Dietary Arginine Supplementation Modulates the Proteome of Boar Seminal Plasma
Simple Summary
Abstract
1. Introduction
2. Materials and Methods
2.1. Animals, Diets, and Feed Management
2.2. Boar Semen Collection, Semen Outputs, and Sperm Analysis
2.3. Seminal Plasma Collection and Protein Extraction
2.4. Seminal Plasma Protein Extraction and Proteomic Analysis
2.5. In-Gel Digestion, MALDI-TOF/TOF, and Functional Analyses
2.6. Statistical Analysis
3. Results
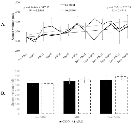
3.1. Boar Semen Production and Sperm Motility
3.2. Proteomic Analyses and Identification of Differentially Expressed Proteins
4. Discussion
5. Conclusions
Author Contributions
Funding
Institutional Review Board Statement
Informed Consent Statement
Data Availability Statement
Conflicts of Interest
References
- Reynolds, L.P.; Wulster-Radcliffe, M.C.; Aaron, D.K.; Davis, T.A. Importance of animals in agricultural sustainability and food security. J. Nutr. 2015, 145, 1377–1379. [Google Scholar] [CrossRef] [PubMed]
- Wettemann, R.P.; Wells, M.E.; Johnson, R.K. Reproductive characteristics of boars during and after exposure to increased ambient temperature. J. Anim. Sci. 1979, 49, 1501–1505. [Google Scholar] [CrossRef]
- Wettemann, R.P.; Bazer, F.W. Influence of environmental temperature on prolificacy of pigs. J. Reprod. Fertil. Suppl. 1985, 33, 199–208. [Google Scholar] [PubMed]
- Kunavongkrit, A.; Suriyasomboon, A.; Lundeheim, N.; Heard, T.W.; Einarsson, S. Management and sperm production of boars under differing environmental conditions. Theriogenology 2005, 63, 657–667. [Google Scholar] [CrossRef] [PubMed]
- Flowers, W.L. Factors affecting the production of quality ejaculates from boars. Anim. Reprod. Sci. 2022, 246, 106840. [Google Scholar] [CrossRef] [PubMed]
- Mammi LM, E.; Cavallini, D.; Fustini, M.; Fusaro, I.; Giammarco, M.; Formigoni, A.; Palmonari, A. Calving difficulty influences rumination time and inflammatory profile in Holstein dairy cows. J. Dairy Sci. 2021, 104, 750–761. [Google Scholar] [CrossRef]
- Windhorst, H.W. Dynamics and patterns of global poultry-meat production. In Poultry Quality Evaluation; Elsevier: Amsterdam, The Netherlands, 2017; pp. 1–25. Available online: https://www.sciencedirect.com/science/article/pii/B9780081007631000015 (accessed on 7 November 2024).
- Martin, G.B.; Milton, J.T.B.; Davidson, R.H.; Hunzicker, G.B.; Lindsay, D.R.; Blache, D. Natural methods for increasing reproductive efficiency in small ruminants. Anim. Reprod. Sci. 2004, 82, 231–245. [Google Scholar] [CrossRef]
- McGrath, J.; Duval, S.M.; Tamassia, L.F.; Kindermann, M.; Stemmler, R.T.; de Gouvea, V.N.; Acedo, T.S.; Immig, I.; Williams, S.N.; Celi, P. Nutritional strategies in ruminants: A lifetime approach. Res. Vet. Sci. 2018, 116, 28–39. [Google Scholar] [CrossRef]
- Ding, Y.; Liu, X.; Guan, Y.; Li, Z.; Luo, M.; Wu, D.; Ye, L.; Guo, L.; Wang, L.; Guan, Y. Balancing nutrition for successful reproduction in ruminants. Mod. Agric. 2024, 2, e29. [Google Scholar] [CrossRef]
- Vastolo, A.; Serrapica, F.; Cavallini, D.; Fusaro, I.; Atzori, A.S.; Todaro, M. Alternative and Novel Livestock Feed: Reducing Environmental Impact; Frontiers in Veterinary Science; Frontiers Media SA: Lausanne, Switzerland, 2024; Volume 11, p. 1441905. Available online: https://www.frontiersin.org/journals/veterinary-science/articles/10.3389/fvets.2024.1441905/full (accessed on 21 January 2025).
- Chen, J.Q.; Li, Y.S.; Li, Z.J.; Lu, H.X.; Zhu, P.Q.; Li, C.M. Dietary l-arginine supplementation improves semen quality and libido of boars under high ambient temperature. Animal 2018, 12, 1611–1620. [Google Scholar] [CrossRef] [PubMed]
- Costa, J.; Braga, P.C.; Rebelo, I.; Oliveira, P.F.; Alves, M.G. Mitochondria quality control and male fertility. Biology 2023, 12, 827. [Google Scholar] [CrossRef] [PubMed]
- Förstermann, U.; Sessa, W.C. Nitric oxide synthases: Regulation and function. Eur. Heart J. 2012, 33, 829–837. [Google Scholar] [CrossRef] [PubMed]
- Kaltsas, A. Oxidative stress and male infertility: The protective role of antioxidants. Medicina 2023, 59, 1769. [Google Scholar] [CrossRef]
- Jobgen, W.S.; Fried, S.K.; Fu, W.J.; Meininger, C.J.; Wu, G. Regulatory role for the arginine–nitric oxide pathway in metabolism of energy substrates. J. Nutr. Biochem. 2006, 17, 571–588. [Google Scholar] [CrossRef]
- Wu, G. Amino acids: Metabolism, functions, and nutrition. Amino Acids 2009, 37, 1–17. [Google Scholar] [CrossRef]
- Tan, B.; Yin, Y.; Liu, Z.; Tang, W.; Xu, H.; Kong, X.; Li, X.; Yao, K.; Gu, W.; Smith, S.B.; et al. Dietary L-arginine supplementation differentially regulates expression of lipid-metabolic genes in porcine adipose tissue and skeletal muscle. J. Nutr. Biochem. 2011, 22, 441–445. [Google Scholar] [CrossRef]
- Mateo, R.D.; Wu, G.; Bazer, F.W.; Park, J.C.; Shinzato, I.; Kim, S.W. Dietary L-arginine supplementation enhances the reproductive performance of gilts. J. Nutr. 2007, 137, 652–656. [Google Scholar] [CrossRef] [PubMed]
- Petrovic, V.; Buzadzic, B.; Korac, A.; Vasilijevic, A.; Jankovic, A.; Micunovic, K.; Korac, B. Antioxidative defence alterations in skeletal muscle during prolonged acclimation to cold: Role of L-arginine/NO-producing pathway. J. Exp. Biol. 2008, 211, 114–120. [Google Scholar] [CrossRef]
- Li, X.; Bazer, F.W.; Johnson, G.A.; Burghardt, R.C.; Erikson, D.W.; Frank, J.W.; Spencer, T.E.; Shinzato, I.; Wu, G. Dietary supplementation with 0.8% L-arginine between days 0 and 25 of gestation reduces litter size in gilts. J. Nutr. 2010, 140, 1111–1116. [Google Scholar] [CrossRef] [PubMed][Green Version]
- Dallanora, D.; Marcon, J.; Walter, M.P.; Biondo, N.; Bernardi, M.L.; Wentz, I.; Bortolozzo, F.P. Effect of dietary amino acid supplementation during gestation on placental efficiency and litter birth weight in gestating gilts. Livest. Sci. 2017, 197, 30–35. [Google Scholar] [CrossRef]
- Moura, A.A.; Memili, E.; Portela AM, R.; Viana, A.G.; Velho AL, C.; Bezerra MJ, B.; Vasconselos, F.R. Seminal plasma proteins and metabolites: Effects on sperm function and potential as fertility markers. Anim. Reprod. 2018, 15 (Suppl. 1), 691. [Google Scholar] [CrossRef]
- Shibahara, H.; Kamata, M.; Hu, J.; Nakagawa, H.; Obara, H.; Kondoh, N.; Shima, H.; Sato, I. Activity of testis angiotensin converting enzyme (ACE) in ejaculated human spermatozoa. Int. J. Androl. 2001, 24, 295–299. [Google Scholar] [CrossRef]
- Wu, G.; Bazer, F.W.; Johnson, G.A.; Hou, Y. Boar-invited review: Arginine nutrition and metabolism in growing, gestating, and lactating swine. J. Anim. Sci. 2018, 96, 5035–5051. [Google Scholar] [CrossRef] [PubMed]
- Erdoğan, K.; Sanlier, N.T.; Sanlier, N. Are epigenetic mechanisms and nutrition effective in male and female infertility? J. Nutr. Sci. 2023, 12, e103. [Google Scholar] [CrossRef] [PubMed]
- Gatewood, J.M.; Cook, G.R.; Balhorn, R.; Bradbury, E.M.; Schmid, C.W. Sequence-specific packaging of DNA in human sperm chromatin. Science 1987, 236, 962–964. [Google Scholar] [CrossRef] [PubMed]
- Balhorn, R. The protamine family of sperm nuclear proteins. Genome Biol. 2007, 8, 227. [Google Scholar] [CrossRef] [PubMed]
- Elango, K.; Kumaresan, A.; Talluri, T.R.; Raval, K.; Paul, N.; Samuel, E. Impact of sperm protamine on semen quality and fertility. J. Reprod. Health Med. 2022, 3. Available online: https://jrhm.org/impact-of-sperm-protamine-on-semen-quality-and-fertility/ (accessed on 14 November 2024). [CrossRef]
- Petry, D.B.; Johnson, R.K. Responses to 19 generations of litter size selection in the Nebraska Index line. I. Reproductive responses estimated in pure line and crossbred litters. J. Anim. Sci. 2004, 82, 1000–1006. [Google Scholar] [CrossRef][Green Version]
- Abbaspour, B.; Sharifi, S.D.; Ghazanfari, S.; Honarbakhsh, S.; Mohammadi-Sangcheshmeh, A. The effect of l-arginine and flaxseed on plasma testosterone concentration, semen quality and some testicular histology parameters in old broiler breeder roosters. Theriogenology 2019, 128, 101–109. [Google Scholar] [CrossRef] [PubMed]
- Scibona, M.; Meschini, P.; Capparelli, S.; Pecori, C.; Rossi, P.; Menchini Fabris, G.F. L-arginine and male infertility. Minerva Urol. E Nefrol. Ital. J. Urol. Nephrol. 1994, 46, 251–253. [Google Scholar]
- Aydin, S.; Inci, O.; Alagöl, B. The role of arginine, indomethacin and kallikrein in the treatment of oligoasthenospermia. Int. Urol. Nephrol. 1995, 27, 199–202. [Google Scholar] [CrossRef] [PubMed]
- Keller, D.W.; Polakoski, K.L. L-arginine stimulation of human sperm motility in vitro. Biol. Reprod. 1975, 13, 154–157. [Google Scholar] [CrossRef] [PubMed]
- O’Flaherty, C.; Rodriguez, P.; Srivastava, S. L-arginine promotes capacitation and acrosome reaction in cryopreserved bovine spermatozoa. Biochim. Et Biophys. Acta (BBA)-Gen. Subj. 2004, 1674, 215–221. [Google Scholar] [CrossRef] [PubMed]
- Parrilla, I.; Perez-Patiño, C.; Li, J.; Barranco, I.; Padilla, L.; Rodriguez-Martinez, H.; Martinez, E.; Roca, J. Boar semen proteomics and sperm preservation. Theriogenology 2019, 137, 23–29. [Google Scholar] [CrossRef] [PubMed]
- Novak, S.; Ruiz-Sánchez, A.; Dixon, W.T.; Foxcroft, G.R.; Dyck, M.K. Seminal Plasma Proteins as Potential Markers of Relative Fertility in Boars. J. Androl. 2010, 31, 188–200. [Google Scholar] [CrossRef] [PubMed]
- Druart, X.; Rickard, J.P.; Tsikis, G.; de Graaf, S.P. Seminal plasma proteins as markers of sperm fertility. Theriogenology 2019, 137, 30–35. [Google Scholar] [CrossRef] [PubMed]
- Llavanera, M. Evaluation of sperm quality and male fertility: The use of molecular markers in boar sperm and seminal plasma. Anim. Reprod. Sci. 2024, 269, 107545. [Google Scholar] [CrossRef] [PubMed]
- Parrilla, I.; Martinez, E.A.; Gil, M.A.; Cuello, C.; Roca, J.; Rodriguez-Martinez, H.; Martinez, C.A. Boar seminal plasma: Current insights on its potential role for assisted reproductive technologies in swine. Anim. Reprod. 2020, 17, e20200022. [Google Scholar] [CrossRef]
- Amiri, I.; Najafi, R. SHEYKHN Nitric Oxide Level in Seminal Plasma and its Relation with Sperm DNA Damages, 2007. Available online: https://www.sid.ir/EN/VEWSSID/J_pdf/84920070405.pdf (accessed on 21 January 2025).
- Yousefniapasha, Y.; Jorsaraei, G.; Gholinezhadchari, M.; Mahjoub, S.; Hajiahmadi, M.; Farsi, M. Nitric oxide levels and total antioxidant capacity in the seminal plasma of infertile smoking men. Cell J. 2015, 17, 129. [Google Scholar]
- Mohan, J.; Moudgal, R.P.; Panda, J.N.; Mohan, G. Effects of cold shock treatment on angiotensin-converting enzyme activity and on semen characteristics in roosters and bulls. Theriogenology 1992, 37, 1147–1154. [Google Scholar] [CrossRef]
- Pan, P.P.; Zhan, Q.T.; Le, F.; Zheng, Y.M.; Jin, F. Angiotensin-converting enzymes play a dominant role in fertility. Int. J. Mol. Sci. 2013, 14, 21071–21086. [Google Scholar] [CrossRef] [PubMed]
- Li, C.; Allai, L.; Liang, J.; Lv, C.; Zhao, X.; Ni, X.; Wu, G.; Deng, W.; Badaoui, B.; Quan, G. The antioxidant effects of butylated hydroxytoluene on cryopreserved goat sperm from a proteomic perspective. PeerJ 2024, 12, e17580. [Google Scholar] [CrossRef] [PubMed]
- Kierszenbaum, A.L. Keratins: Unraveling the coordinated construction of scaffolds in spermatogenic cells. Mol. Reprod. Dev. 2002, 61, 1–2. [Google Scholar] [CrossRef]
- Ramms, L.; Fabris, G.; Windoffer, R.; Schwarz, N.; Springer, R.; Zhou, C.; Lazar, J.; Stiefel, S.; Hersch, N.; Schnakenberg, U.; et al. Keratins as the main component for the mechanical integrity of keratinocytes. Proc. Natl. Acad. Sci. USA 2013, 110, 18513–18518. [Google Scholar] [CrossRef] [PubMed]
- Hinsch, E.; Boehm, J.; Groeger, S.; Mueller-Schloesser, F.; Hinsch, K. Identification of Cytokeratins in Bovine Sperm Outer Dense Fibre Fractions. Reprod. Domest. Anim. 2003, 38, 155–160. [Google Scholar] [CrossRef]
- Chen, W.Q.; Yang, S.J.; Xu, W.X.; Deng, F.; Wang, D.D.; Tang, J.H. Bioinformatics analysis revealing prognostic significance of TIMP2 gene in breast cancer. Medicine 2021, 100, e27489. [Google Scholar] [CrossRef]
- Peeney, D.; Liu, Y.; Lazaroff, C.; Gurung, S.; Stetler-Stevenson, W.G. Unravelling the distinct biological functions and potential therapeutic applications of TIMP2 in cancer. Carcinogenesis 2022, 43, 405–418. [Google Scholar] [CrossRef]
- Martínez-León, E.; Osycka-Salut, C.; Signorelli, J.; Pozo, P.; Pérez, B.; Kong, M.; Morales, P.; Pérez-Martínez, S.; Díaz, E. Fibronectin stimulates human sperm capacitation through the cyclic AMP/protein kinase A pathway. Hum. Reprod. 2015, 30, 2138–2151. [Google Scholar] [CrossRef] [PubMed]
- Heidari, M.; Darbandi, S.; Darbandi, M.; Akhondi, M.M.; Sadeghi, M.R. Fibronectin as a new biomarker for human sperm selection in assisted reproductive technology. Turk. J. Urol. 2019, 45, 83. [Google Scholar] [CrossRef] [PubMed]
- Escalona, R.M.; Bilandzic, M.; Western, P.; Kadife, E.; Kannourakis, G.; Findlay, J.K.; Ahmed, N. TIMP-2 regulates proliferation, invasion and STAT3-mediated cancer stem cell-dependent chemoresistance in ovarian cancer cells. BMC Cancer 2020, 20, 960. [Google Scholar] [CrossRef]
- Belardin, L.B.; Antoniassi, M.P.; Camargo, M.; Intasqui, P.; Fraietta, R.; Bertolla, R.P. Semen levels of matrix metalloproteinase (MMP) and tissue inhibitor of metalloproteinases (TIMP) protein families members in men with high and low sperm DNA fragmentation. Sci. Rep. 2019, 9, 903. [Google Scholar]
- Assreuy, A.M.S.; Alencar, N.M.; Cavada, B.S.; Rocha-Filho, D.R.; Feitosa, R.F.; Cunha, F.Q.; Calvete, J.J.; Ribeiro, R.A. Porcine spermadhesin PSP-I/PSP-II stimulates macrophages to release a neutrophil chemotactic substance: Modulation by mast cells. Biol. Reprod. 2003, 68, 1836–1841. [Google Scholar] [CrossRef] [PubMed]
- Centurion, F.; Vazquez, J.M.; Calvete, J.J.; Roca, J.; Sanz, L.; Parrilla, I.; Garcia, E.M.; Martinez, E.A. Influence of porcine spermadhesins on the susceptibility of boar spermatozoa to high dilution. Biol. Reprod. 2003, 69, 640–646. [Google Scholar] [CrossRef] [PubMed]
- Washburn, R.L. Complements from the Male Reproductive Tract: A Scoping Review. BioMed 2024, 4, 19–38. [Google Scholar] [CrossRef]
- Wen, Z.; Zhu, H.; Wu, B.; Zhang, A.; Wang, H.; Cheng, Y.; Zhao, H.; Li, J.; Liu, M.; Gao, J. Cathepsin B plays a role in spermatogenesis and sperm maturation through regulating autophagy and apoptosis in mice. PeerJ 2022, 10, e14472. [Google Scholar] [CrossRef] [PubMed]
- Yan, Y.; Zhou, K.; Wang, L.; Wang, F.; Chen, X.; Fan, Q. Clinical significance of serum cathepsin B and cystatin C levels and their ratio in the prognosis of patients with esophageal cancer. OTT 2017, 10, 1947–1954. [Google Scholar] [CrossRef] [PubMed]
- Edstrom, A.M.; Malm, J.; Frohm, B.; Martellini, J.A.; Giwercman, A.; Morgelin, M.; Cole, A.M.; Sørensen, O.E. The Major Bactericidal Activity of Human Seminal Plasma Is Zinc-Dependent and Derived from Fragmentation of the Semenogelins. J. Immunol. 2008, 181, 3413. [Google Scholar] [CrossRef] [PubMed]
- Silva, E.J.; Hamil, K.G.; Richardson, R.T.; O’Rand, M.G. Characterization of EPPIN’s semenogelin I binding site: A contraceptive drug target. Biol. Reprod. 2012, 87, 56–61. [Google Scholar] [CrossRef] [PubMed]
- D’Acunto, E.; Fra, A.; Visentin, C.; Manno, M.; Ricagno, S.; Galliciotti, G.; Miranda, E. Neuroserpin: Structure, function, physiology and pathology. Cell Mol. Life Sci. 2021, 78, 6409–6430. [Google Scholar] [CrossRef]
- Prasinou, P.; De Amicis, I.; Fusaro, I.; Bucci, R.; Cavallini, D.; Parrillo, S.; Caputo, M.; Gramenzi, A.; Carluccio, A. The lipidomics of spermatozoa and red blood cells membrane profile of martina franca donkey: Preliminary ebvaluation. Animals 2022, 13, 8. [Google Scholar] [CrossRef] [PubMed]




| Parameters | Pre-ARG | ARG | Post-ARG | Overall | |||
|---|---|---|---|---|---|---|---|
| Control | Arginine | Control | Arginine | Control | Arginine | ||
| TM (×109) | 81 ± 2 | 81 ± 3 | 81 ± 4 | 81 ± 2 | 82 ± 3 | 81 ± 3 | 81 ± 3 | 
| PROG (%) | 71 ± 3.5 | 67 ± 4 | 64 ± 5 | 64 ± 4 | 64 ± 4 | 66 ± 4 | 64 ± 5 | 
| VSL (μm/s) | 68.5 ± 1.5 | 63 ± 3 | 58 ± 3 | 63 ± 3 | 58 ± 3 | 64 ± 3 | 59 ± 2 | 
| VCL (μm/s) | 186 ± 7 | 190 ± 8 | 192 ± 9 | 194 ± 9 | 194 ± 10 | 192 ± 8 | 192 ± 9 | 
| VAP (μm/s) | 91 ± 1 | 94 ± 2 | 92 ± 3 | 95 ± 3 | 92 ± 4 | 94 ± 3 | 92 ± 3 | 
| LIN (%) | 38.4 ± 1.5 | 35.3 ± 0.2 | 33 ± 0.1 | 35 ± 0.3 | 33 ± 0.3 | 35 ± 0.6 | 32.5 ± 0.7 | 
| STR (%) | 73.2 ± 0.3 | 69 ± 0.3 | 65 ± 0.2 | 69 ± 0.5 | 66 ± 0.2 | 68 ± 1 | 65 ± 1 | 
| WOB (%) | 51 ± 1 | 50 ± 0.1 | 49 ± 0.1 | 50 ± 0.1 | 49 ± 0.3 | 50 ± 0.3 | 49 ± 0.5 | 
| BCF (Hz) | 39 ± 0.7 | 38 ± 1 | 38 ± 1 | 38 ± 1 | 37 ± 1 | 38 ± 1 | 38 ± 1 | 
| ABNOR (%) | 3.6 ± 0.75 | 3 ± 1 | 3 ± 1 | 3 ± 1 | 3 ± 1 | 3 ± 1 | 3.2 ± 1 | 
| p > 0.05 | p > 0.05 | p > 0.05 | |||||
| Differentially Expressed Proteins in the Arginine Group | |||||||
|---|---|---|---|---|---|---|---|
| Expression Direction | Protein Spot # Numbers | MW (kDa) | PI | NCBI-ID | Protein Name | FC * | Biological Function | 
| Up | 0203 | 14.8 | 8.7 | NP_999001 | Porcine seminal protein II (PSP-II) | 100× | Extracellular | 
| 3202 | 14.5 | 8.1 | NP_999002 | Porcine seminal protein I (PSP-I) | 11× | Extracellular | |
| 5902 | 288.8 | 6.0 | XP_003133690 | Fibronectin 1 (FN1) | 5.6× | Binding | |
| 7403 | 41.1 | 6.8 | XP_003481293 | Glutaminyl-peptide cyclotransferase (QPCT) | 2.2× | Catalytic activity | |
| 5404 | 43 | 6.7 | XP_005657322 | Cathepsin B (CTSB) | 1.6× | Catalytic activity | |
| 8303 | 27 | 8.2 | XP_020921860 | TIMP metallopeptidase inhibitor 2 (TIMP2) | 1.7× | Enzyme regulator activity | |
| 8503 | 77.6 | 8.2 | XP_020924222 | Lactotransferrin (LTF) | 4× | Catalytic activity;enzyme regulator activity; metal ion binding | |
| 3403 | 46.4 | 4.9 | XP_020925421 | Serpin family I member 1 (SERPINI1) | 4.2× | Enzyme regulator activity | |
| 5702 | 138.5 | 6.6 | XP_020937501 | Complement factor H (CFH) | 6× | Binding; regulatory activity | |
| 7201 | 18.2 | 8.7 | XP_020942404 | Zymogen granule protein 16 homolog B-like (LOC110259943) | 28× | Regulatory activity | |
| Down | 5701 | 150.3 | 6.6 | NP_001077410 | Angiotensin I converting enzyme (peptidyl-dipeptidase A) 1 (ACE) | 0.4× | Catalytic activity; metal ion binding | 
| 2503 | 51.6 | 5.2 | XP_020922659 | Keratin, type I cytoskeletal 14 (LOC110255312) | 0.3× | Structural activity | |
| Disclaimer/Publisher’s Note: The statements, opinions and data contained in all publications are solely those of the individual author(s) and contributor(s) and not of MDPI and/or the editor(s). MDPI and/or the editor(s) disclaim responsibility for any injury to people or property resulting from any ideas, methods, instructions or products referred to in the content. | 
© 2025 by the authors. Licensee MDPI, Basel, Switzerland. This article is an open access article distributed under the terms and conditions of the Creative Commons Attribution (CC BY) license (https://creativecommons.org/licenses/by/4.0/).
Share and Cite
Oladejo, E.O.; Gruhot, T.R.; Park, S.; Ishak, G.M.; Mote, B.E.; Liao, S.F.; Feugang, J.M. Dietary Arginine Supplementation Modulates the Proteome of Boar Seminal Plasma. Animals 2025, 15, 555. https://doi.org/10.3390/ani15040555
Oladejo EO, Gruhot TR, Park S, Ishak GM, Mote BE, Liao SF, Feugang JM. Dietary Arginine Supplementation Modulates the Proteome of Boar Seminal Plasma. Animals. 2025; 15(4):555. https://doi.org/10.3390/ani15040555
Chicago/Turabian StyleOladejo, Emmanuel O., Tasha R. Gruhot, Seongbin Park, Ghassan M. Ishak, Benny E. Mote, Shengfa F. Liao, and Jean M. Feugang. 2025. "Dietary Arginine Supplementation Modulates the Proteome of Boar Seminal Plasma" Animals 15, no. 4: 555. https://doi.org/10.3390/ani15040555
APA StyleOladejo, E. O., Gruhot, T. R., Park, S., Ishak, G. M., Mote, B. E., Liao, S. F., & Feugang, J. M. (2025). Dietary Arginine Supplementation Modulates the Proteome of Boar Seminal Plasma. Animals, 15(4), 555. https://doi.org/10.3390/ani15040555
 
        


 
       