Hypernatremia, Hyperlipemia and Hemorrhagic Enteritis in a Hypodipsic Dog with Corpus Callosum Dysplasia
Simple Summary
Abstract
1. Introduction
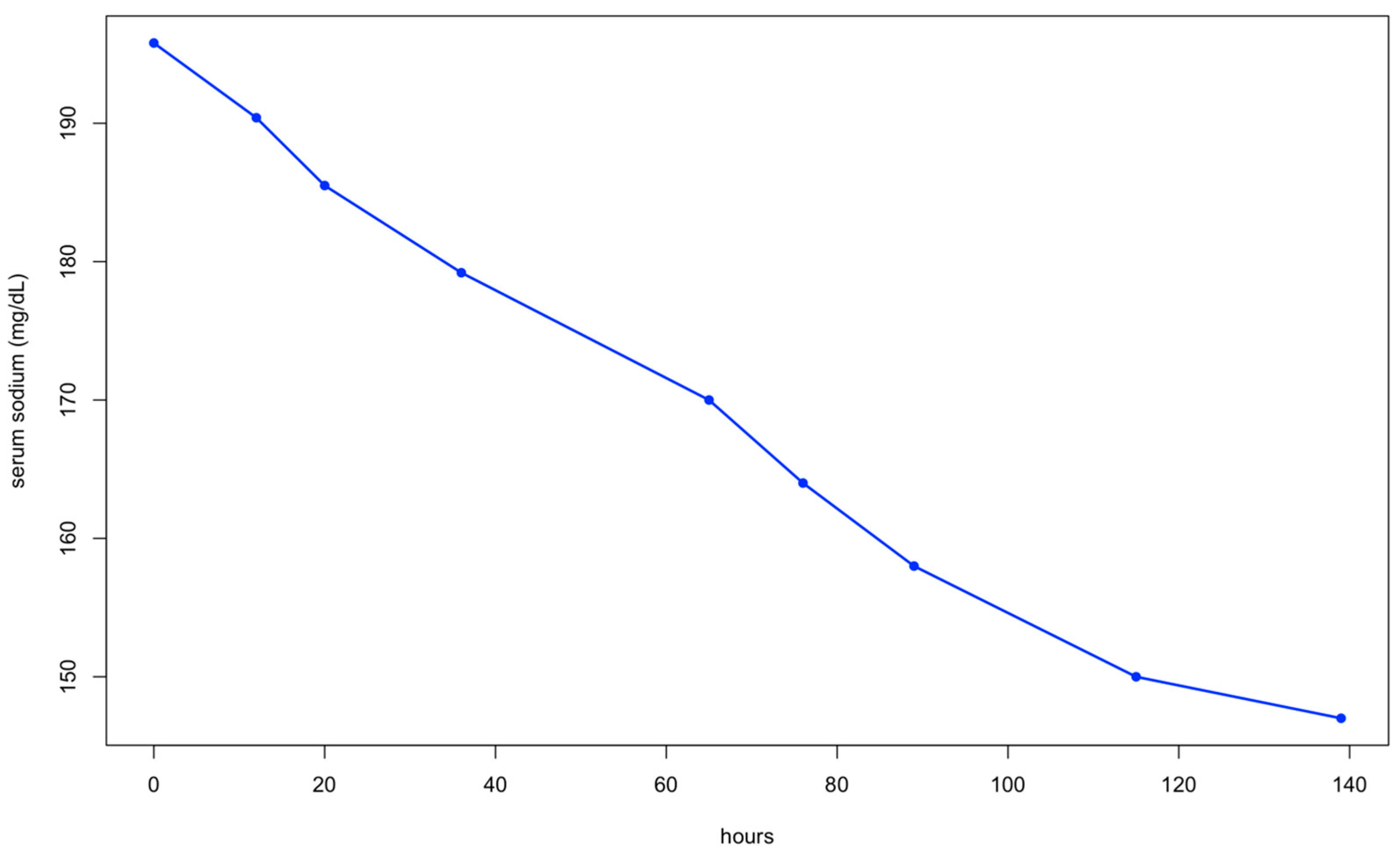
2. Case Presentation
3. Discussion
4. Conclusions
Author Contributions
Funding
Institutional Review Board Statement
Informed Consent Statement
Data Availability Statement
Conflicts of Interest
References
- Jeffery, N.D.; Watson, P.J.; Abramson, C.; Notenboom, A. Brain malformations associated with primary adipsia identified using magnetic resonance imaging. Vet. Rec. 2003, 152, 436–438. [Google Scholar] [CrossRef] [PubMed]
- Cridge, H.; Zoto, A.; Milne, M.E.; Burkland, E. Corpus callosum abnormality in a puppy with hypernatraemia. J. Vet. Intern. Med. 2023, 37, 123–126. [Google Scholar] [CrossRef]
- Liatis, T.; Madden, M.; Marioni-Henry, K. Bruxism in awake dogs as a clinical sign of forebrain disease: 4 cases. J. Vet. Intern. Med. 2022, 36, 2132–2141. [Google Scholar] [CrossRef] [PubMed]
- Gonçalves, R.; Volk, H.; Smith, P.M.; Penderis, J.; Garosi, L.; MacKillop, E.; de Stefani, A.; Cherubini, G.; McConnell, J.F. Corpus callosal abnormalities in dogs. J. Vet. Intern. Med. 2014, 28, 1275–1279. [Google Scholar] [CrossRef]
- Bagley, R.S.; de Lahunta, A.; Randolph, J.F.; Center, S.A. Hypernatremia, adipsia, and diabetes insipidus in a dog with hypothalamic dysplasia. J. Am. Anim. Hosp. Assoc. 1993, 29, 267–271. [Google Scholar]
- Chapman, P.; Petrus, D.; Neiger, R. Hypodipsic hypernatremia in eight dogs. Tierärztliche Praxis Kleintiere. 2009, 37, 391–398. [Google Scholar]
- DiBartola, S.P.; Johnson, S.E.; Johnson, G.C.; Robertson, G.L. Hypodipsic hypernatremia in a dog with defective osmoregulation of antidiuretic hormone. J. Am. Vet. Med. Assoc. 1994, 204, 922–925. [Google Scholar] [CrossRef]
- Sullivan, S.A.; Harmon, B.G.; Purinton, P.T.; Greene, C.E.; Glerum, L.E. Lobar holoprosencephaly in a Miniature Schnauzer with hypodipsic hypernatremia. J. Am. Vet. Med. Assoc. 2003, 223, 1783–1787. [Google Scholar] [CrossRef]
- Shimokawa Miyama, T.; Iwamoto, E.; Umeki, S.; Nakaichi, M.; Okuda, M.; Mizuno, T. Magnetic resonance imaging and clinical findings in a miniature Schnauzer with hypodipsic hypernatremia. J. Vet. Med. Sci. 2009, 71, 1387–1391. [Google Scholar] [CrossRef]
- Johnson, P.J.; Barry, E.F.; Luh, W.M.; Davies, E. The use of diffusion tractography to characterize a corpus callosum malformation in a dog. J. Vet. Intern. Med. 2019, 33, 743–750. [Google Scholar] [CrossRef]
- Ahmed, F.E.; Lutfi, M.F. Hypertriglyceridemia in Infants and Children with Hypernatremia. Int. J. Health Sci. 2015, 9, 257–263. [Google Scholar] [CrossRef]
- Proulx, F.; Weber, M.L.; Collu, R.; Lelièvre, M.; Larbrisseau, A.; Delisle, M. Hypothalamic dysfunction in a child: A distinct syndrome? Report of a case and review of the literature. Eur. J. Pediatr. 1993, 152, 526–529. [Google Scholar] [CrossRef] [PubMed]
- Crook, M.; Robinson, R.; Swaminathan, R. Hypertriglyceridaemia in a child with hypernatraemia due to a hypothalamic tumour. Ann. Clin. Biochem. 1995, 32 Pt 2, 226–228. [Google Scholar] [CrossRef] [PubMed]
- Sklar, C.A.; Grumbach, M.M.; Kaplan, S.L.; Conte, F.A. Hormonal and metabolic abnormalities associated with central nervous system germinoma in children and adolescents and the effect of therapy: Report of 10 patients. J. Clin. Endocrinol. Metab. 1981, 52, 9–16. [Google Scholar] [CrossRef]
- DeRubertis, F.R.; Michelis, M.F.; Davis, B.B. “Essential” hypernatremia. Report of three cases and review of the literature. Arch. Intern. Med. 1974, 134, 889–895. [Google Scholar] [CrossRef]
- Caggero, R.; Pesce, F.; Barcella, L.; Boragno, F.; Corea, D.; de Negni, M. Neurogenic Hypernatremia Syndrome in Children. Minerva. Pediatr. 1991, 43, 39–43, (In Italian with English abstract). [Google Scholar]
- Hanselman, B.; Kruth, S.; Poma, R.; Nykamp, S. Hypernatremia and hyperlipidemia in a dog with central nervous system lymphosarcoma. J. Vet. Intern. Med. 2006, 20, 1029–1032. [Google Scholar] [CrossRef]
- Hayek, A.; Bryant, P.D.; Woodside, W.F. Hypernatremia induces hyperlipemia and a fatty liver. Metabolism 1983, 32, 1–3. [Google Scholar] [CrossRef]
- Wang, D.; Yin, Y.; Yao, Y. Advances in sepsis-associated liver dysfunction. Burn Trauma 2014, 2, 2321–3868. [Google Scholar] [CrossRef]
- Lu, Y.; Shi, Y.; Wu, Q.; Sun, X.; Zhang, W.Z.; Xu, X.L.; Chen, W. An Overview of Drug Delivery Nanosystems for Sepsis-Related Liver Injury Treatment. Int. J. Nanomed. 2023, 18, 765–779. [Google Scholar] [CrossRef]
- Van Heerden, J.; Geel, J.; Moore, D.J. Hypodipsic hypernatraemia in a miniature schnauzer. J. S. Afr. Vet. Assoc. 1992, 63, 39–42. [Google Scholar] [PubMed]
- Ben-Amitai, D.; Rachmel, A.; Levy, Y.; Sivan, Y.; Nitzan, M.; Steinherz, R. Hypodipsic hypernatremia and hypertriglyceridemia associated with cleft lip and cleft palate: A new hypothalamic dysfunction syndrome? Am. J. Med. Genet. 1990, 36, 275–278. [Google Scholar] [CrossRef] [PubMed]
- Shimazu, T. Central nervous system regulation of liver and adipose tissue metabolism. Diabetologia 1981, 20 (Suppl. S1), 343–356. [Google Scholar] [CrossRef] [PubMed]
- Frohman, L.A.; Bernardis, L.L.; Schnatz, J.D.; Burek, L. Plasma insulin and triglyceride levels after hypothalamic lesions in weanling rats. Am. J. Physiol. 1969, 216, 1496–1501. [Google Scholar] [CrossRef]
- Hotta, N.; Kauta, H.; Kunieda, T. Inhibitory Effect of Hyperosmolality on Ketogenesis. Diabetes 1981, 30, 128. [Google Scholar]
- Fielding, C.J. Inactivation of lipoprotein lipase in buffered saline solutions. Biochim. Et Biophys. Acta Enzymol 1968, 159, 94–102. [Google Scholar] [CrossRef]
- Rosenson, R.S.; Shott, S.; Tangney, C.C. Hypertriglyceridemia is associated with an elevated blood viscosity Rosenson: Triglycerides and blood viscosity. Atherosclerosis 2002, 161, 433–439. [Google Scholar] [CrossRef]
- Aramburu, J.; López-Rodríguez, C. Brx shines a light on the route from hyperosmolarity to NFAT5. Sci. Signal. 2009, 2, pe20. [Google Scholar] [CrossRef]
- Brocker, C.; Thompson, D.C.; Vasiliou, V. The role of hyperosmotic stress in inflammation and disease. Biomol. Concepts 2012, 3, 345–364. [Google Scholar] [CrossRef]
- Ho, S.N. Intracellular water homeostasis and the mammalian cellular osmotic stress response. J. Cell. Physiol. 2006, 206, 9–15. [Google Scholar] [CrossRef]
- Aramburu, J.; Drews-Elger, K.; Estrada-Gelonch, A.; Minguillón, J.; Morancho, B.; Santiago, V.; López-Rodríguez, C. Regulation of the hypertonic stress response and other cellular functions by the Rel-like transcription factor NFAT5. Biochem. Pharmacol. 2006, 72, 1597–1604. [Google Scholar] [CrossRef] [PubMed]
- Teichberg, S.; Lifshitz, F.; Pergolizzi, R.; Wapnir, R.A. Response of rat intestine to a hyperosmotic feeding. Pediatr. Res. 1978, 12, 720–725. [Google Scholar] [CrossRef] [PubMed]
- Vernia, P.; Gnaedinger, A.; Hauck, W.; Breuer, R.I. Organic anions and the diarrhea of inflammatory bowel disease. Dig. Dis. Sci. 1988, 33, 1353–1358. [Google Scholar] [CrossRef]
- Priyamvada, S.; Gomes, R.; Gill, R.K.; Saksena, S.; Alrefai, W.A.; Dudeja, P.K. Comparison of the composition of faecal fluid in Crohn’s disease and ulcerative colitis. Gut 1982, 23, 326–332. [Google Scholar] [CrossRef]
- Schwartz, L.; Guais, A.; Pooya, M.; Abolhassani, M. Is inflammation a consequence of extracellular hyperosmolarity? J. Inflamm. 2009, 6, 1–10. [Google Scholar] [CrossRef]
- Vertzoni, M.; Goumas, K.; Soderlind, E.; Abrahamsson, B.; Dressman, J.B.; Poulou, A.; Reppas, C. Characterization of the ascending colon fluids in ulcerative colitis. Pharm. Res. 2010, 27, 1620–1626. [Google Scholar] [CrossRef]
- Lowe, D.; Sinha, S.; Manju, P. An Unusual Case of Hypertriglyceridemia Induced Enteritis: 1063. Am. J. Gastroenterol. 2015, 110, S460–S461. [Google Scholar] [CrossRef]
- Ewald, N.; Kloer, H.U. Severe hypertriglyceridemia: An indication for apheresis? Atheroscler. Suppl. 2009, 10, 49–52. [Google Scholar] [CrossRef]
- Gertz, M.A. Acute hyperviscosity: Syndromes and management. Blood 2018, 132, 1379–1385. [Google Scholar] [CrossRef]




Disclaimer/Publisher’s Note: The statements, opinions and data contained in all publications are solely those of the individual author(s) and contributor(s) and not of MDPI and/or the editor(s). MDPI and/or the editor(s) disclaim responsibility for any injury to people or property resulting from any ideas, methods, instructions or products referred to in the content. |
© 2025 by the authors. Licensee MDPI, Basel, Switzerland. This article is an open access article distributed under the terms and conditions of the Creative Commons Attribution (CC BY) license (https://creativecommons.org/licenses/by/4.0/).
Share and Cite
Giannuzzi, P.; Perillo, R.; Cafaro, M.; Paci, S.; Capogrosso, C.; Panarese, M.; Campanile, D. Hypernatremia, Hyperlipemia and Hemorrhagic Enteritis in a Hypodipsic Dog with Corpus Callosum Dysplasia. Animals 2025, 15, 1996. https://doi.org/10.3390/ani15131996
Giannuzzi P, Perillo R, Cafaro M, Paci S, Capogrosso C, Panarese M, Campanile D. Hypernatremia, Hyperlipemia and Hemorrhagic Enteritis in a Hypodipsic Dog with Corpus Callosum Dysplasia. Animals. 2025; 15(13):1996. https://doi.org/10.3390/ani15131996
Chicago/Turabian StyleGiannuzzi, Pasquale, Raffaella Perillo, Mariateresa Cafaro, Serena Paci, Clara Capogrosso, Michele Panarese, and Debora Campanile. 2025. "Hypernatremia, Hyperlipemia and Hemorrhagic Enteritis in a Hypodipsic Dog with Corpus Callosum Dysplasia" Animals 15, no. 13: 1996. https://doi.org/10.3390/ani15131996
APA StyleGiannuzzi, P., Perillo, R., Cafaro, M., Paci, S., Capogrosso, C., Panarese, M., & Campanile, D. (2025). Hypernatremia, Hyperlipemia and Hemorrhagic Enteritis in a Hypodipsic Dog with Corpus Callosum Dysplasia. Animals, 15(13), 1996. https://doi.org/10.3390/ani15131996

