Reproductive Efficiency of Low-Fertility Dairy Cows Submitted to Presynch-Ovsynch or Double-Ovsynch Scheme for First Service
Simple Summary
Abstract
1. Introduction
2. Materials and Methods
2.1. Cows, Enrollment Period, and Experimental Treatments
2.2. Pregnancy Diagnosis and Resynchronization
2.3. Temperature–Humidity Index
2.4. Statistical Analyses
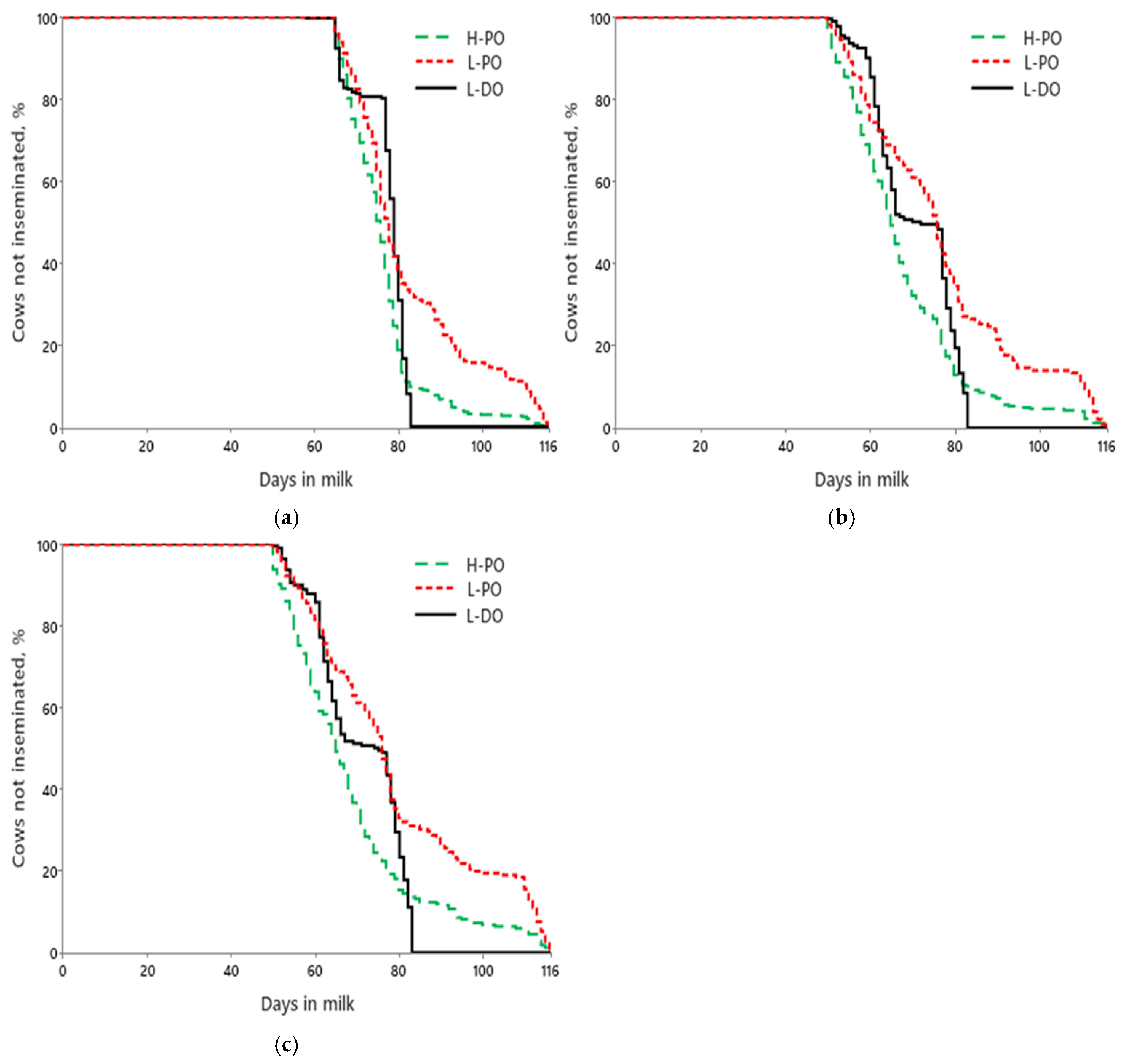
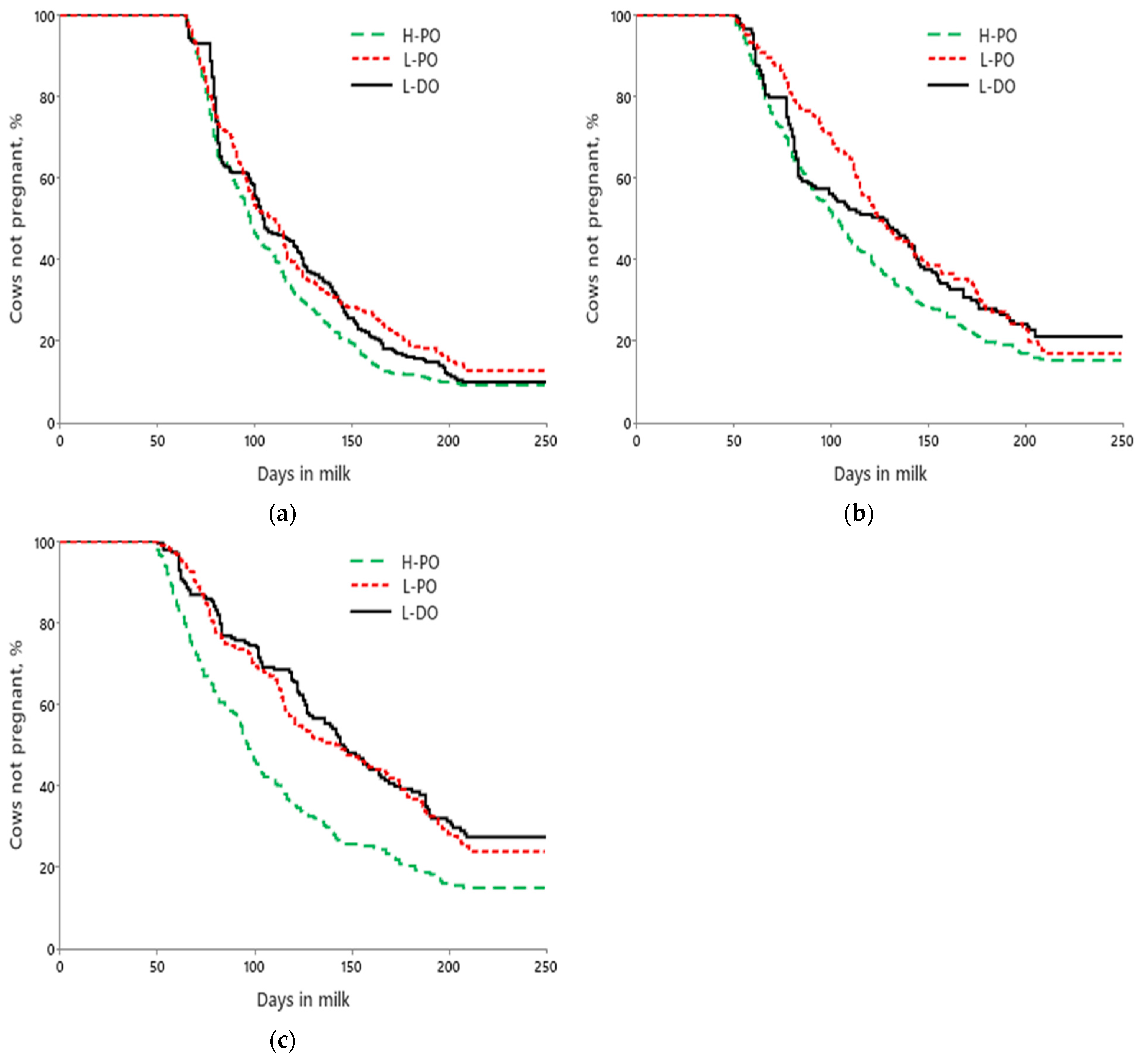
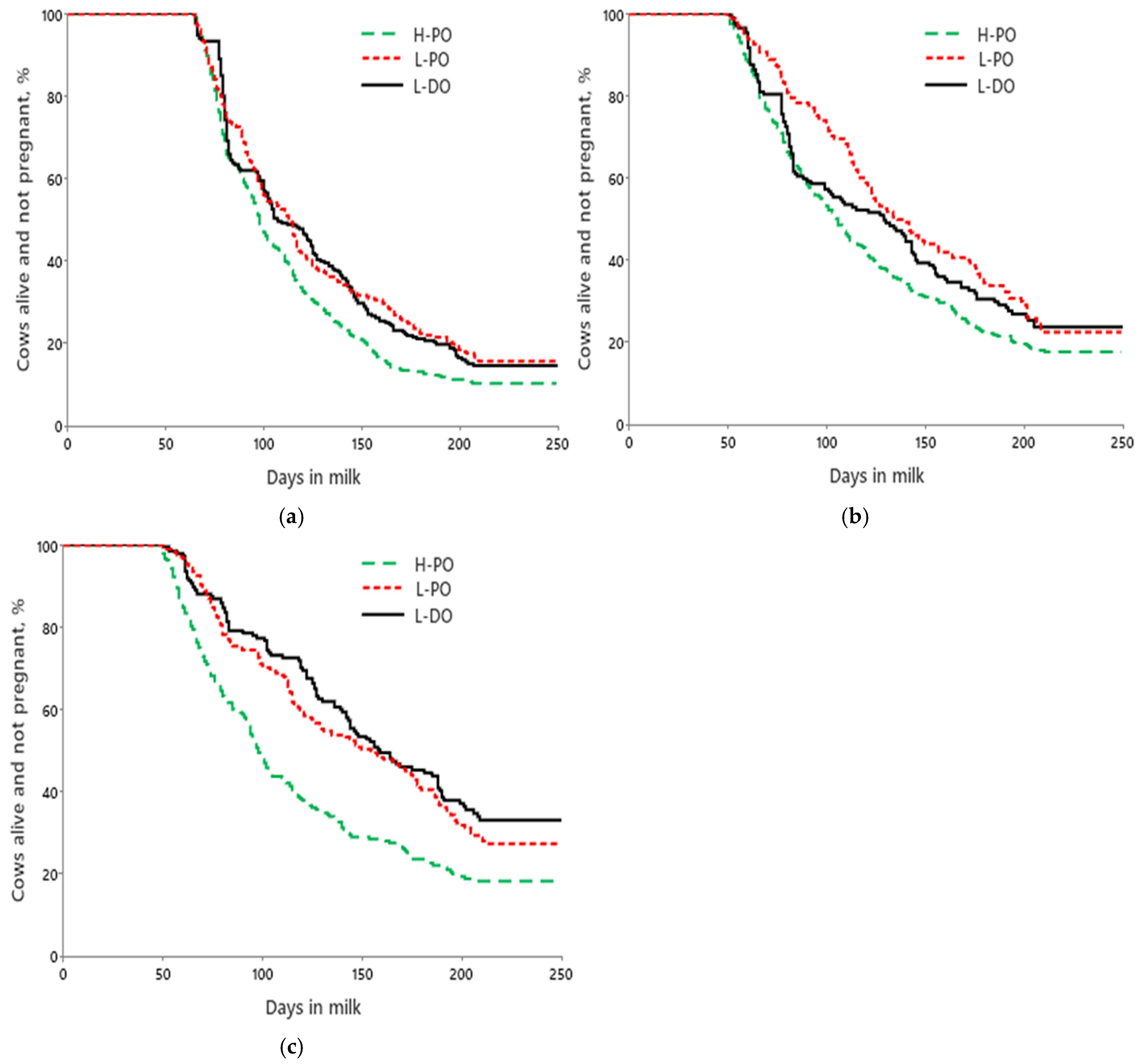
3. Results
3.1. First Insemination and Pregnancy at 100 DIM
3.2. Likelihood and Hazard of Pregnancy and Culling up to 250 DIM
4. Discussion
5. Conclusions
6. Patents
Author Contributions
Funding
Institutional Review Board Statement
Informed Consent Statement
Data Availability Statement
Acknowledgments
Conflicts of Interest
References
- Davis, T.C.; White, R.R. Breeding animals to feed people: The many roles of animal reproduction in ensuring global food security. Theriogenology 2020, 150, 27–33. [Google Scholar] [CrossRef] [PubMed]
- Capper, J.L. The impact of controlling diseases of significant global importance on greenhouse gas emissions from livestock production. One Health Outlook 2023, 5, 17. [Google Scholar] [CrossRef] [PubMed]
- Stevenson, J.S.; Britt, J.H. A 100-Year Review: Practical female reproductive management. J. Dairy Sci. 2017, 100, 10292–10313. [Google Scholar] [CrossRef] [PubMed]
- Borchardt, S.; Tippenhauer, C.M.; Plenio, J.L.; Bartel, A.; Madureira, A.M.L.; Cerri, R.L.A.; Heuwieser, W. Association of estrous expression detected by an automated activity monitoring system within 40 days in milk and reproductive performance of lactating Holstein cows. J. Dairy Sci. 2021, 104, 9195–9204. [Google Scholar] [CrossRef]
- Gonzalez, T.D.; Factor, L.; Mirzaei, A.; Montevecchio, A.B.; Casaro, S.; Merenda, V.R.; Prim, J.G.; Galvão, K.N.; Bisinotto, R.S.; Chebel, R.C. Targeted reproductive management for lactating Holstein cows: Reducing the reliance on exogenous reproductive hormones. J. Dairy Sci. 2023, 106, 5788–5804. [Google Scholar] [CrossRef]
- Laplacette, A.L.; Rial, C.; Magaña Baños, G.S.; García Escalera, J.A.; Torres, S.; Kerwin, A.; Giordano, J.O. Effect of a targeted reproductive management program based on automated detection of estrus during the voluntary waiting period on reproductive performance of lactating dairy cows. Theriogenology 2024, 225, 130–141. [Google Scholar] [CrossRef] [PubMed]
- Bretzinger, L.F.; Hölper, M.; Tippenhauer, C.M.; Plenio, J.L.; Madureira, A.; Heuwieser, W.; Borchardt, S. Evaluation of Four Different Automated Activity Monitoring Systems to Identify Anovulatory Cows in Early Lactation. Animals 2024, 14, 3145. [Google Scholar] [CrossRef]
- Borchardt, S.; Haimerl, P.; Pohl, A.; Heuwieser, W. Evaluation of prostaglandin F2α versus prostaglandin F2α plus gonadotropin-releasing hormone as Presynch methods preceding an Ovsynch in lactating dairy cows: A meta-analysis. J. Dairy Sci. 2017, 100, 4065–4077. [Google Scholar] [CrossRef]
- Souza, A.H.; Ayres, H.; Ferreira, R.M.; Wiltbank, M.C. A new presynchronization system (Double-Ovsynch) increases fertility at first postpartum timed AI in lactating dairy cows. Theriogenology 2008, 70, 208–215. [Google Scholar] [CrossRef]
- Stevenson, J.S.; Pulley, S.L.; Mellieon Jr, H.I. Prostaglandin F2α and gonadotropin-releasing hormone GnRH administration improve progesterone status, luteal number, and proportion of ovular and anovular dairy cows with corpora lutea before a timed AI program. J. Dairy Sci. 2012, 95, 1831–1844. [Google Scholar] [CrossRef] [PubMed]
- NASEM (National Academies of Sciences, Engineering, and Medicine). Nutrient Requirements of Dairy Cattle; The National Academies Press: Washington, DC, USA, 2021. [Google Scholar] [CrossRef]
- 2010 Guide for the Care and Use of Agricultural Animals in Research and Teaching, 3rd ed.; Federation of Animal Science Societies (FASS): Champaign, IL, USA, 2010.
- Mendonça, L.G.D.; Rocha, L.S.; Voelz, B.E.; Lima, G.T.; Scanavez, A.L.A.; Stevenson, J.S. Presynchronization strategy using prostaglandin F2α, gonadotropin-releasing hormone, and detection of estrus to improve fertility in a resynchronization program for dairy cows. Theriogenology 2019, 124, 39–47. [Google Scholar] [CrossRef]
- NOAA. Livestock hot weather stress. In Operations Manual Letter 1976; C-31-76; NOAA: Kansas City, MO, USA, 1976. [Google Scholar]
- Cerri, R.L.A.; Burnett, T.A.; Madureira, A.M.L.; Silper, B.F.; Denis-Robichaud, J.; LeBlanc, S.; Cooke, R.F.; Vasconcelos, J.L.M. Symposium review: Linking activity-sensor data and physiology to improve dairy cow fertility. J. Dairy Sci. 2021, 104, 1220–1231. [Google Scholar] [CrossRef] [PubMed]
- Giordano, J.O.; Sitko, E.M.; Rial, C.; Pérez, M.M.; Granados, G.E. Symposium review: Use of multiple biological, management, and performance data for the design of targeted reproductive management strategies for dairy cows. J. Dairy Sci. 2022, 105, 4669–4678. [Google Scholar] [CrossRef] [PubMed]
- Bicalho, M.L.; Marques, E.C.; Gilbert, R.O.; Bicalho, R.C. The association of plasma glucose, BHBA, and NEFA with postpartum uterine diseases, fertility, and milk production of Holstein dairy cows. Theriogenology 2017, 88, 270–282. [Google Scholar] [CrossRef]
- Bruinjé, T.C.; Morrison, E.I.; Ribeiro, E.S.; Renaud, D.L.; Couto Serrenho, R.; LeBlanc, S.J. Postpartum health is associated with detection of estrus by activity monitors and reproductive performance in dairy cows. J. Dairy Sci. 2023, 106, 9451–9473. [Google Scholar] [CrossRef] [PubMed]
- Hoorn, Q.A.; Rabaglino, M.B.; Amaral, T.F.; Maia, T.S.; Yu, F.; Cole, J.B.; Hansen, P.J. Machine learning to identify endometrial biomarkers predictive of pregnancy success following artificial insemination in dairy cows. Biol. Reprod. 2024, 111, 54–62. [Google Scholar] [CrossRef]
- Britt, J.H. Early postpartum breeding in dairy cows. A review. J. Dairy Sci. 1975, 58, 266–271. [Google Scholar] [CrossRef] [PubMed]
- Stangaferro, M.L.; Wijma, R.; Masello, M.; Thomas, M.J.; Giordano, J.O. Extending the duration of the voluntary waiting period from 60 to 88 days in cows that received timed artificial insemination after the Double-Ovsynch protocol affected the reproductive performance, herd exit dynamics, and lactation performance of dairy cows. J. Dairy Sci. 2018, 101, 717–735. [Google Scholar] [CrossRef] [PubMed]
- Pulley, S.L.; Keisler, D.H.; Stevenson, J.S. Concentrations of luteinizing hormone and ovulatory responses in dairy cows before timed artificial insemination. J. Dairy Sci. 2015, 98, 6188–6201. [Google Scholar] [CrossRef] [PubMed]
- Stevenson, J.S.; Pulley, S.L. Feedback effects of estradiol and progesterone on ovulation and fertility of dairy cows after gonadotropin-releasing hormone-induced release of luteinizing hormone. J. Dairy Sci. 2016, 99, 3003–3015. [Google Scholar] [CrossRef] [PubMed]
- Fricke, P.M.; Wiltbank, M.C. Symposium review: The implications of spontaneous versus synchronized ovulations on the reproductive performance of lactating dairy cows. J. Dairy Sci. 2022, 105, 4679–4689. [Google Scholar] [CrossRef]
- Borchardt, S.; Haimerl, P.; Heuwieser, W. Effect of insemination after estrous detection on pregnancy per artificial insemination and pregnancy loss in a Presynch-Ovsynch protocol: A meta-analysis. J. Dairy Sci. 2016, 99, 2248–2256. [Google Scholar] [CrossRef]
- Rhoads, M.L. Review: Reproductive consequences of whole-body adaptations of dairy cattle to heat stress. Animal 2023, 17, 100847. [Google Scholar] [CrossRef] [PubMed]
- DeJarnette, J.M.; Sattler, C.G.; Marshall, C.E.; Nebel, R.L. Voluntary waiting period management practices in dairy herds participating in a progeny test program. J. Dairy Sci. 2007, 90, 1073–1079. [Google Scholar] [CrossRef]
- Miller, R.H.; Norman, H.D.; Kuhn, M.T.; Clay, J.S.; Hutchison, J.L. Voluntary waiting period and adoption of synchronized breeding in dairy herd improvement herds. J. Dairy Sci. 2007, 90, 1594–1606. [Google Scholar] [CrossRef]




| Treatment (T) 1 | p-Value | |||||
|---|---|---|---|---|---|---|
| Item | H-PO | L-PO | L-DO | T | Lactation Group | Interaction |
| Number of cows | 1036 | 665 | 645 | - | - | - |
| Submitted to first AI, % | 97.5 ± 0.5 | 97.6 ± 0.6 | 97.5 ± 0.7 | 0.99 | 0.28 | 0.94 |
| Submitted to first service timed AI, % | 3.3 ± 0.6 | 13.6 ± 1.4 | 60.6 ± 2.1 | <0.01 | 0.22 | <0.01 |
| Pregnancy per AI for first service, % | 38.1 ± 1.6 | 34.9 ± 2.0 | 33.8 ± 2.0 | 0.19 | <0.01 | 0.02 |
| Pregnancy loss from first service, % | 1.6 ± 0.7 | 5.0 ± 1.5 | 4.4 ± 1.4 | 0.08 | 0.16 | 0.81 |
| Pregnant by 100 DIM, % | 51.1 ± 1.6 | 35.7 ± 2.0 | 37.3 ± 2.0 | <0.01 | <0.01 | <0.01 |
| Pregnant by 250 DIM, % | 84.4 ± 1.2 | 78.8 ± 1.7 | 76.7 ± 1.8 | <0.01 | <0.01 | 0.19 |
| Alive and pregnant by 250 DIM, % | 81.9 ± 1.2 | 74.1 ± 1.8 | 72.2 ± 1.9 | <0.01 | <0.01 | 0.35 |
| Culled by 250 DIM, % | 8.2 ± 0.9 | 11.8 ± 1.3 | 13.3 ± 1.4 | <0.01 | <0.01 | 0.37 |
| Item | LSM ± SEM 2 | AOR 3 (95% CI) | p-Value |
|---|---|---|---|
| Submitted to TAI: first lactation | |||
| H-PO | 2.5 ± 0.7 | 1.00 | - |
| L-PO | 11.4 ± 1.9 | 5.0 (2.5–10.2) | <0.01 |
| L-DO | 80.2 ± 2.4 | 159.2 (81.6–311.0) | <0.01 |
| Submitted to TAI: second lactation | |||
| H-PO | 3.3 ± 1.0 | 1.00 | - |
| L-PO | 13.0 ± 2.6 | 4.3 (2.0–9.1) | <0.01 |
| L-DO | 48.8 ± 3.9 | 27.5 (14.0–54.0) | <0.01 |
| Submitted to TAI: ≥third lactation | |||
| H-PO | 4.2 ± 1.3 | 1.00 | - |
| L-PO | 17.0 ± 2.5 | 4.7 (2.3–9.7) | <0.01 |
| L-DO | 48.6 ± 3.7 | 21.7 (10.8–43.7) | <0.01 |
| Item | LSM ± SEM 2 | AOR 3 (95% CI) | p-Value |
|---|---|---|---|
| P/AI: first lactation | |||
| H-PO | 41.4 ± 2.4 | 1.00 | - |
| L-PO | 41.5 ± 3.0 | 1.00 (0.74–1.37) | 0.98 |
| L-DO | 39.0 ± 2.9 | 0.91 (0.67–1.24) | 0.54 |
| P/AI: second lactation | |||
| H-PO | 34.7 ± 2.6 | 1.00 | - |
| L-PO | 32.7 ± 3.7 | 0.92 (0.61–1.37) | 0.67 |
| L-DO | 40.3 ± 3.8 | 1.27 (0.87–1.87) | 0.22 |
| P/AI: ≥third lactation | |||
| H-PO | 38.5 ± 3.1 | 1.00 | - |
| L-PO | 30.9 ± 3.2 | 0.71 (0.48–1.05) | 0.09 |
| L-DO | 23.6 ± 3.2 | 0.49 (0.32–0.76) | <0.01 |
| Pregnant by 100 DIM: first lactation | |||
| H-PO | 53.6 ± 2.4 | 1.00 | - |
| L-PO | 46.7 ± 3.1 | 0.76 (0.56–1.03) | 0.08 |
| L-DO | 44.8 ± 3.0 | 0.70 (0.52–0.95) | 0.02 |
| Pregnant by 100 DIM: second lactation | |||
| H-PO | 47.5 ± 2.8 | 1.00 | - |
| L-PO | 30.8 ± 3.7 | 0.49 (0.33–0.73) | <0.01 |
| L-DO | 43.4 ± 3.9 | 0.85 (0.58–1.23) | 0.38 |
| Pregnant by 100 DIM: ≥third lactation | |||
| H-PO | 52.1 ± 3.2 | 1.00 | - |
| L-PO | 30.4 ± 3.2 | 0.40 (0.27–0.59) | <0.01 |
| L-DO | 25.3 ± 3.2 | 0.31 (0.20–0.47) | <0.01 |
| Item | AHR 2 (95% CI) | p-Value |
|---|---|---|
| Pregnancy by 250 DIM: first lactation | ||
| H-PO | 1.00 | - |
| L-PO | 0.82 (0.70–0.97) | 0.02 |
| L-DO | 0.85 (0.73–1.00) | 0.05 |
| Pregnancy by 250 DIM: second lactation | ||
| H-PO | 1.00 | - |
| L-PO | 0.77 (0.62–0.94) | 0.01 |
| L-DO | 0.79 (0.64–0.98) | 0.03 |
| Pregnancy by 250 DIM: ≥third lactation | ||
| H-PO | 1.00 | - |
| L-PO | 0.61 (0.49–0.75) | <0.01 |
| L-DO | 0.56 (0.44–0.70) | <0.01 |
| Alive and pregnancy by 250 DIM: first lactation | ||
| H-PO | 1.00 | - |
| L-PO | 0.78 (0.66–0.92) | <0.01 |
| L-DO | 0.79 (0.67–0.93) | <0.01 |
| Alive and pregnancy by 250 DIM: second lactation | ||
| H-PO | 1.00 | - |
| L-PO | 0.71 (0.57–0.88) | <0.01 |
| L-DO | 0.81 (0.65–1.00) | 0.05 |
| Alive and pregnancy by 250 DIM: ≥third lactation | ||
| H-PO | 1.00 | - |
| L-PO | 0.62 (0.50–0.76) | <0.01 |
| L-DO | 0.53 (0.42–0.67) | <0.01 |
Disclaimer/Publisher’s Note: The statements, opinions and data contained in all publications are solely those of the individual author(s) and contributor(s) and not of MDPI and/or the editor(s). MDPI and/or the editor(s) disclaim responsibility for any injury to people or property resulting from any ideas, methods, instructions or products referred to in the content. |
© 2025 by the authors. Licensee MDPI, Basel, Switzerland. This article is an open access article distributed under the terms and conditions of the Creative Commons Attribution (CC BY) license (https://creativecommons.org/licenses/by/4.0/).
Share and Cite
Mendonça, L.G.D.; Wronka, K.; Fridkovski, G.; Bilby, T.; Stevenson, J. Reproductive Efficiency of Low-Fertility Dairy Cows Submitted to Presynch-Ovsynch or Double-Ovsynch Scheme for First Service. Animals 2025, 15, 536. https://doi.org/10.3390/ani15040536
Mendonça LGD, Wronka K, Fridkovski G, Bilby T, Stevenson J. Reproductive Efficiency of Low-Fertility Dairy Cows Submitted to Presynch-Ovsynch or Double-Ovsynch Scheme for First Service. Animals. 2025; 15(4):536. https://doi.org/10.3390/ani15040536
Chicago/Turabian StyleMendonça, Luis Gustavo Delamanha, Kenneth Wronka, Guy Fridkovski, Todd Bilby, and Jeffrey Stevenson. 2025. "Reproductive Efficiency of Low-Fertility Dairy Cows Submitted to Presynch-Ovsynch or Double-Ovsynch Scheme for First Service" Animals 15, no. 4: 536. https://doi.org/10.3390/ani15040536
APA StyleMendonça, L. G. D., Wronka, K., Fridkovski, G., Bilby, T., & Stevenson, J. (2025). Reproductive Efficiency of Low-Fertility Dairy Cows Submitted to Presynch-Ovsynch or Double-Ovsynch Scheme for First Service. Animals, 15(4), 536. https://doi.org/10.3390/ani15040536

