eDNA Metabarcoding Reveals Homogenization of Fish in Fujiang Segments Isolated by Cascading Hydroelectric Stations
Simple Summary
Abstract
1. Introduction
2. Materials and Methods
2.1. Research Area
2.2. eDNA Sampling
2.3. Environmental Factor Measurement
2.4. Database Construction
2.5. eDNA Extraction and Sequencing
2.6. Bioinformatics
2.7. Diversity Analysis
2.8. Correlation Analysis of Environmental Factors
3. Results
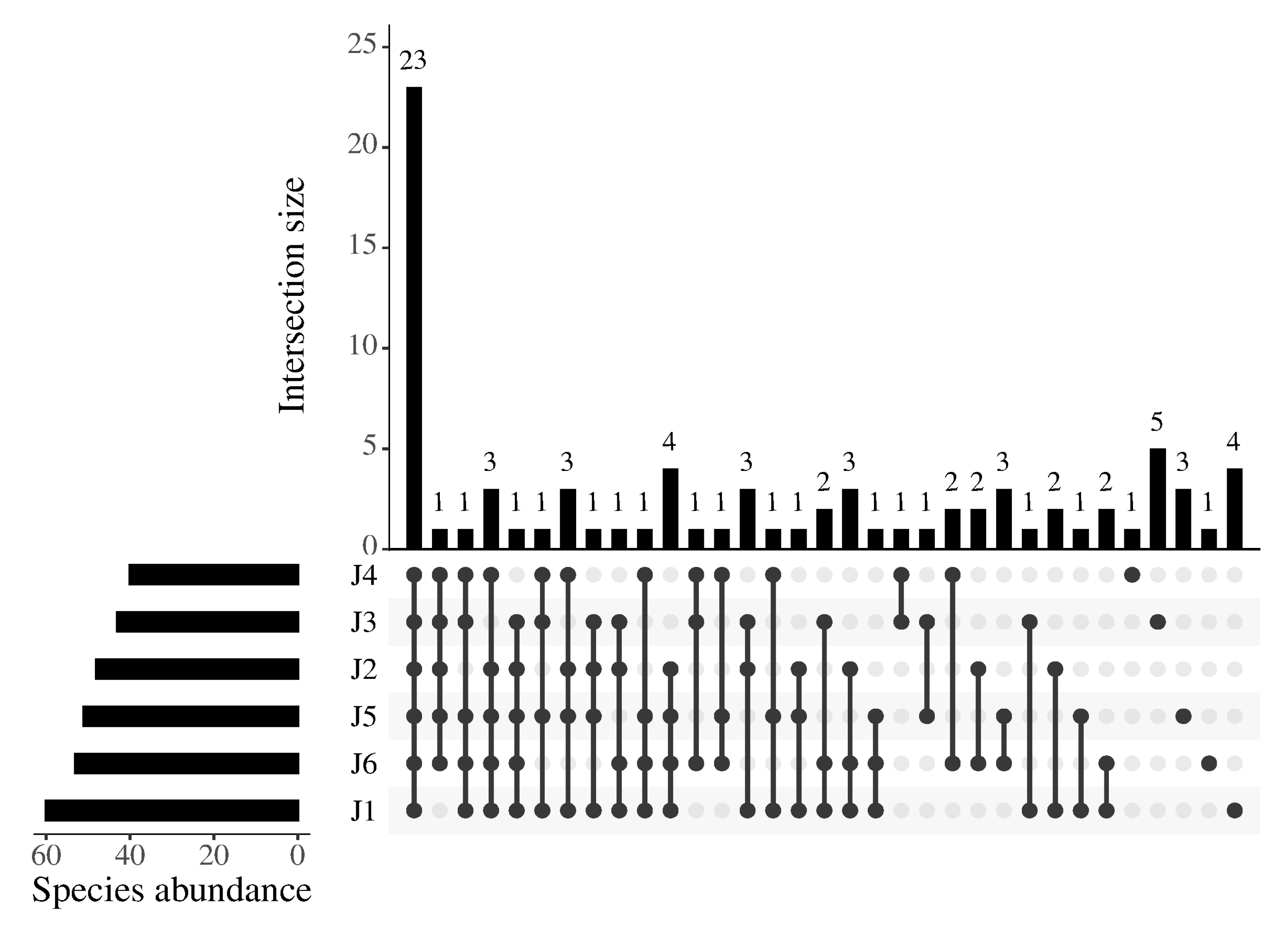
3.1. Diversity of Fish Species in Different River Segments
3.2. Composition of Fish Communities in Continuous River Segments
3.3. Composition of Fish Communities Within River Segments
3.4. Impact of Environmental Factors on Fish Species
4. Discussion
4.1. Similar Fish Community Structures Among Continuous Cascading Hydropower Station River Segments
4.2. Uniformity in Fish Community Structures Within One Independent River Segment Isolated by Cascading Hydropower Stations
4.3. Impact of Environmental Factors on Fish Distribution
4.4. The Limitations of eDNA Technology
5. Conclusions
Supplementary Materials
Author Contributions
Funding
Institutional Review Board Statement
Informed Consent Statement
Data Availability Statement
Acknowledgments
Conflicts of Interest
Abbreviations
| eDNA | Environmental deoxyribonucleic acid |
| OTUs | Operational taxonomic units |
| RDA | Redundancy analysis |
| FV | Flow velocity |
| TEMP | Water temperature |
| DO | Dissolved oxygen |
| SAL | Salinity |
| EC | Electrical conductivity |
| PCR | Polymerase chain reaction |
| ASVs | Amplicon sequence variants |
| NMDS | Non-metric multidimensional scaling |
| DCA | Detrended correspondence analysis |
References
- International Hydropower Association (IHA). 2023 World Hydropower Outlook. 2023. Available online: https://www.hydropower.org/publications/2023-world-hydropower-outlook/ (accessed on 13 August 2024).
- Briones-Hidrovo, A.; Uche, J.; Martínez-Gracia, A. Hydropower and environmental sustainability: A holistic assessment using multiple biophysical indicators. Ecol. Indic. 2021, 127, 107748. [Google Scholar] [CrossRef]
- Abbasi, T.; Abbasi, S.A. Small hydro and the environmental implications of its extensive utilization. Renew. Sustain. Energy Rev. 2011, 15, 2134–2143. [Google Scholar] [CrossRef]
- Agarwal, N.; Singh, G.; Singh, H.; Kumar, N.; Rawat, U. Ecological impacts of dams on the fish diversity of Bhagirathi River in Central Himalaya (India). J. Coldw. Fish. Sci. 2018, 1, 74–84. [Google Scholar] [CrossRef]
- Gierszewski, P.J.; Habel, M.; Szmanda, J.; Luc, M. Evaluating effects of dam operation on flow regimes and riverbed adaptation to those changes. Sci. Total Environ. 2020, 710, 136202. [Google Scholar] [CrossRef] [PubMed]
- Jeppesen, E.; Meerhoff, M.; Holmgren, K.; González-Bergonzoni, I.; Teixeira-de Mello, F.; Declerck, S.A.J.; De Meester, L.; Søndergaard, M.; Lauridsen, T.L.; Bjerring, R.; et al. Impacts of climate warming on lake fish community structure and potential effects on ecosystem function. Hydrobiologia 2010, 646, 73–90. [Google Scholar] [CrossRef]
- Sun, H.; He, D.; Sui, X.; Chen, Y. Predicting impacts of future climate change and hydropower development towards habitats of native and non-native fishes. Sci. Total Environ. 2020, 707, 135419. [Google Scholar] [CrossRef] [PubMed]
- Zuo, Q.; Liang, S. Effects of dams on river flow regime based on IHA/RVA. Proc. IAHS 2015, 368, 275–280. [Google Scholar] [CrossRef]
- Zhang, P.; Qiao, Y.; Grenouillet, G.; Lek, S.; Cai, L.; Chang, J. Responses of spawning thermal suitability to climate change and hydropower operation for typical fishes below the Three Gorges Dam. Ecol. Indic. 2021, 121, 107186. [Google Scholar] [CrossRef]
- Japoshvili, B.; Couto, T.B.A.; Mumladze, L.; Epitashvili, G.; McClain, M.E.; Jenkins, C.N.; Anderson, E.P. Hydropower development in the Republic of Georgia and implications for freshwater biodiversity conservation. Biol. Conserv. 2021, 263, 109359. [Google Scholar] [CrossRef]
- Zeng, Q.; Hu, P.; Wang, H.; Pan, J.; Yang, Z.; Liu, H. The influence of cascade hydropower development on the hydrodynamic conditions impacting the reproductive process of fish with semi-buoyant eggs. Sci. Total Environ. 2019, 689, 865–874. [Google Scholar] [CrossRef]
- Zhou, Y.; Wang, G.; Wu, H.; Chen, P.; Li, D.; Jin, Z.; Guo, C.; Ren, S.; Gao, Y. Changes in flow and sediment transport caused by cascade hydropower in the upper reaches of Yangtze River and their influence on spawning of Coreius heterodon. Catena 2024, 235, 107622. [Google Scholar] [CrossRef]
- Li, A.; Fan, J.; Guo, F.; Carpenter-Bundhoo, L.; Huang, G.; Shi, Y.; Ao, Y.; Wang, J. Assessing the impact of river connectivity on fish biodiversity in the Yangtze River Basin using a multi-index evaluation framework. Environ. Res. 2024, 242, 117729. [Google Scholar] [CrossRef]
- Wang, Z.; Wang, X.; Wu, B.; Xiang, P.; Wen, Q.; Li, S.; Ma, D.; Liu, F.; Jin, Y.; Song, Z. Fish diversity in the Yongning River, a tributary with small cascade dams in the upper Yangtze River. Acta Ecol. Sin. 2023, 43, 9643–9661. (In Chinese) [Google Scholar] [CrossRef]
- Koslow, J.A. The role of acoustics in ecosystem-based fishery management. ICES J. Mar. Sci. 2009, 66, 966–973. [Google Scholar] [CrossRef]
- Lawson, G. Species identification of pelagic fish schools on the South African continental shelf using acoustic descriptors and ancillary information. ICES J. Mar. Sci. 2001, 58, 275–287. [Google Scholar] [CrossRef]
- Barange, M.; Hampton, I.; Pillar, S.; Soule, M. Determination of composition and vertical structure of fish communities using in situ measurements of acoustic target strength. Can. J. Fish. Aquat. Sci. 1994, 51, 99–109. [Google Scholar] [CrossRef]
- Chen, X.; Li, S.; Zhao, J.; Yao, M. Passive eDNA sampling facilitates biodiversity monitoring and rare species detection. Environ. Int. 2024, 187, 108706. [Google Scholar] [CrossRef]
- Osathanunkul, M. Species-specific eDNA assay development for enhanced box jellyfish risk management in coastal environments. Sci. Total Environ. 2024, 931, 172900. [Google Scholar] [CrossRef]
- Poyntz-Wright, I.P.; Harrison, X.A.; Pedersen, S.; Tyler, C.R. Effectiveness of eDNA for monitoring riverine macroinvertebrates. Sci. Total Environ. 2024, 941, 173621. [Google Scholar] [CrossRef]
- Zhang, Z.; Bao, Y.; Fang, X.; Ruan, Y.; Rong, Y.; Yang, G. A circumpolar study of surface zooplankton biodiversity of the Southern Ocean based on eDNA metabarcoding. Environ. Res. 2024, 255, 119183. [Google Scholar] [CrossRef]
- Nardi, C.F.; Llompart, F.; Chalde, T.; Bruno, D.O.; Ceballos, S.G. Evaluation of fish biodiversity in the Beagle Channel (Tierra del Fuego-Argentina) using environmental DNA (eDNA) metabarcoding. Estuar. Coast. Shelf Sci. 2024, 303, 108819. [Google Scholar] [CrossRef]
- Gu, S.; Deng, Y.; Wang, P.; Li, C.; Shi, D.; Wang, S. Assessing riverine fish community diversity and stability by eDNA metabarcoding. Ecol. Indic. 2023, 157, 111222. [Google Scholar] [CrossRef]
- Fish Research Department of Hubei Aquatic Organisms Research Institute. Fish of the Yangtze River, 1st ed.; Science Press: Beijing, China, 1976. [Google Scholar]
- Ding, R.H. Fish of Sichuan, 1st ed.; Sichuan, Sichuan Science & Technology Press: Chengdu, China, 1994. [Google Scholar]
- Guo, T.S.; Sun, Z.Y.; He, X.H.; Jin, W.; Chen, Y.L. Colored Atlas of Fishes in Sichuan, 1st ed.; Science Press: Beijing, China, 2021. [Google Scholar]
- Taberlet, P.; Bonin, A.; Zinger, L.; Coissac, E. Environmental DNA: For Biodiversity Research and Monitoring; Oxford University Press: London, UK, 2018. [Google Scholar] [CrossRef]
- Cheng, R.; Zhou, X.; Zhang, Y.; Li, Q.; Zhang, J.; Luo, Y.; Chen, Q.; Liu, Z.; Li, Y.; Shen, Y. eDNA reveals spatial homogenization of fish diversity in a mountain river affected by a reservoir cascade. J. Environ. Manag. 2024, 361, 121248. [Google Scholar] [CrossRef] [PubMed]
- Bolyen, E.; Rideout, J.R.; Dillon, M.R.; Bokulich, N.A.; Abnet, C.C.; Al-Ghalith, G.A.; Alexander, H.; Alm, E.J.; Arumugam, M.; Asnicar, F.; et al. Reproducible, interactive, scalable and extensible microbiome data science using QIIME 2. Nat. Biotechnol. 2019, 37, 852–857. [Google Scholar] [CrossRef]
- Callahan, B.J.; McMurdie, P.J.; Rosen, M.J.; Han, A.W.; Johnson, A.J.; Holmes, S.P. DADA2: High-resolution sample inference from Illumina amplicon data. Nat. Methods 2016, 13, 581–583. [Google Scholar] [CrossRef] [PubMed]
- Oksanen, J.; Blanchet, F.; Kindt, R.; Legendre, P.; Minchin, P.; O’Hara, R.; Simpson, G.; Sólymos, P.; Stevens, M.; Wagner, H. Vegan: Community Ecology Package. R package Version 2.5-7. 2020. Available online: http://CRAN.R-project.org/package=vegan (accessed on 10 March 2022).
- Li, T.; Tang, L.; Wang, L.; An, L.; Wang, J.; Mo, K.; Chen, Q. Distribution characteristics and ecological types changes in fish communities under hydropower development from Xiluodu to Xiangjiaba reach. Acta Ecol. Sin. 2020, 40, 1473–1485. (In Chinese) [Google Scholar] [CrossRef]
- Zhu, Y.; Lu, C.; Hu, H.; Wang, Z.; Jia, Y.; He, M.; Huang, X.; Lei, G. Changes in fish community structure in West Dongting Lake after the operation of the Three Gorges Dam. J. Lake Sci. 2014, 26, 844–852. [Google Scholar] [CrossRef]
- Xiong, M.; Shao, K.; Shi, F.; Xu, N.; Liu, X.; Ye, Q.; Zhu, B. Impact of impounding operation duration of Yinpan Hydropower Station on the Wujiang River on the fish community structure and ecological types. J. Hydrol. 2021, 43, 25–34. (In Chinese) [Google Scholar] [CrossRef]
- Orsi, M.L.; Britton, J.R. Long-term changes in the fish assemblage of a neotropical hydroelectric reservoir. J. Fish Biol. 2014, 84, 64–70. [Google Scholar] [CrossRef]
- Ma, B.; Chu, Z.; Zhou, R.; Xu, B.; Wei, K.; Li, B.; Zhao, T. Longitudinal patterns of fish assemblages in relation to environmental factors in the Anning River, China. Ecol. Indic. 2023, 146, 1473–1485. [Google Scholar] [CrossRef]
- Akstinas, V.; Virbickas, T.; Meilutyte-Lukauskiene, D.; Sarauskiene, D.; Vezza, P.; Kriauciuniene, J.; Rakauskas, V.; Steponenas, A.; Jurgelenaite, A.; Jakimavicius, D.; et al. Multicomponent assessment of the impact of hydropower cascade on fish metrics. Sci. Total Environ. 2024, 906, 167541. [Google Scholar] [CrossRef] [PubMed]
- Freedman, J.A.; Lorson, B.D.; Taylor, R.B.; Carline, R.F.; Stauffer, J.R. River of the dammed: Longitudinal changes in fish assemblages in response to dams. Hydrobiologia 2013, 727, 19–33. [Google Scholar] [CrossRef]
- Couto, T.B.A.; Rezende, R.S.; de Aquino, P.P.U.; Costa-Pereira, R.; de Campos, G.L.; Occhi, T.V.T.; Vitule, J.R.S.; Espírito-Santo, H.M.V.; Soares, Y.F.F.; Olden, J.D. Effects of small hydropower dams on macroinvertebrate and fish assemblages in southern Brazil. Freshw. Biol. 2023, 68, 956–971. [Google Scholar] [CrossRef]
- Moyle, P.B.; Mount, J.F. Homogenous rivers, homogenous faunas. Proc. Natl. Acad. Sci. USA 2007, 104, 5711–5712. [Google Scholar] [CrossRef]
- de Jong, M.F.; Baptist, M.J.; van Hal, R.; de Boois, I.J.; Lindeboom, H.J.; Hoekstra, P. Impact on demersal fish of a large-scale and deep sand extraction site with ecosystem-based landscaped sandbars. Estuar. Coast. Shelf Sci. 2014, 146, 83–94. [Google Scholar] [CrossRef]
- Duan, H.; Cao, Z.; Shen, M.; Liu, D.; Xiao, Q. Detection of illicit sand mining and the associated environmental effects in China’s fourth largest freshwater lake using daytime and nighttime satellite images. Sci. Total Environ. 2019, 647, 606–618. [Google Scholar] [CrossRef]
- Jackson, D.A.; Peres-Neto, P.R.; Olden, J.D. What controls who is where in freshwater fish communities—The roles of biotic, abiotic, and spatial factors. Can. J. Fish. Aquat. Sci. 2001, 58, 157–170. [Google Scholar] [CrossRef]
- Gutiérrez-Estrada, J.C.; Sanz-Fernández, V.; Pulido-Calvo, I.; Gil-Herrera, J. Improving the interpretability of the effects of environmental factors on abundance of fish stocks. Ecol. Indic. 2020, 117, 106533. [Google Scholar] [CrossRef]
- Punzón, A.; López-López, L.; González-Irusta, J.M.; Preciado, I.; Hidalgo, M.; Serrano, A.; Tel, E.; Somavilla, R.; Polo, J.; Blanco, M.; et al. Tracking the effect of temperature in marine demersal fish communities. Ecol. Indic. 2021, 121, 107142. [Google Scholar] [CrossRef]
- Zdasiuk, B.J.; Chen, C.Y.; McCormick, S.D.; Nislow, K.H.; Singley, J.G.; Kelly, J.T. Evluating acid-aluminum stress in streams of the Northeastern U.S. at watershed, fish community and physiological scales. Ecol. Indic. 2022, 144, 109480. [Google Scholar] [CrossRef]
- Cheng, F.; Li, W.; Castello, L.; Murphy, B.R.; Xie, S. Potential effects of dam cascade on fish: Lessons from the Yangtze River. Rev. Fish Biol. Fish. 2015, 25, 569–585. [Google Scholar] [CrossRef]
- Pereira, H.R.; Gomes, L.F.; Soares, P.T.; Martins, P.R.; Pelicice, F.M.; Teresa, F.B.; Vieira, L.C.G. Long-term responses of fish diversity to river regulation: A multi-metric approach. Environ. Biol. Fishes 2021, 104, 71–84. [Google Scholar] [CrossRef]
- Perônico, P.B.; Agostinho, C.S.; Fernandes, R.; Pelicice, F.M. Community reassembly after river regulation: Rapid loss of fish diversity and the emergence of a new state. Hydrobiologia 2019, 847, 519–533. [Google Scholar] [CrossRef]
- Granzotti, R.V.; Miranda, L.E.; Agostinho, A.A.; Gomes, L.C. Downstream impacts of dams: Shifts in benthic invertivorous fish assemblages. Aquat. Sci. 2018, 80, 28. [Google Scholar] [CrossRef]
- David Allan, J.; Castillo, M.M. Stream Ecology: Structure and Function of Running Waters; Springer: Dordrecht, Germany, 2007. [Google Scholar]
- Yao, Y.; Mao, Z.; Gu, X.; Zeng, Q.; Chen, H.; Wang, Y.; Jeppesen, E. Influence of fishery management on trophic interactions and biomass fluxes in Lake Taihu based on a trophic mass-balance model exercise on a long-term data series. Ecol. Indic. 2024, 158, 111343. [Google Scholar] [CrossRef]
- Xiong, T.S.; Liu, W.G. Investigation report on fish resources in rivers of Chongqing. J. Chongqing Fish. 1993, 16–20. (In Chinese) [Google Scholar]
- Sahu, A.; Singh, M.; Amin, A.; Malik, M.M.; Qadri, S.N.; Abubakr, A.; Teja, S.S.; Dar, S.A.; Ahmad, I. A systematic review on environmental DNA (eDNA) science: An eco-friendly survey method for conservation and restoration of fragile ecosystems. Ecol. Indic. 2025, 173, 113441. [Google Scholar] [CrossRef]
- Jane, S.F.; Wilcox, T.M.; McKelvey, K.S.; Young, M.K.; Schwartz, M.K.; Lowe, W.H.; Letcher, B.H.; Whiteley, A.R. Distance, flow and PCR inhibition: eDNA dynamics in two headwater streams. Mol. Ecol. Resour. 2015, 15, 216–227. [Google Scholar] [CrossRef]







| No. | Hydropower Facility Name | Storage Level (m) | Dam Type | Completion Time | Fish Passage Facilities |
|---|---|---|---|---|---|
| 1 | Sanxing | 262.5 | High Dam | 2001 | No |
| 2 | Sankaishi | 246.0 | Low Dam | 1979 | No |
| 3 | Tongnan | 236.0 | High Dam | 2018 | No |
| 4 | Fujin | 229.0 | High Dam | 2006 | No |
| 5 | Anju | 216.0 | High Dam | 1992 | No |
| 6 | Weituo | 206.0 | High Dam | 1992 | No |
Disclaimer/Publisher’s Note: The statements, opinions and data contained in all publications are solely those of the individual author(s) and contributor(s) and not of MDPI and/or the editor(s). MDPI and/or the editor(s) disclaim responsibility for any injury to people or property resulting from any ideas, methods, instructions or products referred to in the content. |
© 2025 by the authors. Licensee MDPI, Basel, Switzerland. This article is an open access article distributed under the terms and conditions of the Creative Commons Attribution (CC BY) license (https://creativecommons.org/licenses/by/4.0/).
Share and Cite
Deng, C.; Huang, S.; Chen, B.; Huang, R.; Zhang, J.; Xiao, Z.; Ma, C.; Wang, Z.; Liu, X. eDNA Metabarcoding Reveals Homogenization of Fish in Fujiang Segments Isolated by Cascading Hydroelectric Stations. Animals 2025, 15, 2031. https://doi.org/10.3390/ani15142031
Deng C, Huang S, Chen B, Huang R, Zhang J, Xiao Z, Ma C, Wang Z, Liu X. eDNA Metabarcoding Reveals Homogenization of Fish in Fujiang Segments Isolated by Cascading Hydroelectric Stations. Animals. 2025; 15(14):2031. https://doi.org/10.3390/ani15142031
Chicago/Turabian StyleDeng, Chao, Shixia Huang, Bolin Chen, Rong Huang, Jiaqi Zhang, Zhihui Xiao, Chengcheng Ma, Zhijian Wang, and Xiaohong Liu. 2025. "eDNA Metabarcoding Reveals Homogenization of Fish in Fujiang Segments Isolated by Cascading Hydroelectric Stations" Animals 15, no. 14: 2031. https://doi.org/10.3390/ani15142031
APA StyleDeng, C., Huang, S., Chen, B., Huang, R., Zhang, J., Xiao, Z., Ma, C., Wang, Z., & Liu, X. (2025). eDNA Metabarcoding Reveals Homogenization of Fish in Fujiang Segments Isolated by Cascading Hydroelectric Stations. Animals, 15(14), 2031. https://doi.org/10.3390/ani15142031

