Mathematical Modeling of In Vitro Rumen Fermentation Kinetics in Capiaçu Elephant Grass Silages with Inclusion of Dehydrated Cashew Pseudo-Fruit
Simple Summary
Abstract
1. Introduction
2. Materials and Methods
3. Results
4. Discussion
5. Conclusions
Author Contributions
Funding
Institutional Review Board Statement
Informed Consent Statement
Data Availability Statement
Acknowledgments
Conflicts of Interest
References
- Guimarães, C.G.; Bonfá, C.S.; Evangelista, A.R.; Santos, A.S.; Pantoja, L.A.; Guimarães, A.G.; Ferreira, M.A.M. Fermentative losses and lactic acid content of elephant grass silages added with macaúba cake. Biosci. J. 2023, 39, e39016. [Google Scholar] [CrossRef]
- Silva, C.S.; Miranda, A.S.; Novaes, J.J.S.; Araújo, C.A.; Macedo, A.; Araújo, J.S.; Lima, D.O.; Emerenciano Neto, J.V.; Gois, G.C.; Araújo, G.G.L.; et al. Fermentation profile, nutritional value and aerobic stability of mixed elephant grass and butterfly pea silages. Ciência. Anim. Bras. 2024, 25, e76994. [Google Scholar] [CrossRef]
- König, W.; König, E.; Weiss, K.; Tuomivirta, T.T.; Fritze, H.; Elo, K.; Vanhatalo, A.; Jaakkola, S. Impact of hexamine addition to a nitrite-based additive on fermentation quality, Clostridia and Saccharomyces cerevisiae in a white lupin–wheat silage. J. Sci. Food Agric. 2019, 99, 1492–1500. [Google Scholar] [CrossRef]
- Brito, G.S.M.S.; Santos, E.M.; Araújo, G.G.L.; Oliveira, J.S.; Zanine, A.M.; Perazzo, A.F.; Campos, F.S.; Lima, A.G.V.O.; Cavalcanti, H.S. Mixed silages of cactus pear and Gliricidia: Chemical composition, fermentation characteristics, microbial population and aerobic stability. Sci. Rep. 2020, 10, 6834. [Google Scholar] [CrossRef] [PubMed]
- Barcelos, A.F.; Carvalho, J.R.R.; Tavares, V.B.; Mattos Gonçalves, C.C. Nutritional Value and Characteristics of Elephant Grass Silage with Different Proportions of Coffee Hulls. Ciência. Anim. Bras. 2018, 19, e27432. [Google Scholar]
- Teles, M.M.; Neiva, J.N.M.; Clementino, R.H.; do Rêgo, A.C.; Cândido, M.J.D.; Restle, J. Consumo, digestibilidade de nutrientes e balanço de nitrogênio da silagem de capim-elefante com adição de pedúnculo de caju desidratado. Cienc. Rural 2010, 40, 404–410. [Google Scholar] [CrossRef]
- Wang, S.; Li, J.; Dong, Z.; Chen, L.; Shao, T. Inclusion of alfalfa improves nutritive value and in vitro digestibility of various straw–grass mixed silages in Tibet. Grass Forage Sci. 2018, 73, 694–704. [Google Scholar] [CrossRef]
- Rodrigues, R.C.; Cavalcante, S.E.A.S.; Lana, R.P.; Perazzo, A.; Cabral, L.S.; Teixeira, M.C.; Araujo, I.G.R.; Jesus, A.P.R.; Araújo, J.S.; Costal, C.S.; et al. In situ and in vitro degradation parameters of elephant grass silage with sugarcane bagasse. S. Afr. J. Anim. Sci. 2023, 53, 390–399. [Google Scholar] [CrossRef]
- Velho, J.P.; Mühlbach, P.R.F.; Genro, T.C.M.; Barcellos, J.O.J.; Braccini Neto, J.; da Silva, R.S.M. Mathematical models for adjustment of in vitro gas production at different incubation times and kinetics of corn silages. Semina Cienc. Agrar. 2014, 35 (Suppl. S4), 2531–2540. [Google Scholar] [CrossRef]
- Santana, J.C.S.; Morais, J.A.S.; Difante, G.S.; Ítavo, L.C.V.; Gurgel, A.L.C.; Oliveira, V.S.; Rodrigues, M.J.S.T. In vitro digestion characteristics of various combinations of elephant grass hay, gliricidia hay or silage, soybean meal and corn meal in rations for sheep. Trop. Grassl.–Forrajes Trop. 2020, 8, 147–152. [Google Scholar] [CrossRef]
- Gurgel, A.L.C.; Morais, J.A.S.; Santana, J.C.S.; Difante, G.S.; Emerenciano Neto, J.V.; Ítavo, L.C.V.; Ítavo, C.C.B.F.; Oliveira, V.S.; Rodrigues, M.J.S.T. Mathematical models to adjust the parameters of in vitro cumulative gas production of diets containing preserved Gliricidia. Cienc. Rural 2021, 51, e20201012. [Google Scholar] [CrossRef]
- Tagliapietra, F.; Cattani, M.; Bailoni, L.; Schiavon, S. In vitro rumen fermentation: Effect of headspace pressure on the gas production kinetics of corn meal and meadow hay. Anim. Feed Sci. Technol. 2010, 158, 197–201. [Google Scholar] [CrossRef]
- Santos, A.L.P.; Moreira, G.R.; Gomes-Silva, F.; de Brito, C.C.R.; da Costa, M.L.; Pereira, L.G.R.; Maurício, R.M.; Azevêdo, J.A.G.; Pereira, J.M.; Ferreira, A.L.; et al. Generation of models from existing models composition: An application to agrarian sciences. PLoS ONE 2019, 14, e0214778. [Google Scholar] [CrossRef] [PubMed]
- Zornitta, C.S.; Ítavo, L.C.V.; Ítavo, C.C.B.F.; dos Santos, G.T.; Dias, A.M.; Difante, G.S.; Gurgel, A.L.C. Kinetics of in vitro gas production and fitting mathematical models of corn silage. Fermentation 2021, 7, 298. [Google Scholar] [CrossRef]
- Schofield, P.; Pitt, R.E.; Pell, A.N. Kinetics of fiber digestion from in vitro gas production. J. Anim. Sci. 1994, 72, 2980–2991. [Google Scholar] [CrossRef]
- Mjoun, K. Evaluation of Different Gas Production Models When Applied to Ruminants Feeds. J. Anim. Sci. 2018, 96, 37–38. [Google Scholar] [CrossRef]
- Tedeschi, L.O. Assessment of the adequacy of mathematical models. Agric. Syst. 2006, 89, 225–247. [Google Scholar] [CrossRef]
- AOAC Official Methods of Analysis of AOAC International. Official Methods of Analysis of AOAC; AOAC International: Rockville, MD, USA, 2005; ISBN 0935584544. [Google Scholar]
- Van Soest, P.J.; Robertson, J.B.; Lewis, B.A. Methods for Dietary Fiber, Neutral Detergent Fiber, and Nonstarch Polysaccharides in Relation to Animal Nutrition. J. Dairy Sci. 1991, 10, 3583–3597. [Google Scholar] [CrossRef]
- Sniffen, C.J.; O’Connor, J.D.; Van Soest, P.J.; Fox, D.G.; Russell, J.B. A net carbohydrate and protein system for evaluating cattle diets: II. Carbohydrate and protein availability. J. Anim. Sci. 1992, 70, 3562–3577. [Google Scholar] [CrossRef] [PubMed]
- National Research Council. Nutrient Requirements of Dairy Cattle; National Academies Press: Washington, DC, USA, 2001; ISBN 978-0-309-06997-7. [Google Scholar]
- Tilley, J.M.A.; Terry, R.A. A two-stage technique for the in vitro digestion of forage crops. Grass Forage Sci. 1963, 18, 104–111. [Google Scholar] [CrossRef]
- Gompertz, B. On the nature of the function expressive of the law of human mortality, and on a new mode of determining the value of life contingencies. Philos. Trans. R. Soc. Lond. 1825, 115, 513–583. [Google Scholar] [CrossRef]
- Orskov, E.R.; Mcdonald, I. The estimation of protein degradability in the rumen from incubation measurements weighted according to rate of passage. J. Agric. Sci. 1979, 92, 499–503. [Google Scholar] [CrossRef]
- Brody, S. Bioenergetics and Growth; with Special Reference to the Efficiency Complex in Domestic Animals; Reinhold: Oxford, UK, 1945. [Google Scholar]
- Richards, F.J. A flexible growth function for empirical use. J. Exp. Bot. 1959, 10, 290–301. [Google Scholar] [CrossRef]
- Al Miaari, A.; Ali, H. Batteries temperature prediction and thermal management using machine learning: An overview. Energy Rep. 2023, 10, 2277–2305. [Google Scholar] [CrossRef]
- Regazzi, A.J. Test for parameter equality in nonlinear regression models. Rev. Ceres 2003, 50, 9–26. [Google Scholar]
- Tedeschi, L.O.; Fox, D.G.; Sainz, R.D.; Barioni, L.G.; Medeiros, S.R.; Boin, C. Mathematical models in ruminant nutrition. Sci. Agric. 2005, 62, 76–91. [Google Scholar] [CrossRef]
- Tedeschi, L.O.; Menendez, H.M. Mathematical Modeling in Animal Production. In Animal Agriculture: Sustainability, Challenges and Innovations; Bazer, F.W., Lamb, G.C., Wu, G., Eds.; Academic Press: Cambridge, MA, USA, 2020; pp. 431–453. [Google Scholar] [CrossRef]
- Zwietering, M.H.; Jongenburger, I.; Rombouts, F.M.; van ‘t Riet, K. Modeling of the bacterial growth curve. Appl. Environ. Microbiol. 1990, 56, 1875–1881. [Google Scholar] [CrossRef]
- Kopuzlu, S.; Sezgin, E.; Esenbuga, N.; Bilgin, Ö.C. Estimation of growth curve characteristics of Hemsin male and female sheep. J. Appl. Anim. Res. 2014, 42, 229–233. [Google Scholar] [CrossRef]
- Gori, M.; Betti, A.; Melacci, S. Learning Principles. In Machine Learning, 2nd ed.; A Constraint-Based Approach; Elsevier: Amsterdam, The Netherlands, 2024; pp. 53–111. [Google Scholar] [CrossRef]
- Gurgel, A.L.C.; Difante, G.S.; Emerenciano Neto, J.V.; Ítavo, L.C.V.; Ítavo, C.C.B.F.; Costa, C.M.; dos Santos, G.T.; Chay-Canul, A.J. Prediction of weaning weight in Santa Inês lambs using the body volume formula. Trop. Anim. Health Prod. 2023, 55, 29. [Google Scholar] [CrossRef]
- Farias, L.N.; Vasconcelos, V.R.; Carvalho, F.F.R.; Sarmento, J.L.R. Avaliação dos modelos logístico bicompartimental e de Gompertz na estimativa da dinâmica de fermentação ruminal in vitro do farelo e da torta de babaçu (Orbignya martiana). Arq. Bras. Med. Vet. Zootec. 2011, 63, 136–142. [Google Scholar] [CrossRef]
- Elghandour, M.M.Y.; Salem, A.Z.M.; Kholif, A.E.; El-Adawy, M.M.; Elghandour, I.A.; Melendez, P.; Lopez, S.; Hernandez, J.; Castro, T.; Zervas, G.; et al. Effects of Saccharomyces cerevisiae at Direct Addition or Inoculation on In Vitro Gas Production Kinetics and Degradability of Corn Silage and Alfalfa Hay. Ital. J. Anim. Sci. 2014, 13, 3075. [Google Scholar] [CrossRef]
- Wallach, D.; Goffinet, B. Mean squared error of prediction as a criterion for evaluating and comparing system models. Ecol. Modell. 1989, 44, 299–306. [Google Scholar] [CrossRef]
- Burnham, K.P.; Anderson, D.R. Model Selection and Multimodel Inference: A Practical Information-Theoretic Approach, 2nd ed.; Springer: New York, NY, USA, 2002; ISBN 0-387-95364-7. [Google Scholar]
- Teixeira, U.H.G.; Simioni, T.A.; Bezerra, R.P.; Soares, K.A.R.S.C.; Romualdo, T.G.; Torres, R.N.S.; Silva, H.M.; Pina, D.S. Modelos matemáticos para estimação dos parâmetros da cinética de degradação ruminal de concentrados proteicos. Rev. Bras. Saúde Prod. Anim. 2016, 17, 73–85. [Google Scholar] [CrossRef]
- Díaz, T.G.; Branco, A.F.; Ítavo, L.C.V.; dos Santos, G.T.; Carvalho, S.T.; Teodoro, A.L.; Oliveira, R.L. In vitro gas production kinetics and digestibility in ruminant diets with different levels of cashew nut shell liquid. Semina Cienc. Agrar. 2018, 39, 1669–1682. [Google Scholar] [CrossRef]
- Oliveira, V.S.; Morais, J.A.S.; Muniz, E.N.; Fagundes, J.L.; Lima, I.G.S.; Santana, J.S.; Santos, C.B. Cinética ruminal de forrageiras tropicais submetidas ou não a sistema de irrigação. Bol. Ind. Anim. 2017, 74, 195–204. [Google Scholar] [CrossRef]
- Saenz, E.A.C. Modelagem da redução de partículas em ruminantes. Ciênc. Agrotec. 2005, 29, 886–893. [Google Scholar] [CrossRef]
- Yáñez-Ruiz, D.R.; Bannink, A.; Dijkstra, J.; Kebreab, E.; Morgavi, D.P.; O’Kiely, P.; Reynolds, C.K.; Schwarm, A.; Shingfiedl, K.J.; Hristov, A.N. Design, implementation and interpretation of in vitro batch culture experiments to assess enteric methane mitigation in ruminants—A review. Anim. Feed Sci. Technol. 2016, 216, 1–18. [Google Scholar] [CrossRef]


| Variables (% DM) | Inclusion Level of Dehydrated Cashew Pseudo-Fruit (%) | |||
|---|---|---|---|---|
| 0 | 10 | 20 | 30 | |
| Dry matter 1 | 17.7 | 26.4 | 28.2 | 34.4 |
| Ash | 6.6 | 6.4 | 6.1 | 5.7 |
| Crude protein | 4.9 | 6.6 | 7.8 | 8.3 |
| Ether extract | 19.4 | 25.5 | 25.8 | 24.4 |
| Neutral detergent fiber | 58.5 | 52.1 | 47.5 | 42.3 |
| Acid detergent fiber | 32.3 | 30.0 | 29.2 | 25.7 |
| Non-fiber carbohydrates | 27.9 | 32.3 | 35.9 | 41.2 |
| Total digestible nutrients | 54.6 | 58.9 | 63.0 | 67.1 |
| Nº | Model | Equation | Parameters | Reference |
|---|---|---|---|---|
| 1 | Gompertz | P(t) = Aexp((−Bexp(−Ct)) | 3 | [23] |
| 2 | Orskov & McDonald | P(t) = A + B(1 − exp(−Ct)) | 3 | [24] |
| 3 | Brody | P(t) = A(1 − Bexp(−Ct) | 3 | [25] |
| 4 | Richards | P(t) = A(1 − Bexp(−Ct))D | 4 | [26] |
| 5 | Dual Pool Logistic | P(t) = A/(1 + exp(2 − 4B(t − C))) + D/(1 + exp(2 − 4E(t − C))) | 5 | [15] |
| Nº | Model | Parameters | Model Evaluation | |||||||
|---|---|---|---|---|---|---|---|---|---|---|
| A | B | C | D | E | AIC | R2 | CCC | MSPE | ||
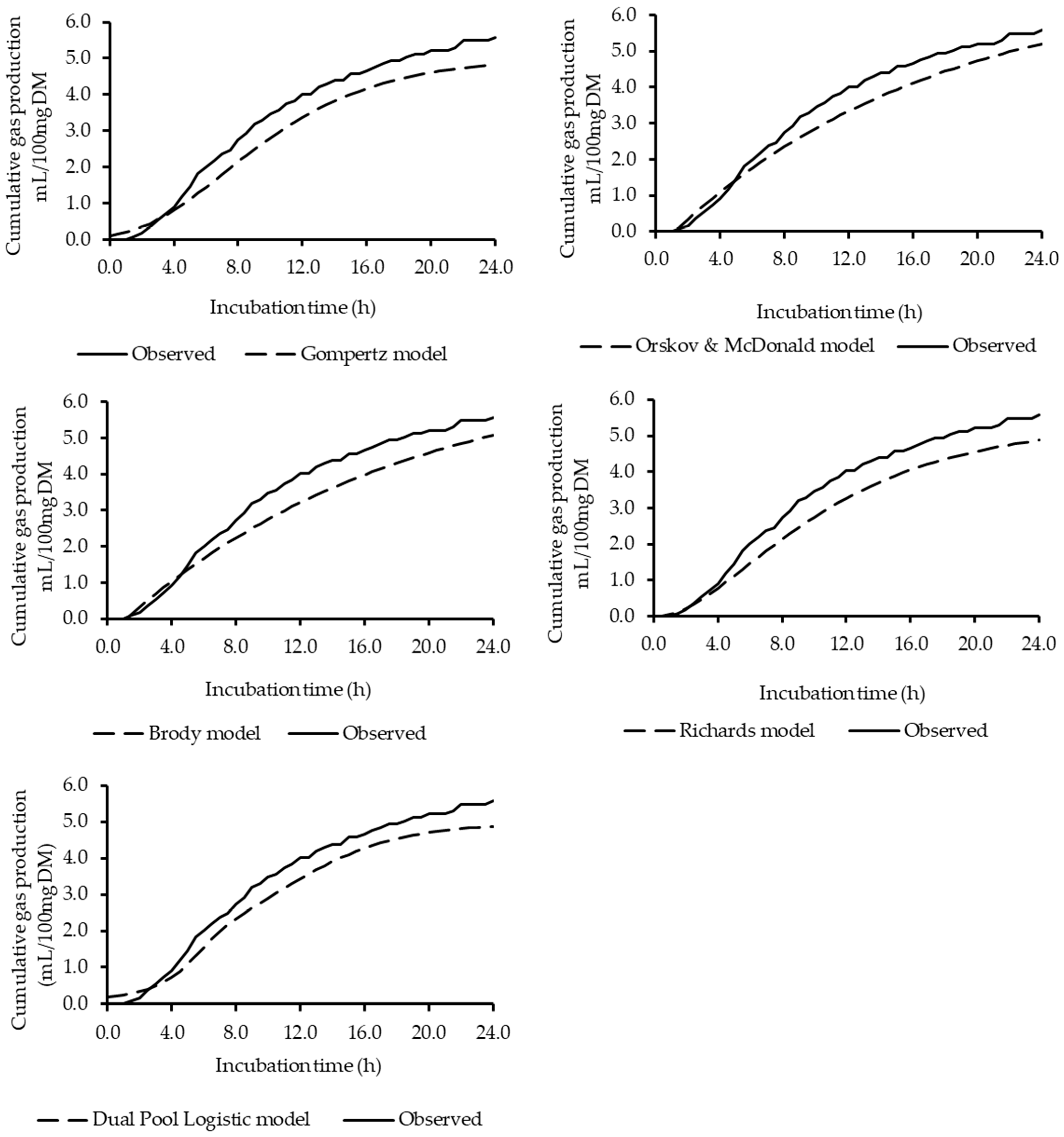
| 1 | Gompertz | 5.03 ± 0.06 | 3.89 ± 0.17 | 0.19 ± 0.001 | - | - | 1130.89 | 0.916 | 0.955 | 0.247 |
| 2 | Orskov & McDonald | −0.50 ± 0.06 | 7.48 ± 0.22 | 0.06 ± 0.003 | - | - | 1183.57 | 0.910 | 0.953 | 0.270 |
| 3 | Brody | 6.98 ± 0.25 | 1 ± 0.01 | 0.06 ± 0.003 | - | - | 1183.45 | 0.910 | 0.953 | 0.264 |
| 4 | Richards | 5.36 ± 0.15 | 1.03 ± 0.11 | 0.13 ± 0.01 | 2.03 ± 0.52 | - | 1119.07 | 0.917 | 0.966 | 0.246 |
| 5 | Dual Pool Logistic | 1.20 ± 0.17 | 0.25 ± 0.04 | 3.50 ± 0.20 | 3.76 ± 0.15 | 0.07 ± 0.03 | 1136.71 | 0.915 | 0.965 | 0.253 |
| 10 | 20 | 30 | |
|---|---|---|---|
| 0 | <0.0001 | <0.0001 | <0.0001 |
| 10 | - | <0.0001 | <0.0001 |
| 20 | - | - | <0.0001 |
| Inclusion Level of Dehydrated Cashew Pseudo-Fruit (%) | Equation | RMSE | R2 |
|---|---|---|---|
| 0 | P(t) = 4.87 × (1 − 1.09exp(−0.10 − t))2.05 | 0.03 | 0.99 |
| 10 | P(t) = 4.61 × (1 − 1.06exp(−0.12 − t))2.3 | 0.10 | 0.99 |
| 20 | P(t) = 5.66 × (1 − 1.04exp(−0.13 − t))2.50 | 0.19 | 0.99 |
| 30 | P(t) = 6.18 × (1 − 0.97exp(−0.17 − t))1.99 | 0.04 | 0.99 |
Disclaimer/Publisher’s Note: The statements, opinions and data contained in all publications are solely those of the individual author(s) and contributor(s) and not of MDPI and/or the editor(s). MDPI and/or the editor(s) disclaim responsibility for any injury to people or property resulting from any ideas, methods, instructions or products referred to in the content. |
© 2025 by the authors. Licensee MDPI, Basel, Switzerland. This article is an open access article distributed under the terms and conditions of the Creative Commons Attribution (CC BY) license (https://creativecommons.org/licenses/by/4.0/).
Share and Cite
Freitas, I.O.M.A.; Gurgel, A.L.C.; Ítavo, L.C.V.; Rodrigues, L.A.; Queiroz, V.C.; Martins, E.V.F.; Araújo, M.J.d.; Dias-Silva, T.P.; Emerenciano Neto, J.V.; Chay-Canul, A.J. Mathematical Modeling of In Vitro Rumen Fermentation Kinetics in Capiaçu Elephant Grass Silages with Inclusion of Dehydrated Cashew Pseudo-Fruit. Animals 2025, 15, 3481. https://doi.org/10.3390/ani15233481
Freitas IOMA, Gurgel ALC, Ítavo LCV, Rodrigues LA, Queiroz VC, Martins EVF, Araújo MJd, Dias-Silva TP, Emerenciano Neto JV, Chay-Canul AJ. Mathematical Modeling of In Vitro Rumen Fermentation Kinetics in Capiaçu Elephant Grass Silages with Inclusion of Dehydrated Cashew Pseudo-Fruit. Animals. 2025; 15(23):3481. https://doi.org/10.3390/ani15233481
Chicago/Turabian StyleFreitas, Isadora Osório Maciel Aguiar, Antonio Leandro Chaves Gurgel, Luís Carlos Vinhas Ítavo, Luiz Antônio Rodrigues, Vitor Cardoso Queiroz, Edy Vitoria Fonseca Martins, Marcos Jácome de Araújo, Tairon Pannunzio Dias-Silva, João Virgínio Emerenciano Neto, and Alfonso Juventino Chay-Canul. 2025. "Mathematical Modeling of In Vitro Rumen Fermentation Kinetics in Capiaçu Elephant Grass Silages with Inclusion of Dehydrated Cashew Pseudo-Fruit" Animals 15, no. 23: 3481. https://doi.org/10.3390/ani15233481
APA StyleFreitas, I. O. M. A., Gurgel, A. L. C., Ítavo, L. C. V., Rodrigues, L. A., Queiroz, V. C., Martins, E. V. F., Araújo, M. J. d., Dias-Silva, T. P., Emerenciano Neto, J. V., & Chay-Canul, A. J. (2025). Mathematical Modeling of In Vitro Rumen Fermentation Kinetics in Capiaçu Elephant Grass Silages with Inclusion of Dehydrated Cashew Pseudo-Fruit. Animals, 15(23), 3481. https://doi.org/10.3390/ani15233481

