Stakeholder Perceptions of Threatened Species and Their Management on Urban Beaches
Simple Summary
Abstract
1. Introduction
2. Methods
2.1. Sample
2.2. Data Analysis
3. Results
3.1. Characterising Inconvenience
| Type of CA | Conservation Actions (CA) | 95% confidence intervals | N |
|---|---|---|---|
| OG | 1. Control of introduced pests such as foxes and feral cats. | 4.79–4.85 | 573 |
| OG | 2. Wooden chick shelters placed along the beach as refuges for chicks to run and hide in when disturbed. | 4.75–4.81 | 571 |
| OG | 3. Temporary notices at the beach (alerting me to nests/chicks on the beach). | 4.74–4.80 | 571 |
| OG | 4. Signs around the nesting site (these are placed 50–100 m apart around the nesting area, on the beach above the high-tide mark, to delineate the area you are not allowed to use). | 4.73–4.79 | 571 |
| RG | 5. Enforcement of regulations. | 4.70–4.77 | 571 |
| RG | 6. Dune boarding prohibited. | 4.69–4.76 | 572 |
| ED | 7. Interpretive signs at the beach. | 4.68–4.74 | 571 |
| OG | 8. Temporarily fencing off the nesting area (this is usually a 50–100 m section of beach that you are restricted from using but can walk past along the water’s edge). | 4.64–4.71 | 571 |
| ED | 9. Ranger patrols (rangers give warnings and educational messages for all first offenders). | 4.61–4.69 | 568 |
| RG | 10. Horses prohibited. | 4.52–4.60 | 572 |
| ED | 11. Face-to-face education. | 4.48–4.56 | 570 |
| RG | 12. Dogs allowed, but on leashes only during the breeding season. | 4.28–4.38 | 572 |
| RG | 13. Dogs prohibited during the breeding season. | 4.26–4.37 | 571 |
| OG | 14. Closure of an access path that enters the beach close to a nesting area for the 63 days it takes to nest and raise a chick. | 4.10–4.20 | 571 |
| OG | 15. Permanently fencing off the dunes. | 4.02–4.13 | 570 |
| Question | Factor (Cronbach’s α;
Percentage of variance explained) | Items included in factor (table reference for item descriptions) | Mean factor score (± s.e.) |
|---|---|---|---|
| How serious you think each threat is? | Human-related impacts (0.879; 41.381) | 1, 3, 4, 6, 7, 9, 12 (Table 3) | 4.18 ± 0.04 |
| Integrity of habitat (0.746, 11.967) | 5, 8, 10, 11, 13 (Table 3) | 3.90 ± 0.04 | |
| Tides and predators + (0.385, 7.630) | 2, 14 (Table 3) | 3.86 ± 0.04 | |
| How effective do you think these conservation strategies would be at helping the birds? | Education/Awareness (0.909, 33.429) | 12, 14, 16, 17, 19, 20, 21, 22, 23 (Table 4) | 3.38 ± 0.04 |
| Nest protection (0.819, 10.592) | 6, 9, 13, 15 (Table 4) | 3.91 ± 0.04 | |
| Regulations (0.780, 7.781) | 1, 3, 4, 5, 11 (Table 4) | 4.25 ± 0.03 | |
| Exclusion (0.519, 4.895) | 8, 10 (Table 4) | 4.02 ± 0.04 | |
| To what degree would these conservation strategies impact you? | On-ground protection (0.938, 53.132) | 1, 2, 3, 4, 5, 6, 7, 8, 9, 11 (Table 1) | 4.71 ± 0.03 |
| Exclusion and regulations (0.741, 9.472) | 10, 13, 14, 15 (Table 1) | 4.27 ± 0.04 | |
| Do you think saving the Hooded Plover is important? | Ecosystem benefits (0.844, 50.661) | 1, 2, 3 (Table 5) | 4.58 ± 0.03 |
| Single species benefits (0.633, 25.152) | 4, 5 (Table 5) | 3.38 ± 0.04 |
3.2. Characterising Awareness
3.3. Characterising Perceptions of Threats and Management

| Threats | 95% confidence intervals | N |
|---|---|---|
| 1. People or dogs disturbing adults from sitting on eggs. | 4.51–4.57 | 572 |
| 2. Predators, such as foxes, ravens and hawks, eating eggs and chicks. | 4.44–4.51 | 575 |
| 3. Dogs chasing the birds and chicks on the beach. | 4.41–4.49 | 575 |
| 4. People or dogs disturbing chicks from feeding. | 4.38–4.46 | 567 |
| 5. Loss of habitat. | 4.31–4.40 | 572 |
| 6. Dogs crushing eggs when running on the beach/dunes. | 4.12–4.21 | 569 |
| 7. People stepping on eggs when walking on the upper beach. | 4.03–4.12 | 572 |
| 8. People stepping on eggs when walking in the dunes. | 3.90–4.00 | 574 |
| 9. People sitting or sunbaking close to the nest. | 3.87–3.95 | 574 |
| 10. Vehicles on beaches. | 3.83–3.93 | 569 |
| 11. Erosion of the dunes. | 3.61–3.70 | 572 |
| 12. Horses on beaches. | 3.55–3.65 | 570 |
| 13. Beach pollution. | 3.38–3.48 | 573 |
| 14. Natural threats, such as high tides and storms. | 3.17–3.27 | 573 |
| Type of CA | Conservation Action (CA) | 95% confidence intervals | N |
|---|---|---|---|
| RG | 1. Enforcement of regulations. | 4.58–4.65 | 570 |
| OG | 2. Control of introduced pests such as foxes and feral cats. | 4.34–4.41 | 572 |
| RG | 3. Dune boarding prohibited. | 4.31–4.40 | 570 |
| RG | 4. Dogs prohibited during the breeding season. | 4.18–4.27 | 569 |
| ED | 5. Ranger patrols. | 4.11–4.19 | 568 |
| OG | 6. Temporarily fencing off the nesting area (this is usually a 50–100 m section of beach that you are restricted from using but can walk past along the water’s edge). | 4.06–4.15 | 568 |
| OG | 7. Wooden chick shelters placed along the beach as refuges for chicks to run and hide in when disturbed. | 4.02–4.11 | 567 |
| OG | 8. Closure of an access path that enters the beach close to a nesting area for the 63 days it takes to nest and raise a chick. | 3.99–4.08 | 569 |
| OG | 9. Signs around the nesting site (these are placed 50–100 m apart around the nesting area, on the beach above the high-tide mark, to delineate the area you are not allowed to use). | 3.96–4.05 | 571 |
| OG | 10. Permanently fencing off the dunes. | 3.94–4.04 | 569 |
| RG | 11. Horses prohibited. | 3.88–3.98 | 570 |
| ED | 12. Face-to-face education. | 3.87–3.96 | 570 |
| OG | 13. Temporary notices at the beach (info. about current nests/chicks on the beach). | 3.74–3.82 | 572 |
| ED | 14. Awareness raising events such as coastal beach walks or ‘dogs breakfasts’ to learn about the birds. | 3.68–3.76 | 569 |
| ED | 15. Interpretive signs at the beach. | 3.66–3.76 | 569 |
| ED | 16. Newspaper/magazine articles. | 3.44–3.53 | 570 |
| ED | 17. Brochures about the birds. | 3.42–3.51 | 569 |
| RG | 18. Dogs allowed, but on leashes only during the breeding season. | 3.38–3.49 | 571 |
| ED | 19. Local radio. | 3.33–3.42 | 569 |
| ED | 20. Email updates to alert you to nests in your local area. | 3.14–3.24 | 566 |
| ED | 21. Free merchandise such as calendars/bookmarks/stickers to promote the birds. | 3.06–3.15 | 563 |
| ED | 22. Website information such as the BirdLife Australia webpage. | 3.04–3.14 | 566 |
| ED | 23. Facebook, Myspace or Twitter. | 2.89–2.99 | 561 |
| Statement | 95% confidence intervals | N |
|---|---|---|
| 1. It is a unique Australian animal and is important to coastal biodiversity. | 4.63–4.70 | 519 |
| 2. People need to reduce their “ecological footprint” and learn to modify their behaviour. | 4.54–4.61 | 518 |
| 3. Signing and fencing are relatively cheap and effective managements. | 4.44–4.52 | 516 |
| 4. This is an important Australian species under threat. | 3.01–3.13 | 519 |
| 5. The onus should not be on the bird to lay its eggs in safer places. | 3.66–3.74 | 516 |
3.4. Characterising Frequency of Beach Use and Dog Walking
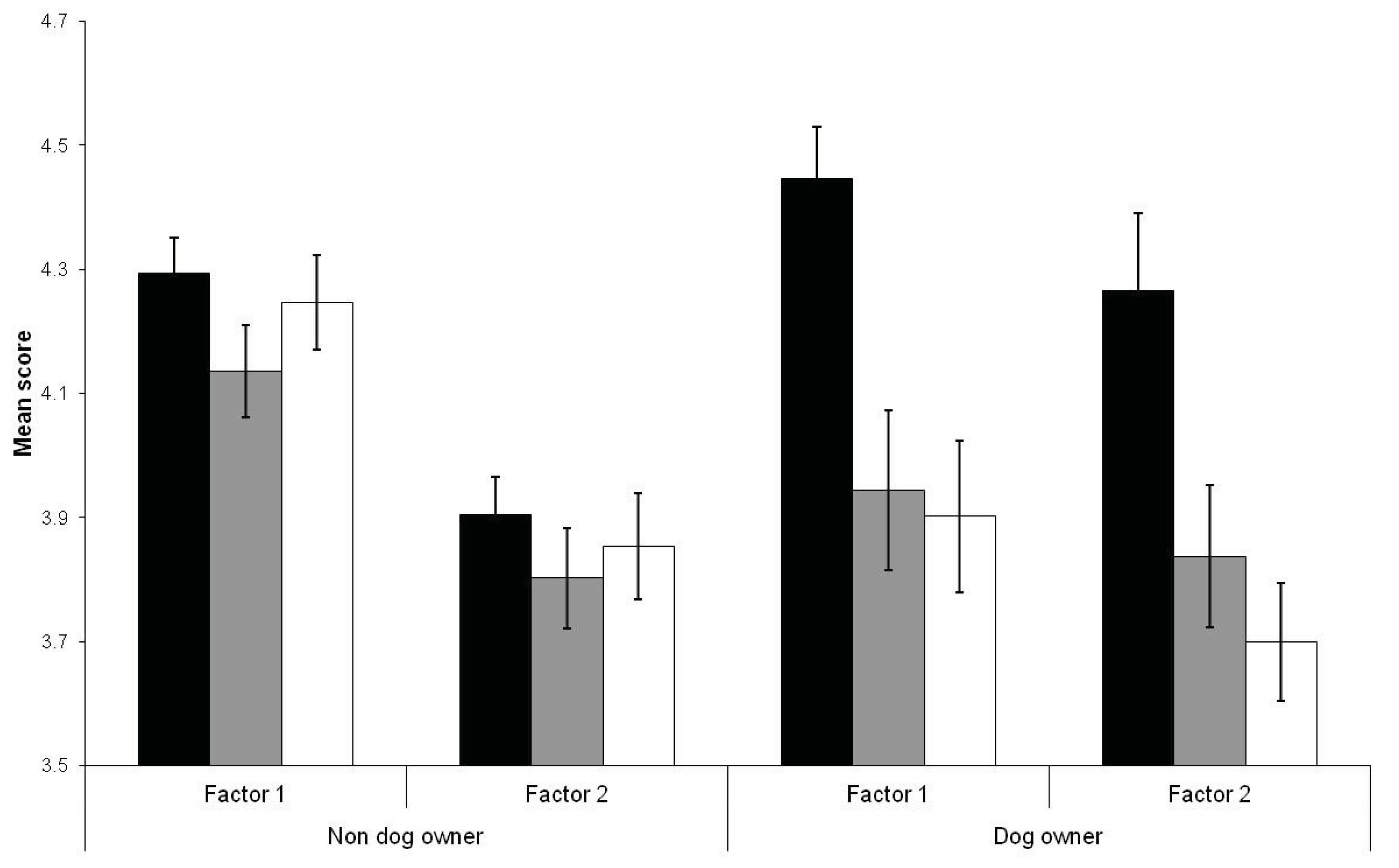
3.5. Inconvenience, Awareness and Perceptions of Threats and Management
| Question | Factor | Convenience factor 1: on-ground works | Convenience factor 2: regulations and exclusion | Aware HP |
|---|---|---|---|---|
| Threats | Human related-impacts | F = 5.044, | F = 23.947, | F = 20.837, |
| (r2 = 0.178) | p = 0.025 ** (+) | p < 0.001 ** (+) | p < 0.001 ** | |
| Integrity of habitat | F = 3.512, | F = 11.924, | F = 0.821, | |
| (r2 = 0.072) | p = 0.062 * (+) | p = 0.001 ** (+) | p = 0.365 | |
| Effectiveness actions | Education/Awareness | F = 20.552, | F = 0.555, | F = 0.454, |
| (r2 = 0.071) | p < 0.001 ** (+) | p = 0.456 | p = 0.501 | |
| Nest protection | F = 19.225, | F = 10.565, | F = 0.351, | |
| (r2 = 0.033) | p < 0.001 ** | p = 0.001 ** | p = 0.554 | |
| Regulations | F = 2.109, | F = 31.992, | F = 0.456, | |
| (r2 = 0.121) | p = 0.147 | p < 0.001 ** | p = 0.500 | |
| Exclusions | F = 13.251, | F = 97.852, | F = 4.741, | |
| (r2 = 0.179) | p < 0.001 ** (+) | p < 0.001 ** (+) | p = 0.030 ** | |
| Convenience | On-ground protection | N/A | N/A | F = 13.355, |
| (r2=N/A) | p < 0.001 ** | |||
| Exclusion and regulations | N/A | N/A | F = 9.924, | |
| (r2=N/A) | p = 0.002 ** | |||
| Support for conservation | Ecosystem benefits | F = 7.409, | F = 0.113, | F = 0.533, |
| (r2 = 0.018) | p = 0.007 ** (+) | p = 0.736 | p = 0.466 | |
| Single species benefits | F = 9.506, | F = 0.234, | F = 2.686, | |
| (r2 = 0.029) | p = 0.002 ** (−) | p = 0.629 | p = 0.102 |
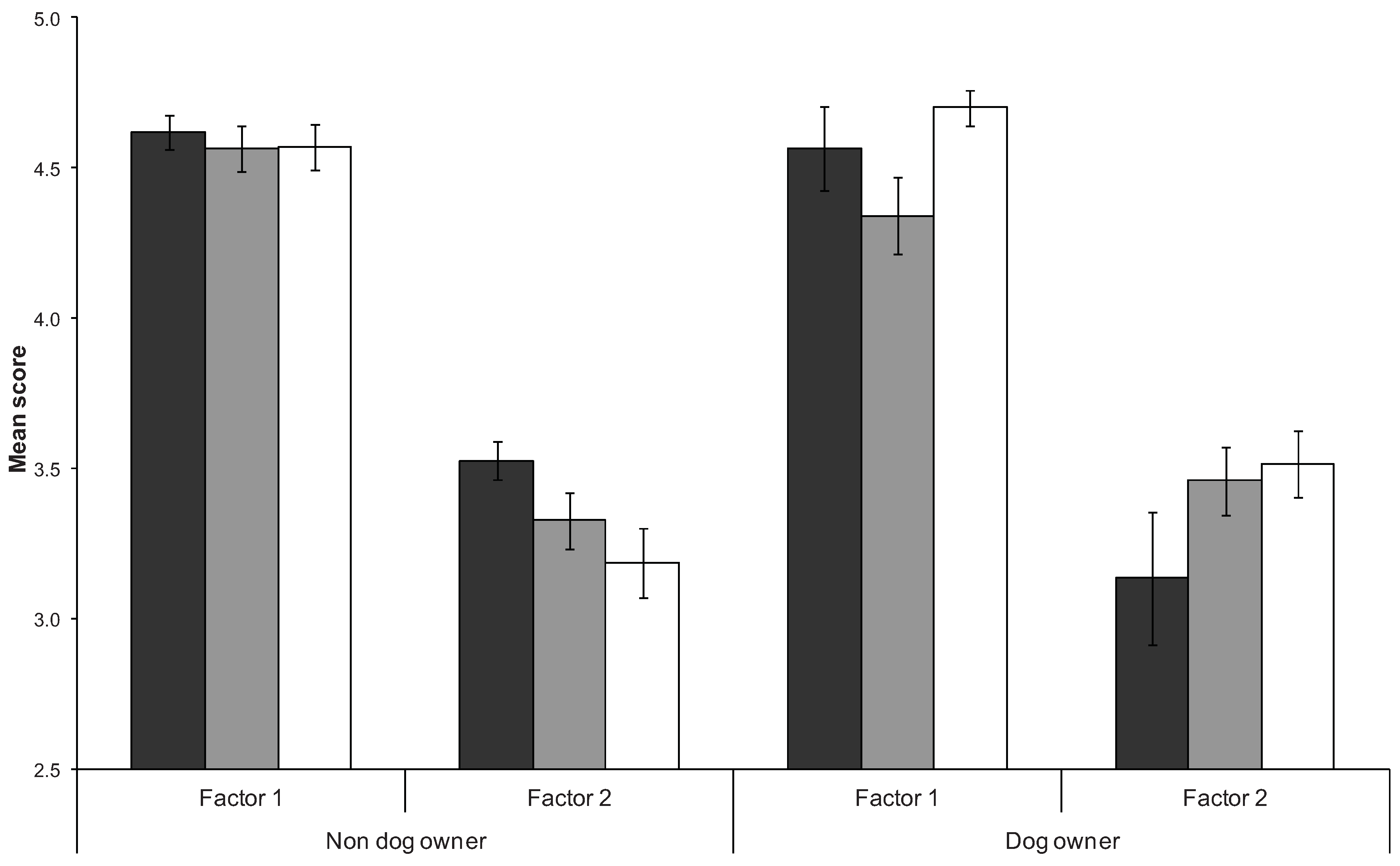
3.6. Frequency of Beach Use and Pet Ownership and Perceptions of Threats and Management
| Question | Frequence of use | Dog walk | Frequency of use x |
|---|---|---|---|
| (df = 2) | (df = 1) | Dog walk (df = 2) | |
| Threats | F = 7.243, p = 0.001 ** | F = 0.112, p = 0.738 | F = 4.175, p = 0.016 ** |
| Effectiveness actions | F = 0.912, p = 0.403 | F = 0.324, p = 0.569 | F = 0.372, p = 0.689 |
| Convenience | F = 4.577. p = 0.011 ** | F = 13.225, p < 0.001 ** | F = 2.049, p = 0.130 |
| Support for conservation | F = 1.938, p = 0.145 | F = 0.479, p = 0.489 | F = 3.560, p = 0.029 ** |


4. Discussion
4.1. Inconvenience
4.2. Awareness
4.3. Regularity of Beach Use and Pet Ownership
4.4. Management Recommendations
5. Conclusions
Acknowledgments
Conflicts of Interest
References and Notes
- Defeo, O.; McLachlan, A.; Schoeman, D.S.; Schlacher, T.A.; Dugan, J.; Jones, A.; Scapini, F. Threats to sandy beach ecosystems: A review. Estuar. Coast. Shelf Sci. 2009, 81, 1–12. [Google Scholar] [CrossRef]
- Schlacher, T.A.; Dugan, J.; Schoeman, D.S.; Lastra, M.; Jones, A.; Scapini, F.; Defeo, O. Sandy beaches at the brink. Divers. Distrib. 2007, 13, 556–560. [Google Scholar] [CrossRef]
- Victorian Coastal Strategy; Victorian Coastal Council: East Melbourne, Victoria, Australia, 2008.
- Maguire, G.S.; Miller, K.K.; Weston, M.A.; Young, K. Being beside the seaside: Beach use and preferences among coastal residents of south-eastern Australia. Ocean Coast. Manage. 2011, 54, 781–788. [Google Scholar] [CrossRef]
- Liu, B.; Su, J.; Chen, J.; Cui, G.; Ma, J. Anthropogenic halo disturbances alter landscape and plant richness: A ripple effect. PLoS ONE 2013, 8. [Google Scholar] [CrossRef]
- Huijbers, C.M.; Schlacher, T.A.; Schoeman, D.S.; Weston, M.A.; Connolly, R.M. Urbanisation alters processing of marine carrion on sandy beaches. Landscape Urban Plan. 2013, 119, 1–8. [Google Scholar] [CrossRef]
- Lucrezi, S.; Schlacher, T.A.; Walker, S. Monitoring human impacts on sandy shore ecosystems: A test of ghost crabs (Ocypode spp.) as biological indicators on an urban beach. Environ. Monit. Assess. 2009, 152, 413–424. [Google Scholar] [CrossRef]
- Weston, M.A.; Ehmke, G.; Maguire, G.S. The influence of mobile and static anthropogenic disturbance on plover nest return times. J. Wildlife Manage. 2011, 75, 252–255. [Google Scholar] [CrossRef]
- Weston, M.A.; Dodge, F.; Bunce, A.; Nimmo, D.G.; Miller, K.K. Do temporary beach closures assist in the conservation of breeding shorebirds on recreational beaches? Pac. Conserv. Biol. 2012, 18, 47–55. [Google Scholar]
- Schlacher, T.A.; Strydom, S.; Connolly, R.M. Multiple scavengers respond rapidly to pulsed carrion resources at the land-ocean interface. Acta Oecol. 2013, 48, 7–12. [Google Scholar] [CrossRef]
- Ormsby, A.A.; Forys, E.A. The effects of an education campaign on beach user perceptions of beach-nesting birds in Pinellas County, Florida. Human Dimens. Wildlife 2010, 15, 119–128. [Google Scholar] [CrossRef]
- Metrick, A.; Weitzman, M.L. Patterns of behavior in endangered species preservation. Land Econ. 1996, 72, 1–16. [Google Scholar] [CrossRef]
- Weston, M.A.; Fendley, M.; Jewell, R.; Satchell, M.; Tzaros, C. Volunteers in bird conservation: Insights from the Australian Threatened Bird Network. Ecol. Manage. Restor. 2003, 4, 205–211. [Google Scholar] [CrossRef]
- Cvetkovich, G.; Winter, P.L. Trust and social representations of the management of threatened and endangered species. Environ. Behav. 2003, 35, 286–307. [Google Scholar] [CrossRef]
- McKenzie-Mohr, D.; Smith, W. Fostering Sustainable Behavior: An Introduction to Community-Based Social Marketing; New Society Publishers: Philadelphia, PA, USA, 1999. [Google Scholar]
- McCleery, R.A.; Ditton, R.B.; Sell, J.; Lopez, R.R. Understanding and improving attitudinal research in wildlife sciences. Wildlife Soc. Bull. 2006, 34, 537–541. [Google Scholar] [CrossRef]
- Meadow, R.; Reading, R.P.; Phillips, M.; Mehringer, M.; Miller, B.J. The influence of persuasive arguments on public attitudes toward a proposed wolf restoration in the Southern Rockies. Wildlife Soc. Bull. 2005, 33, 154–163. [Google Scholar] [CrossRef]
- Weston, M.A.; Elgar, M.A. Responses of incubating Hooded Plovers (Thinornis rubricollis) to disturbance. J. Coast. Res. 2007, 23, 569–576. [Google Scholar] [CrossRef]
- Coluccy, J.M.; Drobney, R.D.; Graber, D.A.; Sheriff, S.L.; Witter, D.J. Attitudes of Central Missouri residents toward local giant Canada geese and management alternatives. Wildlife Soc. Bull. 2001, 29, 116–123. [Google Scholar]
- Reiter, D.K.; Brunson, M.W.; Schmidt, R.H. Public attitudes toward wildlife damage management and policy. Wildlife Soc. Bull. 1999, 27, 746–758. [Google Scholar]
- Bremner, A.; Park, K. Public attitudes to the management of invasive non-native species in Scotland. Biol. Conserv. 2007, 139, 306–314. [Google Scholar] [CrossRef]
- Kellert, S.R. Attitudes toward bears and their conservation. Bears: Their Biol. Manage. 1992, 9, 43–50. [Google Scholar] [CrossRef]
- Enck, J.W.; Brown, T.L. New Yorkers’ attitudes toward restoring wolves to the Adirondack Park. Wildlife Soc. Bull. 2002, 30, 16–28. [Google Scholar]
- Kellert, S.R. Social and perceptual factors in endangered species management. J. Wildlife Manage. 1985, 49, 528–536. [Google Scholar] [CrossRef]
- Cousins, J.A.; Compton, S.G. The Tongan flying fox Pteropus tonganus: Status, public attitudes and conservation in the Cook Islands. Oryx 2005, 39, 196–203. [Google Scholar]
- Solomon, B.D. Public support for endangered species recovery: An exploratory study of the Kirtland’s warbler. Human Dimens. Wildlife 1998, 3, 62–74. [Google Scholar] [CrossRef]
- Weston, M.A.; Miller, K.K.; Lawson, J.; Ehmke , G.S. Hope for resurrecting a functionally extinct parrot or squandered social capital? Landholder attitudes towards the orange-bellied parrot (Neophema chrysogaster) in Victoria, Australia. Conserv. Soc. 2012, 10, 381–385. [Google Scholar] [CrossRef]
- Dowling, B.; Weston, M.A. Managing a breeding population of the Hooded Plover Thinornis rubricollis in a high-use recreational environment. Bird Conserv. Int. 1999, 9, 255–270. [Google Scholar] [CrossRef]
- Maguire, G.S.; Duivenvoorden, A.K.; Weston, M.A.; Adams, R. Provision of artificial shelter on beaches is associated with improved shorebird fledging success. Bird Conserv. Int. 2011, 21, 172–185. [Google Scholar] [CrossRef]
- Bridson, L. Minimising Visitor Impacts on Threatened Shorebirds and Their Habitats; Conservation Advisory Science Notes No. 301; Department of Conservation: Wellington, New Zealand, 2000. [Google Scholar]
- Haarding, J.A.; Borrie, W.T.; Cole, D.N. Factors that Limit Compliance with Low-Impact Recommendations; RMRS-P-15-VOL-4; Department of Agriculture, Forest Service, Rocky Mountain Research Station: Ogden, UT, USA, 2000; pp. 198–202. [Google Scholar]
- Wills, D.E.; Murray, R.; Powlesland, A.G. Impact of management on the breeding success of the northern New Zealand dotterel (Charadrius obscurus aquilonius) on Matakana Island, Bay of Plenty. Notornis 2003, 50, 1–10. [Google Scholar]
- Williams, K.J.H.; Weston, M.A.; Henry, S.; Maguire, G.S. Birds and beaches, dogs and leashes: Dog owners’ sense of obligation to leash dogs on beaches in Victoria, Australia. Human Dimens. Wildlife 2009, 14, 89–101. [Google Scholar] [CrossRef]
- Wolch, J.; Zhang, J. Beach recreation, cultural diversity and attitudes toward nature. J. Leisure Res. 2004, 36, 414–443. [Google Scholar]
- SurveyMonkey, California, 1999–2013. Available online: www.surveymonkey.com (accessed on 21 October 2013).
- Australian Bureau of Statistics (ABS), Census Tables: Australia; Commonwealth of Australia: Canberra, Australia, 2006.
- Chambers, L.E.; Gibbs, H.; Weston, M.A.; Ehmke, G.C. Spatial and temporal variation in the breeding of Masked Lapwings (Vanellus miles) in Australia. Emu 2008, 108, 115–124. [Google Scholar] [CrossRef]
- Maguire, G.S.; Cullen, M.; Mead, R. Managing the Hooded Plover in Victoria: A Site by Site Assessment of Threats and Prioritisation of Management Investment on Parks Victoria Managed Land, Parks Victoria. 2013, in press. [Google Scholar]
- Mankin, P.C.; Warner, R.E.; Andersen, W.L. Wildlife and the Illinois public: A benchmark study of attitudes and perceptions. Wildlife Soc. Bull. 1999, 27, 465–472. [Google Scholar]
- Campbell, M.; Lancaster, B.L. Public attitudes toward black bears (Ursus americanus) and cougars (Puma concolor) on Vancouver Island. Soc. Anim. 2010, 18, 40–57. [Google Scholar]
- Tisdell, C.; Wilson, C.; Nantha, H.S. Public choice of species for the ‘Ark’: Phylogenetic similarity and preferred wildlife species for survival. J. Nat. Conserv. 2006, 14, 97–105. [Google Scholar] [CrossRef]
- Cook, P.S.; Cable, T.T. Attitudes toward state-level threatened and endangered species protection in Kansas. Human Dimens. Wildlife 1996, 1, 1–13. [Google Scholar] [CrossRef]
- Phillips, M.L.; Boyle, K.J.; Clark, A.G. A comparison of opinions of wildlife managers and the public on endangered species management. Wildlife Soc. Bull. 1988, 26, 605–613. [Google Scholar]
- Manfredo, M.; Teel, T.; Bright, A. Why are public values toward wildlife changing? Human Dimens. Wildlife 2003, 8, 287–306. [Google Scholar] [CrossRef]
- Burghardt, G.M.; Herzog, H.A. Beyond conspecifics: Is Brer Rabbit our brother? BioScience 1980, 30, 763–768. [Google Scholar] [CrossRef]
- Lees, D.; Sherman, C.D.; Maguire, G.S.; Dann, P.; Cardilini, A.; Weston, M.A. Swooping in the suburbs; Parental defence of an abundant aggressive urban bird against humans. Animals 2013, 3, 754–766. [Google Scholar] [CrossRef]
- Lafferty, K.D.; Goodman, D.; Sandoval, C.P. Restoration of breeding by snowy plovers following protection from disturbance. Biodivers. Conserv. 2006, 15, 2217–2230. [Google Scholar] [CrossRef]
- Kollmuss, A.; Agyeman, J. Mind the gap: Why do people act environmentally and what are the barriers to pro-environmental behavior? Environ. Educ. Res. 2002, 8, 239–260. [Google Scholar] [CrossRef]
- Maguire, G.S. A Practical Guide for Managing Beach-Nesting Birds in Australia; Birds Australia: Melbourne, Australia, 2008. [Google Scholar]
- Taylor, A.R.; Knight, R.L. Wildlife responses to recreation and associated visitor perceptions. Ecol. Appl. 2003, 13, 951–963. [Google Scholar] [CrossRef]
- Rimmer, J.M.; Maguire, G.S.; Weston, M.A. Perceptions of eff ectiveness and preferences for design and position of signage on Victorian beaches for the management of Hooded Plovers Thinornis rubricollis. The Victorian Naturalist 2013, 130, 75–80. [Google Scholar]
© 2013 by the authors; licensee MDPI, Basel, Switzerland. This article is an open access article distributed under the terms and conditions of the Creative Commons Attribution license (http://creativecommons.org/licenses/by/3.0/).
Share and Cite
Maguire, G.S.; Rimmer, J.M.; Weston, M.A. Stakeholder Perceptions of Threatened Species and Their Management on Urban Beaches. Animals 2013, 3, 1002-1020. https://doi.org/10.3390/ani3041002
Maguire GS, Rimmer JM, Weston MA. Stakeholder Perceptions of Threatened Species and Their Management on Urban Beaches. Animals. 2013; 3(4):1002-1020. https://doi.org/10.3390/ani3041002
Chicago/Turabian StyleMaguire, Grainne S., James M. Rimmer, and Michael A. Weston. 2013. "Stakeholder Perceptions of Threatened Species and Their Management on Urban Beaches" Animals 3, no. 4: 1002-1020. https://doi.org/10.3390/ani3041002
APA StyleMaguire, G. S., Rimmer, J. M., & Weston, M. A. (2013). Stakeholder Perceptions of Threatened Species and Their Management on Urban Beaches. Animals, 3(4), 1002-1020. https://doi.org/10.3390/ani3041002
