Prospective Study on the Excretion of Mucous Stools and its Association with Age, Gender, and Feces Output in Captive Giant Pandas
Simple Summary
Abstract
1. Introduction
2. Materials and Methods
2.1. Subjects and Management
2.2. Experimental Design
2.2.1. Fecal and Mucus Stool Samples Collection
2.2.2. Statistics
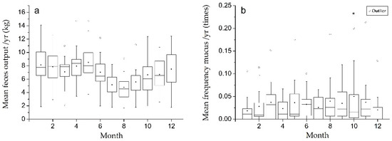
3. Results
4. Discussion
5. Conclusions
Supplementary Materials
Author Contributions
Funding
Acknowledgments
Conflicts of Interest
References
- Boness, D.J.; Allen, M.E.; Oftedal, O.T.; Holdem, M.M. The effects of dry dog food on the stool condition of spectacled bears, Tremarcto ornatus. In Proceedings of the Abstracts of the Annual Meeting of the American Association of Zoo Veterinarians, Scottsdale, AZ, USA, 5–10 October 1985; p. 83. [Google Scholar]
- Glatston, A.R. Red Panda: Biology and Conservation of the First Panda; Academic Press: London, UK, 2010; p. 474. [Google Scholar]
- Mainka, S.A.; Guanlu, Z.; Mao, L. Utilization of a bamboo, sugar-cane, and gruel diet by two juvenile giant pandas (Ailuropoda Melanoleuca). J. Zoo Wildl. Med. 1989, 20, 39–44. [Google Scholar]
- Williams, C.L.; Dill-McFarland, K.A.; Vandewege, M.W.; Sparks, D.L.; Willard, S.T.; Kouba, A.J.; Suen, G.; Brown, A.E. Dietary Shifts May Trigger Dysbiosis and Mucous Stools in Giant Pandas (Ailuropoda melanoleuca). Front. Microbiol. 2016, 7. [Google Scholar] [CrossRef] [PubMed]
- Zhu, B.; Guo, W. Preliminary study on the relationship between the sticking of giant pandas and the amount of bamboo in captivity (in Chinese). Chin. J. Zool. 1999, 34, 35. [Google Scholar]
- Nickley, J.K.; Edwards, M.S.; Bray, R.E. The effect of bamboo intake on faecal consistency in giant pandas (Ailuropoda melanoleuca). In AZA Nutrition Advisory Group 3rd Conference; AZA Nutrition Advisory Group: Columbus, OH, USA, 1999; pp. 46–50. [Google Scholar]
- Ellis, S.; Zhang, A.; Zhang, H.; Zhang, J.; Zhang, Z.; Lam, M.; Edwards, M.; Howard, J.; Janssen, D.; Miller, E.; et al. Biomedical survey of captive giant pandas-A catalyst for conservation partnerships in China. In Giant Pandas: Biology and Conservation; Lindburg, D., Baragona, K., Eds.; University of California Press: Berkeley, CA, USA, 2004; pp. 250–263. [Google Scholar]
- News conference on the 4th National Survey of the Giant Panda. Available online: www.greentimes.com/green/news/special/zgysdzw/2016-01/14/content_327324.htm (accessed on 10 May 2019).
- Xie, Z. The 2018 International Studbook for Giant Panda; Chinese Association of Zoological Gardens: Beijing, China, 2018. [Google Scholar]
- Zhang, G. (China Conservation and Research Center for the Giant Panda, Wolong, Sichuan, China). Personal communication, 2005.
- Liu, X.; Li, M.; Zhang, Z.; Yu, J.; Huang, X. Preliminary observations on mucous excretion in the giant panda. Acta Theriol. Sin. 2006, 26, 206–210. [Google Scholar]
- Schaller, G.B.; Jinchu, H.; Wenshi, P.; Jing, Z. The Giant Pandas of Wolong; University of Chicago Press: Chicago, IL, USA, 1985. [Google Scholar]
- Li, R.; Fan, W.; Tian, G.; Zhu, H.; He, L.; Cai, J.; Huang, Q.; Cai, Q.; Li, B.; Bai, Y.; et al. The sequence and de novo assembly of the giant panda genome. Nature 2010, 463, 311–317. [Google Scholar] [CrossRef] [PubMed]
- Zhu, L.; Wu, Q.; Dai, J.; Zhang, S.; Wei, F. Evidence of cellulose metabolism by the giant panda gut microbiome. Proc. Natl. Acad. Sci. USA 2011, 108, 17714–17719. [Google Scholar] [CrossRef] [PubMed]
- Ruan, S.; Yong, Y. Observations on feeding and search for food of giant panda in the wild. J. Wildl. 1983, 1, 5–8. (In Chinese) [Google Scholar]
- Yong, Y. The preliminary observations on giant panda in Foping Natural Reserve. J. Wildl. 1981, 4, 10–16. (In Chinese) [Google Scholar]
- Dierenfeld, E.S.; Qiu, X.M.; Mainka, S.A.; Liu, W.X. Giant panda diets fed in 5 Chinese facilities—An assessment. Zoo Biol. 1995, 14, 211–222. [Google Scholar] [CrossRef]
- Brown, J.L.; Citino, S.B.; Shaw, J.; Miller, C. Endocrine profiles during the estrous cycle and pregnancy in the Baird’s tapir (Tapirus bairdii). Zoo Biol. 1994, 13, 107–117. [Google Scholar] [CrossRef]
- State Forestry Administry of People’s Republic of China. Technical Regulation of Husbandry and Management of the Giant Panda; 65.020.30; State Forestry Administration: Beijing, China, 2012; p. 20.
- Wang, P.; Li, D. Husbandry of Giant Pandas; China Forestry Publishing House: Beijing, China, 2003; p. 176. [Google Scholar]
- Lindburg, D.G.; Baragona, K. Giant Pandas: Biology and Conservation; University of California Press: Berkeley, CA, USA, 2004; pp. 250–263. [Google Scholar]
- Nickley, J.K. Nutrient Composition of Bamboos Fed to Captive Giant Pandas (Ailuropoda melanoleuca) and the Relationship between Bamboo Intake and Fecal Consistency; California Polytechnical University: Pomona, CA, USA, 2001. [Google Scholar]
- Parsons, J.L. Bamboo Nutritional Composition, Biomass Production, and Palatability to Giant Pandas: Disturbance and Temporal Effects; Mississippi State University: Starkville, MS, USA, 2013. [Google Scholar]
- Knott, K.K.; Christian, A.L.; Falcone, J.F.; Vance, C.K.; Bauer, L.L.; Fahey, G.C.; Kouba, A.J. Phenological changes in bamboo carbohydrates explain the preference for culm over leaves by giant pandas (Ailuropoda melanoleuca) during spring. PLoS ONE 2017, 12. [Google Scholar] [CrossRef] [PubMed]
- Hansen, R.L.; Carr, M.M.; Apanavicius, C.J.; Jiang, P.; Bissell, H.A.; Gocinski, B.L.; Maury, F.; Himmelreich, M.; Beard, S.; Ouellette, J.R.; et al. Seasonal Shifts in Giant Panda Feeding Behavior: Relationships to Bamboo Plant Part Consumption. Zoo Biol. 2010, 29, 470–483. [Google Scholar] [CrossRef] [PubMed]


| Correlation Structure | Exchangeable |
|---|---|
| Subject Effect | Name (18 levels) |
| Number of Clusters | 18 |
| Correlation Matrix Dimension | 5167 |
| Maximum Cluster Size | 5167 |
| Minimum Cluster Size | 280 |
| Parameter | Estimate | Standard Error | 95% Confidence Limits | Odds Ratio | Z | p Value | |
|---|---|---|---|---|---|---|---|
| Intercept | −3.2947 | 0.3718 | −4.0233 | −2.5660 | - | −8.86 | <0.0001 |
| Gender | −0.6151 | 0.8157 | −2.2138 | 0.9835 | 0.3509 | −0.75 | 0.4508 |
| Age | 0.0589 | 0.0147 | −0.0301 | 0.0876 | 0.5147 | 4.02 | <0.0001 |
| Feces | −0.1134 | 0.0275 | −0.1674 | −0.0594 | 0.4717 | −4.12 | <0.0001 |
| Month | Mucus Occurrence | Fecal Output |
|---|---|---|
| January | −0.0075 | 1.475 |
| February | −0.0037 | 0.975 |
| March | 0.0031 | −0.106 |
| April | −0.0022 | 0.341 |
| May | 0.0044 | 1.214 |
| June | −0.0082 | 0.325 |
| July | 0.0068 | −1.673 |
| August | 0.0126 * | −2.261 * |
| September | −0.0012 | −1.215 |
| October | 0.0068 | 0.066 |
| November | 0.0074 | 0.067 |
| December | −0.0048 | 0.792 |
© 2019 by the authors. Licensee MDPI, Basel, Switzerland. This article is an open access article distributed under the terms and conditions of the Creative Commons Attribution (CC BY) license (http://creativecommons.org/licenses/by/4.0/).
Share and Cite
Li, Z.; Liu, X.; Zhao, J.; Liu, Y.; Xu, H.; Li, C.; Ma, T.; Wang, B.; Lu, Y.; Padalino, B.; et al. Prospective Study on the Excretion of Mucous Stools and its Association with Age, Gender, and Feces Output in Captive Giant Pandas. Animals 2019, 9, 264. https://doi.org/10.3390/ani9050264
Li Z, Liu X, Zhao J, Liu Y, Xu H, Li C, Ma T, Wang B, Lu Y, Padalino B, et al. Prospective Study on the Excretion of Mucous Stools and its Association with Age, Gender, and Feces Output in Captive Giant Pandas. Animals. 2019; 9(5):264. https://doi.org/10.3390/ani9050264
Chicago/Turabian StyleLi, Zixiang, Xuefeng Liu, Juan Zhao, Yanhui Liu, Haihong Xu, Changqing Li, Tao Ma, Bo Wang, Yanping Lu, Barbara Padalino, and et al. 2019. "Prospective Study on the Excretion of Mucous Stools and its Association with Age, Gender, and Feces Output in Captive Giant Pandas" Animals 9, no. 5: 264. https://doi.org/10.3390/ani9050264
APA StyleLi, Z., Liu, X., Zhao, J., Liu, Y., Xu, H., Li, C., Ma, T., Wang, B., Lu, Y., Padalino, B., & Liu, D. (2019). Prospective Study on the Excretion of Mucous Stools and its Association with Age, Gender, and Feces Output in Captive Giant Pandas. Animals, 9(5), 264. https://doi.org/10.3390/ani9050264

