Herd Dominance Influences Dairy Cows’ Use of Heat Abatement Resources in a Silvopastoral System
Simple Summary
Abstract
1. Introduction
2. Materials and Methods
2.1. Animals, Management and Study Design
2.2. Study Measurements
2.3. Thermal Environment
2.4. Animal Behavior
2.5. Statistical Analysis
3. Results
3.1. Thermal Environment
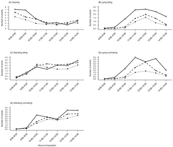
3.2. Animals Behavior
4. Discussion
5. Conclusions
Author Contributions
Funding
Institutional Review Board Statement
Informed Consent Statement
Data Availability Statement
Acknowledgments
Conflicts of Interest
References
- Carvajal, M.A.; Alaniz, A.J.; Gutiérrez-Gómez, C.; Vergara, P.M.; Sejian, V.; Bozinovic, F. Increasing Importance of Heat Stress for Cattle Farming under Future Global Climate Scenarios. Sci. Total Environ. 2021, 801, 149661. [Google Scholar] [CrossRef]
- North, M.A.; Franke, J.A.; Ouweneel, B.; Trisos, C.H. Global Risk of Heat Stress to Cattle from Climate Change. Environ. Res. Lett. 2023, 18, 094027. [Google Scholar] [CrossRef]
- Broom, D.M. Components of Sustainable Animal Production and the Use of Silvopastoral Systems. Rev. Bras. Zootec. 2017, 46, 683–688. [Google Scholar] [CrossRef]
- Jose, S.; Walter, D.; Mohan Kumar, B. Ecological Considerations in Sustainable Silvopasture Design and Management. Agrofor. Syst. 2019, 93, 317–331. [Google Scholar] [CrossRef]
- De-Sousa, K.T.; Deniz, M.; Dittrich, J.R.; Hötzel, M.J. Effects of Tree Arrangements of Silvopasture System on Behaviour and Performance of Cattle: A Systematic Review. Ann. Anim. Sci. 2023, 23, 629–639. [Google Scholar] [CrossRef]
- Baker, E.; Bezner Kerr, R.; Deryng, D.; Farrell, A.; Gurney-Smith, H.; Thornton, P. Mixed Farming Systems: Potentials and Barriers for Climate Change Adaptation in Food Systems. Curr. Opin. Environ. Sustain. 2023, 62, 101270. [Google Scholar] [CrossRef]
- Ma, Z.; Bork, E.W.; Carlyle, C.N.; Tieu, J.; Gross, C.D.; Chang, S.X. Carbon Stocks Differ among Land-Uses in Agroforestry Systems in Western Canada. Agric. For. Meteorol. 2022, 313, 108756. [Google Scholar] [CrossRef]
- Aryal, D.R.; Gómez-González, R.R.; Hernández-Nuriasmú, R.; Morales-Ruiz, D.E. Carbon Stocks and Tree Diversity in Scattered Tree Silvopastoral Systems in Chiapas, Mexico. Agrofor. Syst. 2019, 93, 213–227. [Google Scholar] [CrossRef]
- Chebli, Y.; El Otmani, S.; Elame, F.; Moula, N.; Chentouf, M.; Hornick, J.-L.; Cabaraux, J.-F. Silvopastoral System in Morocco: Focus on Their Importance, Strategic Functions, and Recent Changes in the Mediterranean Side. Sustainability 2021, 13, 10744. [Google Scholar] [CrossRef]
- Pallauf, M.; Von Cramon-Taubadel, S.; Hüttel, S. Cattle Grazing under Trees: German Farmers’ Intentions toAdopt Modern Silvopastoral Systems under Climate Change RiskPerceptions; University of Goettingen: Goettingen, Germany, 2025. [Google Scholar]
- Renaudeau, D.; Collin, A.; Yahav, S.; De Basilio, V.; Gourdine, J.L.; Collier, R.J. Adaptation to Hot Climate and Strategies to Alleviate Heat Stress in Livestock Production. Animal 2012, 6, 707–728. [Google Scholar] [CrossRef]
- McDonald, P.V.; von Keyserlingk, M.A.G.; Weary, D.M. Hot Weather Increases Competition between Dairy Cows at the Drinker. J. Dairy Sci. 2020, 103, 3447–3458. [Google Scholar] [CrossRef] [PubMed]
- Cardoso, C.S.; von Keyserlingk, M.A.G.; Machado Filho, L.C.P.; Hötzel, M.J. Dairy Heifer Motivation for Access to a Shaded Area. Animals 2021, 11, 2507. [Google Scholar] [CrossRef] [PubMed]
- Vieira, F.M.C.; Soares, A.A.; Herbut, P.; Vismara, E.d.S.; Godyń, D.; Santos, A.C.Z.D.; Lambertes, T.d.S.; Caetano, W.F. Spatio-Thermal Variability and Behaviour as Bio-Thermal Indicators of Heat Stress in Dairy Cows in a Compost Barn: A Case Study. Animals 2021, 11, 1197. [Google Scholar] [CrossRef]
- Bica, G.S.; Machado Filho, L.C.P.; Teixeira, D.L.; De-Sousa, K.T.; Hötzel, M.J. Time of Grain Supplementation and Social Dominance Modify Feeding Behaviour of Heifers in Rotational Grazing Systems. Front. Vet. Sci. 2020, 7, 61. [Google Scholar] [CrossRef] [PubMed]
- Coimbra, P.A.D.; Machado Filho, L.C.P.; Hötzel, M.J. Effects of Social Dominance, Water Trough Location and Shade Availability on Drinking Behaviour of Cows on Pasture. Appl. Anim. Behav. Sci. 2012, 139, 175–182. [Google Scholar] [CrossRef]
- Foris, B.; Lecorps, B.; Krahn, J.; Weary, D.M.; von Keyserlingk, M.A.G. The Effects of Cow Dominance on the Use of a Mechanical Brush. Sci. Rep. 2021, 11, 22987. [Google Scholar] [CrossRef]
- Vieira, F.M.C.; Deniz, M.; Vismara, E.S.; Herbut, P.; Pilatti, J.A.; Sponchiado, M.Z.; De Oliveira Puretz, B. Thermoregulatory and Behaviour Responses of Dairy Heifers Raised on a Silvopastoral System in a Subtropical Climate. Ann. Anim. Sci. 2020, 20, 613–627. [Google Scholar] [CrossRef]
- Machado Filho, L.C.P.; Seó, H.L.S.; Daros, R.R.; Wendling, A.V.; Pinheiro Machado, L.C. Voisin Rational Grazing as a Sustainable Alternative for Livestock Production. Animals 2021, 11, 3494. [Google Scholar] [CrossRef]
- Schütz, K.E.; Cox, N.R.; Tucker, C.B. A Field Study of the Behavioral and Physiological Effects of Varying Amounts of Shade for Lactating Cows at Pasture. J. Dairy Sci. 2014, 97, 3599–3605. [Google Scholar] [CrossRef]
- Deniz, M.; De-Sousa, K.T.; Moro, M.F.; Vale, M.M.; Dittrich, J.R.; Machado Filho, L.C.P.; Hötzel, M.J. Social Hierarchy Influences Dairy Cows’ Use of Shade in a Silvopastoral System under Intensive Rotational Grazing. Appl. Anim. Behav. Sci. 2021, 244, 105467. [Google Scholar] [CrossRef]
- Valente, J.d.P.S.; Deniz, M.; De-Sousa, K.T.; Mercadante, M.E.Z.; Dias, L.T. Socialh: An R Package for Determining the Social Hierarchy of Animals Using Data from Individual Electronic Bins. PLoS ONE 2022, 17, e0271337. [Google Scholar] [CrossRef]
- R Core Team. R: A Language and Environment for Statistical Computing. R Foundation for Statistical Computing 2024. Available online: https://www.R-project.org/ (accessed on 30 April 2025).
- Kondo, S.; Hurnik, J.F. Stabilization of Social Hierarchy in Dairy Cows. Appl. Anim. Behav. Sci. 1990, 27, 287–297. [Google Scholar] [CrossRef]
- Giro, A.; Pezzopane, J.R.M.; Barioni Junior, W.; Pedroso, A.d.F.; Lemes, A.P.; Botta, D.; Romanello, N.; Barreto, A.d.N.; Garcia, A.R. Behavior and Body Surface Temperature of Beef Cattle in Integrated Crop-Livestock Systems with or without Tree Shading. Sci. Total Environ. 2019, 684, 587–596. [Google Scholar] [CrossRef] [PubMed]
- Vizzotto, E.F.; Fischer, V.; Thaler Neto, A.; Abreu, A.S.; Stumpf, M.T.; Werncke, D.; Schmidt, F.A.; McManus, C.M. Access to Shade Changes Behavioral and Physiological Attributes of Dairy Cows during the Hot Season in the Subtropics. Animal 2015, 9, 1559–1566. [Google Scholar] [CrossRef] [PubMed]
- Stivanin, S.C.B.; Werncke, D.; Vizzotto, E.F.; Stumpf, M.T.; Neto, A.T.; Fischer, V. Variation in Available Shaded Area Changes Behaviour Parameters in Grazing Dairy Cows during the Warm Season. Rev. Bras. Zootec. 2019, 48. [Google Scholar] [CrossRef]
- Deniz, M.; De-Sousa, K.T.; Gomes, I.C.; Fabro, J.A.; do Vale, M.M.; Dittrich, J.R. Development and Application of an Autonomous Data Logger to Measure Environmental Variables in Livestock Farming. Int. J. Environ. Sci. Technol. 2022, 19, 8699–8712. [Google Scholar] [CrossRef]
- Buffington, D.E.; Collazo-Arocho, A.; Canton, G.H.; Pitt, D.; Thatcher, W.W.; Collier, R.J. Black Globe-Humidity Index (BGHI) as Comfort Equation for Dairy Cows. Am. Soc. Agric. Eng. 1981, 24, 711–714. [Google Scholar] [CrossRef]
- Baêta, F.d.C.; Souza, C.d.F. Ambiência em Edificações Rurais: Conforto Animal; Universidade Federal de Viçosa: Viçosa, Brazil, 2010; ISBN 85-7269-393-9. [Google Scholar]
- Esmay, M.L. Principles of Animal Environment; AVI Publishing Company: Westport, Ireland, 1979. [Google Scholar]
- Volpi, D.; Alves, F.V.; Arguelho, S.; Martinez, M.; Deniz, M.; Zopollatto, M. Environmental Variables Responsible for Zebu Cattle Thermal Comfort Acquisition. Int. J. Biometeorol. 2021, 65. [Google Scholar] [CrossRef]
- Altmann, J. Observational Study of Behavior: Sampling. Behaviour 1974, 49, 227–267. [Google Scholar] [CrossRef]
- Lehner, P.N. Handbook of Ethological Methods; Garland: Cambridge, UK, 1996. [Google Scholar]
- Bates, D.; Mächler, M.; Bolker, B.; Walker, S. Fitting Linear Mixed-Effects Models Using Lme4. J. Stat. Softw. 2015, 67, 1–47. [Google Scholar] [CrossRef]
- Wickham, H. ggplot2: Elegant Graphics for Data Analysis; Springer: New York, NY, USA, 2016; ISBN 978-3-319-24277-4. Available online: https://ggplot2.tidyverse.org (accessed on 30 April 2025).
- Duranton, C.; Gaunet, F. Behavioural Synchronization from an Ethological Perspective: Overview of Its Adaptive Value. Adapt. Behav. 2016, 24, 181–191. [Google Scholar] [CrossRef]
- Nizzi, E.; Foris, B.; Lassalas, J.; Hurtaud, C.; Boudon, A. Monitoring Individual Drinking Behaviour and the Social Hierarchy in Dairy Cows Using Electronic Drinkers. Appl. Anim. Behav. Sci. 2024, 273, 106218. [Google Scholar] [CrossRef]
- Huzzey, J.M.; DeVries, T.J.; Valois, P.; von Keyserlingk, M.A.G. Stocking Density and Feed Barrier Design Affect the Feeding and Social Behavior of Dairy Cattle. J. Dairy Sci. 2006, 89, 126–133. [Google Scholar] [CrossRef]
- Hetti Arachchige, A.D.; Fisher, A.D.; Wales, W.J.; Auldist, M.J.; Hannah, M.C.; Jongman, E.C. Space Allowance and Barriers Influence Cow Competition for Mixed Rations Fed on a Feed-Pad between Bouts of Grazing. J. Dairy Sci. 2014, 97, 3578–3588. [Google Scholar] [CrossRef] [PubMed]
- Singh, A.K.; Bhakat, C.; Singh, P. A Review on Water Intake in Dairy Cattle: Associated Factors, Management Practices, and Corresponding Effects. Trop. Anim. Health Prod. 2022, 54, 154. [Google Scholar] [CrossRef]
- Jensen, M.B.; Vestergaard, M. Invited Review: Freedom from Thirst—Do Dairy Cows and Calves Have Sufficient Access to Drinking Water? J. Dairy Sci. 2021, 104, 11368–11385. [Google Scholar] [CrossRef]
- Rees, H.V.; Hutson, G.D. The Behaviour of Free-Ranging Cattle on an Alpine Range in Australia. J. Range Manag. 1983, 36, 740. [Google Scholar] [CrossRef]
- Broom, D.M. Broom and Fraser’s Domestic Animal Behaviour and Welfare, 6th ed.; CAB International: Oxford, UK, 2022; ISBN 978-1-78924-983-5. [Google Scholar]
- Dimov, D.; Gergovska, Z.; Marinov, I.; Miteva, C.; Kostadinova, G.; Penev, T.; Binev, R. Effect of Stall Surface Temperature and Bedding Type on Comfort Indices in Dairy Cows. Sylwan 2017, 161, 2–16. [Google Scholar]
- Cook, M.J.; Zitzmann, T.; Pfrommer, P. Dynamic Thermal Building Analysis with CFD—Modelling Radiation. J. Build. Perform. Simul. 2008, 1, 117–131. [Google Scholar] [CrossRef]
- Allen, J.D.; Hall, L.W.; Collier, R.J.; Smith, J.F. Effect of Core Body Temperature, Time of Day, and Climate Conditions on Behavioral Patterns of Lactating Dairy Cows Experiencing Mild to Moderate Heat Stress. J. Dairy Sci. 2015, 98, 118–127. [Google Scholar] [CrossRef]
- Burkhardt, F.K.; Wahlen, R.; Hayer, J.J.; Steinhoff-Wagner, J. Association Between Individual Animal Traits, Competitive Success and Drinking Behavior in Dairy Cows After Milking. Animals 2025, 15, 534. [Google Scholar] [CrossRef] [PubMed]
- Daros, R.R.; Bran, J.A.; Hötzel, M.J.; Von Keyserlingk, M.A.G. Readily Available Water Access Is Associated with Greater Milk Production in Grazing Dairy Herds. Animals 2019, 9, 48. [Google Scholar] [CrossRef] [PubMed]




| Autumn | Winter | |||||||
| Social Category | Age | Weight | Milk Yield | Social Category | Age | Weight | Milk Yield | |
| Dominant (n = 5) | 8.4 ± 4.2 | 460.8 ± 25.6 | 18.8 ± 2.9 | Dominant (n = 6) | 7.4 ± 2.8 | 441.8 ± 26.6 | 21.1 ± 2.3 | |
| Intermediate (n = 8) | 5.3 ± 1.7 | 408.5 ± 51.1 | 15.9 ± 2.1 | Intermediate (n = 9) | 4.2 ± 1.9 | 380.1 ± 35.1 | 18.9 ± 2.6 | |
| Subordinate (n = 9) | 4.1 ± 2.4 | 363.4 ± 29.3 | 15.5 ± 4.0 | Subordinate (n = 7) | 4.8 ± 2.8 | 364.2 ± 26.9 | 14.2 ± 2.1 | |
| Spring | Summer | |||||||
| Social Category | Age | Weight | Milk Yield | Social Category | Age | Weight | Milk Yield | |
| Dominant (n = 4) | 6.7 ± 2.7 | 428.2 ± 22.7 | 22.1 ± 0.9 | Dominant (n = 4) | 6.5 ± 2.7 | 438.1 ± 19.5 | 15.4 ± 4.2 | |
| Intermediate (n = 9) | 4.7 ± 1.4 | 388.8 ± 22.9 | 18.3 ± 3.5 | Intermediate (n = 9) | 5.3 ± 1.8 | 405.7 ± 29.2 | 14.8 ± 3.3 | |
| Subordinate (n = 9) | 3.7 ± 1.4 | 364.1 ± 30.3 | 14.7 ± 3.2 | Subordinate (n = 9) | 3.6 ± 2.1 | 393.8 ± 38.4 | 15.3 ± 2.3 | |
| Hours | AT (°C) | RH (%) | WS (m/s) | SST (°C) | |||||||||||
|---|---|---|---|---|---|---|---|---|---|---|---|---|---|---|---|
| Shaded | Sunny | p-Value | Shaded | Sunny | p-Value | Shaded | Sunny | p-Value | Shaded | Sunny | p-Value | ||||
| 08:00–08:55 | 15.9 ± 3.5 | 19.6 ± 4.2 | 0.01 | 88.6 ± 10.1 | 80.9 ± 12.9 | 0.20 | 0.50 ± 0.4 | 0.63 ± 0.5 | 0.23 | 16.6 ± 3.1 | 18.6 ± 4.3 | 0.20 | |||
| 09:00–09:55 | 18.8 ± 3.2 | 23.4 ± 3.4 | <0.001 | 78.6 ± 13.3 | 66.8 ± 11.4 | 0.02 | 0.75 ± 0.4 | 1.00 ± 0.4 | 0.16 | 17.7 ± 3.1 | 23.6 ± 5.1 | <0.001 | |||
| 10:00–10:55 | 21.4 ± 3.1 | 25.6 ± 2.7 | <0.001 | 66.4 ± 11.8 | 57.4 ± 7.4 | 0.03 | 1.20 ± 0.6 | 1.62 ± 0.8 | 0.13 | 19.3 ± 4.1 | 29.3 ± 6.4 | <0.001 | |||
| 11:00–11:55 | 23.1 ± 2.9 | 26.6 ± 2.6 | <0.001 | 57.4 ± 10.4 | 51.6 ± 8.1 | 0.08 | 1.45 ± 0.6 | 1.95 ± 0.8 | 0.07 | 20.2 ± 3.6 | 33.1 ± 6.9 | <0.001 | |||
| 12:00–12:55 | 24.1 ± 2.9 | 27.4 ± 2.5 | <0.001 | 52.4 ± 9.5 | 49.0 ± 8.3 | 0.29 | 1.58 ± 0.9 | 2.00 ± 0.9 | 0.20 | 21.6 ± 4.2 | 35.1 ± 7.1 | <0.001 | |||
| 13:00–13:55 | 24.9 ± 2.9 | 27.7 ± 2.6 | 0.01 | 49.4 ± 8.8 | 47.7 ± 7.9 | 0.59 | 1.53 ± 0.7 | 1.97 ± 0.7 | 0.08 | 22.6 ± 4.1 | 35.6 ± 7.2 | <0.001 | |||
| 14:00–14:55 | 25.2 ± 2.9 | 28.0 ± 2.6 | 0.01 | 47.4 ± 8.3 | 46.5 ± 7.7 | 0.74 | 1.73 ± 0.6 | 2.08 ± 0.8 | 0.20 | 22.8 ± 3.9 | 33.3 ± 6.5 | <0.001 | |||
| Hours | BGT (°C) | BGHI | MRT (W/m2) | RHL (W/m2) | |||||||||||
| Shaded | Sunny | p-Value | Shaded | Sunny | p-Value | Shaded | Sunny | p-Value | Shaded | Sunny | p-Value | ||||
| 08:00–08:55 | 16.2 ± 3.8 | 23.9 ± 5.9 | <0.001 | 62.3 ± 4.5 | 70.8 ± 6.8 | <0.001 | 289.9 ± 4.5 | 304.3 ± 10.3 | <0.001 | 401.7 ± 25.3 | 490.3 ± 65.8 | <0.001 | |||
| 09:00–09:55 | 19.0 ± 3.5 | 29.4 ± 4.1 | <0.001 | 65.4 ± 3.9 | 75.5 ± 4.7 | <0.001 | 292.3 ± 4.9 | 314.4 ± 6.9 | <0.001 | 417.6 ± 22.2 | 556.2 ± 48.8 | <0.001 | |||
| 10:00–10:55 | 21.8 ± 3.6 | 31.7 ± 2.9 | <0.001 | 68.3 ± 4.2 | 79.1 ± 3.4 | <0.001 | 295.9 ± 4.4 | 319.6 ± 4.9 | <0.001 | 435.9 ± 25.9 | 593.6 ± 35.9 | <0.001 | |||
| 11:00–11:55 | 23.3 ± 3.2 | 32.4 ± 2.5 | <0.001 | 69.7 ± 3.9 | 79.7 ± 3.1 | <0.001 | 297.1 ± 3.8 | 322.4 ± 4.0 | <0.001 | 442.9 ± 23.3 | 602.7 ± 29.8 | <0.001 | |||
| 12:00–12:55 | 24.5 ± 3.2 | 33.1 ± 2.4 | <0.001 | 70.9 ± 3.8 | 80.5 ± 2.9 | <0.001 | 298.6 ± 3.9 | 327.1 ± 2.9 | <0.001 | 451.9 ± 24.4 | 606.8 ± 21.9 | <0.001 | |||
| 13:00–13:55 | 25.5 ± 3.3 | 33.4 ± 2.5 | <0.001 | 72.1 ± 4,1 | 80.8 ± 3.1 | <0.001 | 300.3 ± 5.1 | 324.2 ± 3.2 | <0.001 | 462.3 ± 31.6 | 608.2 ± 24.3 | <0.001 | |||
| 14:00–14:55 | 25.6 ± 3.2 | 33.5 ± 3.8 | <0.001 | 72.2 ± 3.9 | 80.9 ± 3.1 | <0.001 | 299.7 ± 3.9 | 322.0 ± 2.9 | <0.001 | 458.4 ± 23.9 | 607.7 ± 22.5 | <0.001 | |||
Disclaimer/Publisher’s Note: The statements, opinions and data contained in all publications are solely those of the individual author(s) and contributor(s) and not of MDPI and/or the editor(s). MDPI and/or the editor(s) disclaim responsibility for any injury to people or property resulting from any ideas, methods, instructions or products referred to in the content. |
© 2025 by the authors. Licensee MDPI, Basel, Switzerland. This article is an open access article distributed under the terms and conditions of the Creative Commons Attribution (CC BY) license (https://creativecommons.org/licenses/by/4.0/).
Share and Cite
Deniz, M.; Sena, A.R.; De-Sousa, K.T.; Vieira, F.M.C.; de Souza, E.R.; Hötzel, M.J.; Dittrich, J.R. Herd Dominance Influences Dairy Cows’ Use of Heat Abatement Resources in a Silvopastoral System. Animals 2025, 15, 1791. https://doi.org/10.3390/ani15121791
Deniz M, Sena AR, De-Sousa KT, Vieira FMC, de Souza ER, Hötzel MJ, Dittrich JR. Herd Dominance Influences Dairy Cows’ Use of Heat Abatement Resources in a Silvopastoral System. Animals. 2025; 15(12):1791. https://doi.org/10.3390/ani15121791
Chicago/Turabian StyleDeniz, Matheus, Amanda Ribeiro Sena, Karolini Tenffen De-Sousa, Frederico Márcio Corrêa Vieira, Estevam Rodrigues de Souza, Maria José Hötzel, and João Ricardo Dittrich. 2025. "Herd Dominance Influences Dairy Cows’ Use of Heat Abatement Resources in a Silvopastoral System" Animals 15, no. 12: 1791. https://doi.org/10.3390/ani15121791
APA StyleDeniz, M., Sena, A. R., De-Sousa, K. T., Vieira, F. M. C., de Souza, E. R., Hötzel, M. J., & Dittrich, J. R. (2025). Herd Dominance Influences Dairy Cows’ Use of Heat Abatement Resources in a Silvopastoral System. Animals, 15(12), 1791. https://doi.org/10.3390/ani15121791

