärtel, M.; Helm, A. Invasion of woody species into temperate grasslands: Relationship with abiotic and biotic soil resource heterogeneity. J. Veg. Sci. 2007, 18, 63–70. [Google Scholar] [CrossRef]
- Van Auken, O.W. Causes and consequences of woody plant encroachment into western North American grasslands. J. Environ. Manag. 2009, 90, 2931–2942. [Google Scholar] [CrossRef] [PubMed]
- Widenmaier, K.J.; Strong, W.L. Tree and forest encroachment into fescue grasslands on the Cypress Hills plateau, southeast Alberta, Canada. For. Ecol. Manag. 2010, 259, 1870–1879. [Google Scholar] [CrossRef]
- Wessman, C.A.; Archer, S.; Johnson, L.C.; Asner, G.P. Woodland expansion in US grasslands. In Land Change Science; Springer: Dordrecht, The Netherlands, 2012; pp. 185–208. [Google Scholar] [CrossRef]
- Zalba, S.M.; Villamil, C.B. Woody plant invasion in relictual grasslands. Biol. Invasions 2002, 4, 55–72. [Google Scholar] [CrossRef]
- Chaneton, E.J.; Mazía, N.; Batista, W.B.; Rolhauser, A.G.; Ghersa, C.M. Woody plant invasions in Pampa grasslands: A biogeographical and community assembly perspective. In Ecotones between Forest and Grassland; Springer: New York, NY, USA, 2012; pp. 115–144. [Google Scholar] [CrossRef]
- Amodeo, M.R.; Zalba, S.M. Phenology of Prunus mahaleb, a fleshy fruited tree invading natural grasslands in Argentine pampas. In Biological Invasions: Patterns, Management and Economic Impacts; Waterman, R., Ed.; Nova Science Publishers: Hauppauge, NY, USA, 2015; pp. 121–141. [Google Scholar]
- Zolotareva, N.V.; Zolotarev, M.P. The phenomenon of forest invasion to steppe areas in the Middle Urals and its probable causes. Russ. J. Ecol. 2017, 48, 21–31. [Google Scholar] [CrossRef]
- Rochefort, R.M.; Little, R.L.; Woodward, A.; Peterson, D.L. Changes in sub-alpine tree distribution in western North America: A review of climatic and other causal factors. Holocene 1994, 4, 89–100. [Google Scholar] [CrossRef]
- Didier, L. Invasion patterns of European larch and Swiss stone pine in subalpine pastures in the French Alps. For. Ecol. Manag. 2001, 145, 67–77. [Google Scholar] [CrossRef]
- Halpern, C.B.; Antos, J.A.; Rice, J.M.; Haugo, R.D.; Lang, N.L. Tree invasion of a montane meadow complex: Temporal trends, spatial patterns, and biotic interactions. J. Veg. Sci. 2010, 21, 717–732. [Google Scholar] [CrossRef]
- Zald, H.S.; Spies, T.A.; Huso, M.; Gatziolis, D. Climatic, landform, microtopographic, and overstory canopy controls of tree invasion in a subalpine meadow landscape, Oregon Cascades, USA. Landsc. Ecol. 2012, 27, 1197–1212. [Google Scholar] [CrossRef]
- Kurbanov, E.; Vorobyov, O.; Gubayev, A.; Moshkina, L.; Lezhnin, S. Carbon sequestration after pine afforestation on marginal lands in the Povolgie region of Russia: A case study of the potential for a Joint Implementation activity. Scand. J. Forest Res. 2007, 22, 488–499. [Google Scholar] [CrossRef]
- Schepaschenko, D.G.; Shvidenko, A.Z.; Lesiv, M.Y.; Ontikov, P.V.; Shchepashchenko, M.V.; Kraxner, F. Estimation of forest area and its dynamics in Russia based on synthesis of remote sensing products. Contemp. Probl. Ecol. 2015, 8, 811–817. [Google Scholar] [CrossRef]
- Koroleva, N.V.; Tikhonova, E.V.; Ershov, D.V.; Saltykov, A.N.; Gavrilyuk, E.A.; Pugachevskii, A.V. Twenty-Five Years of Reforestation on Nonforest Lands in Smolenskoe Poozerye National Park According to Landsat Imagery Assessment. Contemp. Probl. Ecol. 2018, 11, 719–728. [Google Scholar] [CrossRef]
- Kurganova, I.N.; de Gerenyu, V.L.; Mostovaya, A.S.; Ovsepyan, L.A.; Telesnina, V.M.; Lichko, V.I.; Baeva, Y.I. Effect of reforestation on microbiological activity of postagrogenic soils in European Russia. Contemp. Probl. Ecol. 2018, 11, 704–718. [Google Scholar] [CrossRef]
- Estel, S.; Kuemmerle, T.; Alcántara, C.; Levers, C.; Prishchepov, A.; Hostert, P. Mapping farmland abandonment and recultivation across Europe using MODIS NDVI time series. Remote Sens. Environ. 2015, 163, 312–325. [Google Scholar] [CrossRef]
- Bartalev, S.A.; Plotnikov, D.E.; Loupian, E.A. Mapping of arable land in Russia using multi-year time series of MODIS data and the LAGMA classification technique. Remote Sens. Lett. 2016, 7, 269–278. [Google Scholar] [CrossRef]
- Yin, H.; Prishchepov, A.V.; Kuemmerle, T.; Bleyhl, B.; Buchner, J.; Radeloff, V.C. Mapping agricultural land abandonment from spatial and temporal segmentation of Landsat time series. Remote Sens. Environ. 2018, 210, 12–24. [Google Scholar] [CrossRef]
- Gusarov, A.V. The impact of contemporary changes in climate and land use/cover on tendencies in water flow, suspended sediment yield and erosion intensity in the northeastern part of the Don River basin, SW European Russia. Environ. Res. 2019, 175, 468–488. [Google Scholar] [CrossRef]
- Johnson, D.D.; Miller, R.F. Structure and development of expanding western juniper woodlands as influenced by two topographic variables. Forest Ecol. Manag. 2006, 229, 7–15. [Google Scholar] [CrossRef]
- Bahrani, M.J.; Yeganeh, M.; Heidari, B. Distribution of pistachio mutica F. & M. as influenced by topographical factors and soil properties in mountain areas of western Iran. Int. J. Ecol. Environ. Sci. 2010, 36, 37–43. [Google Scholar]
- De Waroux, Y.L.P.; Lambin, E.F. Monitoring degradation in arid and semi-arid forests and woodlands: The case of the argan woodlands (Morocco). Appl. Geogr. 2012, 32, 777–786. [Google Scholar] [CrossRef]
- Asadulaev, Z.M.; Anatov, D.M. Spatial structure of prunus armeniaca l. Populations in the arid woodlands of mountaineous dagestan. Arid Ecosyst. 2019, 25, 35–42. [Google Scholar] [CrossRef]
- Belgorod State National Research University. Geographical Atlas of the Belgorod Region: Nature, Society, Economy; Kornilov, A.G., Petin, A.N., Chendev, Y.G., Petina, V.I., Eds.; KONSTANTA: Belgorod, Russia, 2018. [Google Scholar]
- McKnight, T.L.; Hess, D. Climate Zones and Types. In Physical Geography: A Landscape Appreciation; Prentice Hal: Upper Saddle River, NJ, USA, 2000. [Google Scholar]
- Bulygina, O.N.; Razuvaev, V.N.; Trofimenko, L.T.; Shvets, N.V. Description of the Data Set of the Mean Monthly Air Temperature at Russian Stations. Available online: http://meteo.ru/data/156-temperature (accessed on 16 May 2020).
- Lisetskii, F.N.; Degtyar, A.V.; Buryak, Z.A.; Pavlyuk, Y.V.; Narozhnyaya, A.G.; Zemlyakova, A.V.; Marinina, O.A. Rivers and Water Bodies of Belogorye; KONSTANTA: Belgorod, Russia, 2015. [Google Scholar]
- Bulygina, O.N.; Razuvaev, V.N.; Korshunova, N.N.; Shvets, N.V. Description of the Data Array of Monthly Precipitation Totals at Russian Stations. Available online: http://meteo.ru/data/158-total-precipitation (accessed on 16 May 2020).
- Lisetskii, F.; Polshina, M.; Pichura, V.; Marinina, O. Climatic factor in long-term development of forest ecosystems. In Proceedings of the 17th International Multidisciplinary Scientific GeoConference SGEM, Albena, Bulgaria, 29 June–5 July 2017; pp. 765–774. [Google Scholar] [CrossRef]
- Chendev, Y.G.; Petin, A.N.; Serikova, E.V.; Kramchaninov, N.N. Degradation of geosystems in the Belgorod region as a result of the economic activities. Geogr. Nat. Resour. 2008, 29, 348–353. [Google Scholar] [CrossRef]
- Lisetsky, F.N. Soil-formation potential of forest stands under sands afforestation in forest-steppe and steppe environment. Lesn. Zhurnal For. J. 2008, 4, 13–20. [Google Scholar]
- Lisetskii, F.N.; Tokhtar, V.K.; Ostapko, V.M.; Prykhodko, S.A.; Petrunova, T.V. Regularities and features of differentiation and anthropogenic transformation of steppe vegetation. In Terrestrial Biomes: Geographic Distribution, Biodiversity and Environmental Threats; Nguyen, M., Ed.; Nova Science Publishers: Hauppauge, NY, USA, 2016; pp. 103–126. [Google Scholar]
- Terekhin, E.A. Changes in forest cover of ravines-balks network in the south of the Central Russian Upland in recent decades. Belgorod State Univ. Sci. Bull. Nat. Sci. 2018, 42, 223–230. [Google Scholar]
- Milkov, F.N. On the natural landscapes of the south of the Russian Plain. Proc. Russ. Acad. Sci. Geogr. Ser. 1995, 5, 5–18. [Google Scholar]
- Ryzhkov, O.V. Development of the geoinformational system of Central Chernozem reserve. InterCarto. InterGIS 2013, 19, 220–239. [Google Scholar] [CrossRef]
- Ryzhkov, O.V.; Ryzhkova, G.A. Using methods of geoinformation mapping for the study of woody vegetation of forest-steppe ecosystems the Central Chernozem reserve. For. Sci. Issues 2020, 3, 1–34. [Google Scholar] [CrossRef]
- Khare, S.; Dandriyal, A. Employing Open Source GIS (QGIS) for Retrieving and Generating Satellite Image. In Proceedings of the National Conference on Open Source GIS: Opportunities and Challenges, Varanasi, India, 9–10 October 2015; pp. 1–6. [Google Scholar]
- Clark, P.J.; Evans, F.C. Distance to nearest neighbor as a measure of spatial relationships in populations. Ecology 1954, 35, 445–453. [Google Scholar] [CrossRef]
- R Core Team. R: A Language and Environment for Statistical Computing; R Foundation for Statistical Computing: Vienna, Austria, 2020; Available online: https://www.R-project.org/ (accessed on 21 May 2020).
- Baddeley, A.; Rubak, E.; Turner, R. Spatial Point Patterns: Methodology and Applications with R; Chapman and Hall/CRC Press: London, UK, 2015. [Google Scholar] [CrossRef][Green Version]
- Buryak, Z.A.; Zelenskaya, E.Y.; Poletaev, A.O.; Tsybenko, V.V. System approach to soil protection and ecological arrangement of watersheds at the regional level, Belgorod oblast. Ecol. Environ. Conserv. 2019, 25, 219–228. [Google Scholar]
- Jelaska, S.D.; Antonić, O.; Nikolić, T.; Hršak, V.; Plazibat, M.; Križan, J. Estimating plant species occurrence in MTB/64 quadrants as a function of DEM-based variables—a case study for Medvednica Nature Park, Croatia. Ecol. Model. 2003, 170, 333–343. [Google Scholar] [CrossRef]
- Guisan, A.; Weiss, S.B.; Weiss, A.D. GLM versus CCA spatial modeling of plant species distribution. Plant Ecol. 1999, 143, 107–122. [Google Scholar] [CrossRef]
- Gallant, J.C.; Wilson, J.P. Primary topographic attributes. In Terrain Analysis: Principles and Applications; Wilson, J.P., Gallant, J.C., Eds.; Wiley: New York, NY, USA, 2000; pp. 51–85. [Google Scholar]
- Jenness, J.; Brost, B.; Beier, P. Land Facet Corridor Designer: Extension for ArcGIS. Jenness Enterprises. 2013. Available online: http://www.jennessent.com/downloads/Land_Facet_Tools.pdf (accessed on 21 May 2020).
- De Reu, J.; Bourgeois, J.; Bats, M.; Zwertvaegher, A.; Gelorini, V.; De Smedt, P.; Chu, W.; Antrop, M.; De Maeyer, P.; Finke, P.; et al. Application of the topographic position index to heterogeneous landscapes. Geomorphology 2013, 186, 39–49. [Google Scholar] [CrossRef]
- Olaya, V.; Conrad, O. Geomorphometry in SAGA. Dev. Soil Sci. 2009, 33, 293–308. [Google Scholar] [CrossRef]
- Yokoyama, R.; Shirasawa, M.; Rike, R.J. Visualizing topography by openness: A new application of image processing to digital elevation models, Photogram. Eng. Remote Sens. 2002, 68, 257–265. [Google Scholar]
- Riley, S.J.; DeGloria, S.D.; Elliot, R. A terrain ruggedness index that quantifies topographic heterogeneity. Intermt. J. Sci. 1999, 5, 23–27. [Google Scholar]
- Lebedeva, M.G.; Lupo, A.R.; Chendev, Y.G.; Krymskaya, O.V.; Solovyev, A.B. Changes in the atmospheric circulation conditions and regional climatic characteristics in two remote regions since the mid-20th century. Atmosphere 2019, 10, 11. [Google Scholar] [CrossRef]
- Nadaraya, E.A. On Estimating Regression. Theory Probab. Appl. 1964, 9, 141–142. [Google Scholar] [CrossRef]
- Watson, G.S. Smooth regression analysis. Sankhyā Indian J. Stat. Ser. A. 1964, 26, 359–372. [Google Scholar]
- Diggle, P.J. A kernel method for smoothing point process data. Appl. Stat. J. R. Stat. Soc. Ser. C 1985, 34, 138–147. [Google Scholar] [CrossRef]
- Meentemeyer, R.K.; Tang, W.; Dorning, M.A.; Vogler, J.B.; Cunniffe, N.J.; Shoemaker, D.A. FUTURES: Multilevel simulations of emerging urban–rural landscape structure using a stochastic patch-growing algorithm. Ann. Assoc. Am. Geogr. 2013, 103, 785–807. [Google Scholar] [CrossRef]
- Du, S.; Xiong, Z.; Wang, Y.C.; Guo, L. Quantifying the multilevel effects of landscape composition and configuration on land surface temperature. Remote Sens. Environ. 2016, 178, 84–92. [Google Scholar] [CrossRef]
- Ricart, A.M.; Sanmartí, N.; Pérez, M.; Romero, J. Multilevel assessments reveal spatially scaled landscape patterns driving coastal fish assemblages. Mar. Environ. Res. 2018, 140, 210–220. [Google Scholar] [CrossRef]
- Khoroshev, A.V. Analyzing Vegetation–Soil–Topography Relationships of Landscapes: A Multiscale Geosystem Approach and Its Application. In Current Trends in Landscape Research; Springer: Cham, Switzerland, 2019; pp. 233–251. [Google Scholar]
- Khoroshev, A.V. Multiscale Analysis of Landscape Structure. In Landscape Patterns in a Range of Spatio-Temporal Scales; Springer: Cham, Switzerland, 2020; pp. 235–255. [Google Scholar]
- Spearman, C. The proof and measurement of association between two things. Am. J. Psychol. 1904, 15, 72–101. [Google Scholar] [CrossRef]
- Shapiro, S.S.; Wilk, M.B. An analysis of variance test for normality (complete samples). Biometrika 1965, 52, 591–611. [Google Scholar] [CrossRef]
- Yevchenko, Y.N. The factors influencing stability and productivity of oak-groves. Proc. Voronezh State Univ. Ser. Geogr. Geoecology 2007, 2, 103–115. [Google Scholar]
- Lapena, D.R.; Martz, L.W. An investigation of the spatial association between snow depth and topography in a Prairie agricultural landscape using digital terrain analysis. J. Hydrol. 1996, 184, 277–298. [Google Scholar] [CrossRef]
- Bennie, J.; Huntley, B.; Wiltshire, A.; Hill, M.O.; Baxter, R. Slope, aspect and climate: Spatially explicit and implicit models of topographic microclimate in chalk grassland. Ecol. Model. 2008, 216, 47–59. [Google Scholar] [CrossRef]
- Sulebak, J.R.; Tallaksen, L.M.; Erichsen, B. Estimation of areal soil moisture by use of terrain data. Geogr. Ann. Ser. A Phys. Geogr. 2000, 82, 89–105. [Google Scholar] [CrossRef]





| Characteristics | Units | Source of Initial Data for Development | Software for Initial Data Processing | Development Description |
|---|---|---|---|---|
| Relief characteristics | ||||
| Absolute height | m | DEM from the paper by Buryak et al., 2019 [45] | ArcGIS | Ready-made DEM was used |
| Slope | degree | ArcGIS | Slope raster were acquired in ArcGIS 10.5 using standard Spatial Analyst tools. | |
| Aspect | - | ArcGIS | The slope exposure (aspect) was converted to cosine for further use in statistical analysis. The analysis methods we used are designed to work with continuous data, while the aspect is circular data. Cosine transform allows creating the continuous data from circular data [46]. To do this, first an aspect raster with values in degrees was created in ArcGIS 10.5 software. Then, the aspect values were converted into radians using the Map Algebra tool, and the cosine of these values was calculated. The aspect cosine ranges from 1.0 for north to −1.0 for south. It shows how much the real value of the aspect differs from the north aspect. Therefore, the aspect cosine is called “northness” [47]. | |
| TPI | - | ArcGIS and Land Facet Corridor [49] | The topographic position index (TPI) indicates which part of the slope a point is located in [48]. Positive index values indicate a position above the midpoint of the slope, negative values below the midpoint of the slope. The TPI is calculated as the difference between the height of a point and the average height in a certain search radius [50]. A search radius of 1000 m was used to calculate the TPI. The TPI was calculated in a standardized way; that is, it divided by the standard deviation of heights in the search radius. | |
| Profile curvature | m−1 | Profile curvature raster were acquired in ArcGIS 10.5 using standard spatial analyst tools. | ||
| MPI | - | SAGA [51] | The algorithm analyzes the immediate surroundings of each DEM pixel in a given search radius and estimates how much the relief protects this point from the surrounding terrain. This is equivalent to positive openness [52]. The MPI was also calculated with a search radius of 1000 m. | |
| TRI | - | SAGA [51] | TRI shows how large a difference in elevation is observed at a particular point in the terrain. It was calculated by determining the difference in heights between a specific DEM pixel and its eight immediate neighbors (the calculation was carried out in a sliding window of 3 × 3 pixels). Then the mean of these differences squares was calculated. The square root of this mean is the TRI [53]. | |
| Width of small dry valleys | m | Mosaics of space images from ESRI World Imagery | ArcGIS | The small dry valley width was measured directly at those locations of the sites where the trees were vectorized. For this, a linear layer was created in which lines were drawn across small dry valleys: the lines were drawn from edge to edge, crossing the site. The small dry valley widths were calculated as the lengths of these lines. The geometry calculation tool in the layer’s attribute table was used for this. The small dry valley depths were measured as the difference between the minimal (along the thalweg line) and maximal heights within this line. For this purpose, such an indicator of zonal statistics as range of values was extracted from the DEM along the line using ArcGIS 10.5 software. |
| Depth of small dry valleys | m | ArcGIS | ||
| Non-topographic features | ||||
| Hydrothermal index (HTI) | - | Lebedeva et al., 2019 [54] | ArcGIS | A raster was interpolated along the contour lines plotted by the authors. Zonal statistical values extracted from the raster. |
| A distance to the nearest windbreaks or forest | km | The layer of forests (authors data) The layer of windbreaks (authors data) | ArcGIS | The nearest object standard tool used. |
| The area of the nearest forest | ha | The layer of forests (authors data) | ArcGIS | The nearest object standard tool used. |
| Density of windbreaks | km/km2 | The layer of windbreaks (authors data) | ArcGIS | The density of windbreaks was calculated for the Thiessen polygons constructed around the sites |
| Share of unused pastures and hayfields split by municipalities | % | Kitov, 2015 [3] | ArcGIS | Values to be taken from WMS available layer https://qgiscloud.com/deppriroda/cons/wms |
| Search Radius, km | Minimum | Mean | Median | Maximum | Standard Deviation |
|---|---|---|---|---|---|
| 0 | 21.00 | 111.15 | 99.00 | 415.00 | 62.70 |
| 5 | 40.20 | 115.19 | 106.86 | 370.51 | 46.74 |
| 10 | 49.82 | 112.33 | 107.49 | 206.02 | 26.53 |
| 15 | 61.23 | 112.46 | 107.29 | 165.75 | 19.93 |
| 20 | 75.81 | 112.78 | 108.31 | 154.28 | 16.28 |
| 25 | 82.80 | 112.92 | 110.57 | 146.11 | 13.37 |
| 30 | 88.77 | 112.99 | 113.09 | 138.10 | 10.97 |
| 35 | 93.89 | 113.01 | 113.08 | 130.99 | 9.05 |
| 40 | 97.30 | 112.00 | 113.07 | 127.50 | 7.56 |
| 45 | 99.06 | 112.95 | 112.82 | 125.65 | 6.41 |
| 50 | 100.56 | 112.88 | 112.96 | 123.92 | 5.53 |
| Relief Variables | Height | Slope | Northness | TPI | Small Dry Valley Width | Small Dry Valley Depth | TRI | MPI | Profile Curvature |
|---|---|---|---|---|---|---|---|---|---|
| Height | 1.00 | −0.22 | −0.28 | 0.47 | −0.21 | −0.29 | −0.23 | −0.38 | −0.21 |
| Slope | −0.22 | 1.00 | 0.27 | −0.03 | 0.35 | 0.55 | 0.99 | 0.46 | −0.22 |
| Northness | −0.28 | 0.27 | 1.00 | −0.19 | 0.25 | 0.29 | 0.27 | 0.18 | 0.06 |
| TPI | 0.47 | −0.03 | −0.19 | 1.00 | −0.08 | −0.21 | −0.05 | −0.62 | −0.60 |
| Small dry valley width | −0.21 | 0.35 | 0.25 | −0.08 | 1.00 | 0.75 | 0.33 | 0.21 | −0.21 |
| Small dry valley depth | −0.29 | 0.55 | 0.29 | −0.21 | 0.75 | 1.00 | 0.55 | 0.42 | −0.11 |
| TRI | −0.23 | 0.99 | 0.27 | −0.05 | 0.33 | 0.55 | 1.00 | 0.51 | −0.18 |
| MPI | −0.38 | 0.46 | 0.18 | −0.62 | 0.21 | 0.42 | 0.51 | 1.00 | 0.60 |
| Profile curvature | −0.21 | −0.22 | 0.06 | −0.60 | −0.21 | −0.11 | −0.18 | 0.60 | 1.00 |
Publisher’s Note: MDPI stays neutral with regard to jurisdictional claims in published maps and institutional affiliations. |
© 2020 by the authors. Licensee MDPI, Basel, Switzerland. This article is an open access article distributed under the terms and conditions of the Creative Commons Attribution (CC BY) license (http://creativecommons.org/licenses/by/4.0/).
Share and Cite
Ukrainskiy, P.; Terekhin, E.; Gusarov, A.; Zelenskaya, E.; Lisetskii, F. The Influence of Relief on the Density of Light-Forest Trees within the Small-Dry-Valley Network of Uplands in the Forest-Steppe Zone of Eastern Europe. Geosciences 2020, 10, 420. https://doi.org/10.3390/geosciences10110420
Ukrainskiy P, Terekhin E, Gusarov A, Zelenskaya E, Lisetskii F. The Influence of Relief on the Density of Light-Forest Trees within the Small-Dry-Valley Network of Uplands in the Forest-Steppe Zone of Eastern Europe. Geosciences. 2020; 10(11):420. https://doi.org/10.3390/geosciences10110420
Chicago/Turabian StyleUkrainskiy, Pavel, Edgar Terekhin, Artyom Gusarov, Eugenia Zelenskaya, and Fedor Lisetskii. 2020. "The Influence of Relief on the Density of Light-Forest Trees within the Small-Dry-Valley Network of Uplands in the Forest-Steppe Zone of Eastern Europe" Geosciences 10, no. 11: 420. https://doi.org/10.3390/geosciences10110420
APA StyleUkrainskiy, P., Terekhin, E., Gusarov, A., Zelenskaya, E., & Lisetskii, F. (2020). The Influence of Relief on the Density of Light-Forest Trees within the Small-Dry-Valley Network of Uplands in the Forest-Steppe Zone of Eastern Europe. Geosciences, 10(11), 420. https://doi.org/10.3390/geosciences10110420

