Risk Awareness and Attitude of German Farmers towards Biosecurity Measures
Abstract
Simple Summary
Abstract
1. Introduction
2. Materials and Methods
2.1. Recruitment of Participants
2.2. Questionnaire
2.3. Data Inclusion
2.4. Data Analysis
3. Results
3.1. Properties of Participating Farms
3.2. State of Biosecurity
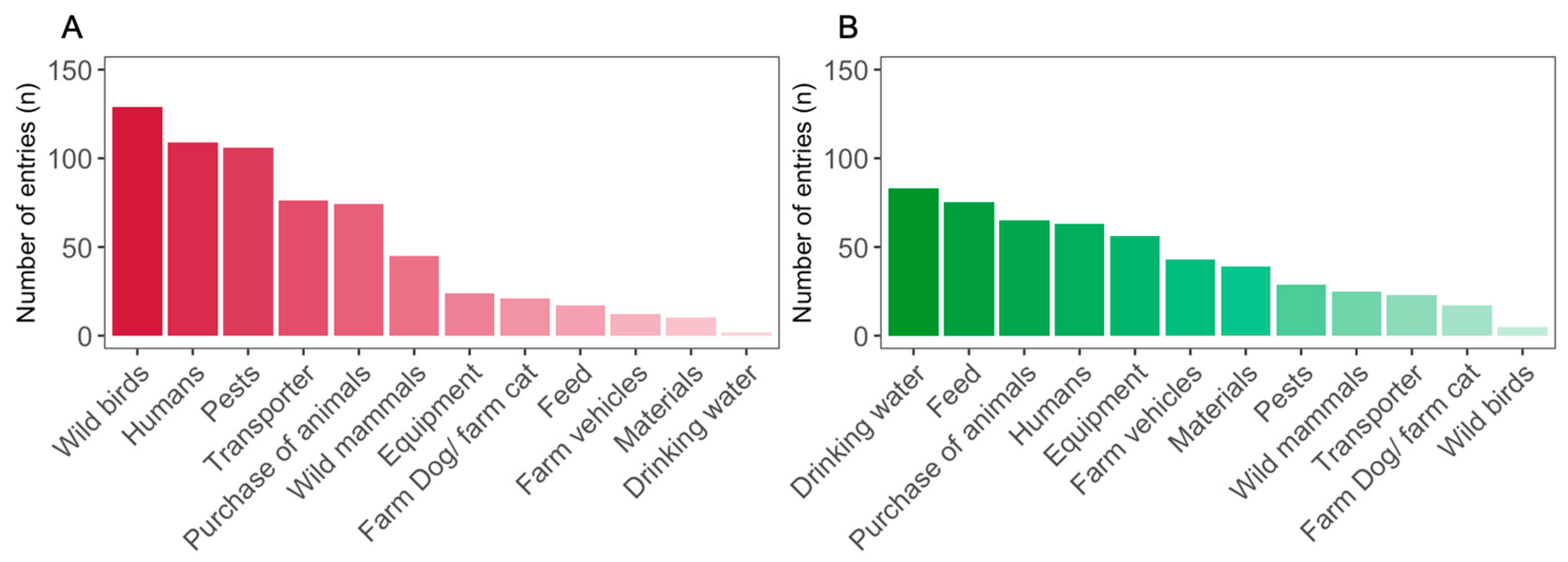
3.3. Assessment of Hazardous Situation
3.4. Options for Improvement
4. Discussion
5. Conclusions
Supplementary Materials
Author Contributions
Funding
Institutional Review Board Statement
Informed Consent Statement
Data Availability Statement
Acknowledgments
Conflicts of Interest
References
- Ducrot, C.; Bed’Hom, B.; Béringue, V.; Coulon, J.-B.; Fourichon, C.; Guérin, J.-L.; Krebs, S.; Rainard, P.; Schwartz-Cornil, I.; Torny, D.; et al. Issues and special features of animal health research. Vet. Res. 2011, 42, 96. [Google Scholar] [CrossRef]
- Oxford Analytica. Animal Health and Sustainability: A Global Data Analysis: A Report Produced for HealthforAnimals. Available online: https://www.healthforanimals.org/wp-content/uploads/2023/04/Animal-health-and-Sustainability-A-Global-Data-Analysis-FINAL.pdf (accessed on 23 June 2023).
- Nørrung, B.; Buncic, S. Microbial safety of meat in the European Union. Meat Sci. 2008, 78, 14–24. [Google Scholar] [CrossRef]
- Chousalkar, K.K.; Khan, S.; McWhorter, A.R. Microbial quality, safety and storage of eggs. Curr. Opin. Food Sci. 2021, 38, 91–95. [Google Scholar] [CrossRef]
- Fusco, V.; Chieffi, D.; Fanelli, F.; Logrieco, A.F.; Cho, G.-S.; Kabisch, J.; Böhnlein, C.; Franz, C.M. Microbial quality and safety of milk and milk products in the 21st century. Compr. Rev. Food Sci. Food Saf. 2020, 19, 2013–2049. [Google Scholar] [CrossRef]
- OIE. Feeding the World Better by Controlling Animal Diseases. Available online: https://www.woah.org/en/feeding-the-world-better-by-controlling-animal-diseases/ (accessed on 23 July 2023).
- Bayot, M.L.; Limaiem, F. Biosafety Guidelines; StatPearls Publishing: Treasure Island, FL, USA, 2020. [Google Scholar]
- WOAH. Terrestrial Animal Health Code. 2021. Available online: https://www.woah.org/en/what-we-do/standards/codes-and-manuals/terrestrial-code-online-access/?id=169&L=1&htmfile=sommaire.htm (accessed on 27 June 2023).
- Renault, V.; Humblet, M.-F.; Saegerman, C. Biosecurity concept: Origins, evolution and perspectives. Animals 2022, 12, 63. [Google Scholar] [CrossRef]
- FAO/OIE/WB. Good Practices for Biosecurity in the Pig Sector—Issues and Options in Developing and Transition Countries. Available online: http://www.fao.org/docrep/012/i1435e/i1435e00.pdf (accessed on 30 July 2023).
- Bucherer, M.; Holzhausen, J.; Conraths, F.J.; Probst, C. Infrastructure of animal farms: Key constructional elements in terms of biosecurity based on experience from Germany. Berl. Münch. Tierärztl. Wochenschr. 2021, 134, 1–12. [Google Scholar] [CrossRef]
- Mankad, A. Psychological influences on biosecurity control and farmer decision-making. A review. Agron. Sustain. Dev. 2016, 36, 40. [Google Scholar] [CrossRef]
- Jack, C.; Hotchkiss, E.; Sargison, N.D.; Toma, L.; Milne, C.; Bartley, D. Determining the influence of socio-psychological factors on the adoption of individual ‘best practice’ parasite control behaviours from Scottish sheep farmers. Prev. Vet. Med. 2022, 200, 105594. [Google Scholar] [CrossRef]
- Delpont, M.; Racicot, M.; Durivage, A.; Fornili, L.; Guerin, J.-L.; Vaillancourt, J.-P.; Paul, M.C. Determinants of biosecurity practices in French duck farms after a H5N8 Highly Pathogenic Avian Influenza epidemic: The effect of farmer knowledge, attitudes and personality traits. Transbound. Emerg. Dis. 2021, 68, 51–61. [Google Scholar] [CrossRef]
- Ritter, C.; Jansen, J.; Roche, S.; Kelton, D.F.; Adams, C.L.; Orsel, K.; Erskine, R.J.; Benedictus, G.; Lam, T.J.; Barkema, H.W. Invited review: Determinants of farmers’ adoption of management-based strategies for infectious disease prevention and control. J. Dairy. Sci. 2017, 100, 3329–3347. [Google Scholar] [CrossRef]
- Merrill, S.C.; Moegenburg, S.; Koliba, C.J.; Zia, A.; Trinity, L.; Clark, E.; Bucini, G.; Wiltshire, S.; Sellnow, T.; Sellnow, D.; et al. Willingness to comply with biosecurity in livestock facilities: Evidence from experimental simulations. Front. Vet. Sci. 2019, 6, 156. [Google Scholar] [CrossRef]
- King, J.; Staubach, C.; Lüder, C.; Koethe, S.; Günther, A.; Stacker, L.; Rubbenstroth, D.; Dietze, K.; Grund, C.; Conraths, F.J.; et al. Connect to protect: Dynamics and genetic connections of highly pathogenic avian influenza Outbreaks in Poultry from 2016 to 2021 in Germany. Viruses 2022, 14, 1849. [Google Scholar] [CrossRef]
- Sauter-Louis, C.; Schulz, K.; Richter, M.; Staubach, C.; Mettenleiter, T.C.; Conraths, F.J. African swine fever: Why the situation in Germany is not comparable to that in the Czech Republic or Belgium. Transbound. Emerg. Dis. 2022, 69, 2201–2208. [Google Scholar] [CrossRef]
- Leiner, D.J. Our research’s breadth lives on convenience samples. A case study of the online respondent pool “SoSci Panel”. Int. J. Internet Sci. 2016, 5, 367–396. [Google Scholar] [CrossRef]
- Baltar, F.; Brunet, I. Social research 2.0: Virtual snowball sampling method using Facebook. Internet Res. 2012, 22, 57–74. [Google Scholar] [CrossRef]
- Goodman, L.A. Snowball Sampling. Ann. Inst. Stat. Math. 1961, 32, 148–170. [Google Scholar] [CrossRef]
- Leiner, D.J. ScSci Survey. [Computer Software]. Available online: https://www.soscisurvey.de (accessed on 13 July 2023).
- Joshi, A.; Kale, S.; Chandel, S.; Pal, D.K. Likert scale: Explored and explained. Br. J. Appl. Sci. Technol. 2015, 7, 396. [Google Scholar] [CrossRef]
- Statistisches Bundesamt. Viehhaltung der Betriebe: Land- und Forstwirtschaft, Fischerei; 2.1.3 No. 2030213209005; Statistisches Bundesamt: Wiesbaden, Germany, 2021.
- Statistisches Bundesamt. Viehbestand: Land und Forstwirtschaft, Fischerei; 4.1 No. 2030410225324; Statistisches Bundesamt: Wiesbaden, Germany, 2023.
- Spearman, C. The proof and measurement of association between two things. Am. J. Psychol. 1904, 15, 72–101. [Google Scholar] [CrossRef]
- Cohen, J. Statistical Power Analysis for the Behavioral Sciences, 2nd ed.; Lawrence Erlbaum Associates: New York, NY USA, 1988. [Google Scholar]
- Braun, V.; Clarke, V. Using thematic analysis in psychology. Qual. Res. Psychol. 2006, 3, 77–101. [Google Scholar] [CrossRef]
- R Development Core Team. R: A Language and Environment for Statistical Computin; R Foundation for Statistical Computing: Vienna, Austria, 2010. [Google Scholar]
- Revelle, W. psych: Procedures for Psychological, Psychometric, and Personality Research: R Package Version 2.3.6. Available online: https://CRAN.R-project.org/package=psych (accessed on 14 August 2023).
- Wickham, H. ggplot2: Elegant Graphics for Data Analysis; Springer: New York, NY, USA, 2016; ISBN 978-3-319-24277-4. [Google Scholar]
- Kolde, R. pheatmap: Pretty Heatmaps. Available online: https://CRAN.R-project.org/package=pheatmap (accessed on 14 August 2023).
- Wei, T.; Simko, V. R Package ‘corrplot’: Visualization of a Correlation Matrix. (Version 0.92). Available online: https://github.com/taiyun/corrplot (accessed on 14 August 2023).
- Lex, A.; Gehlenborg, N.; Strobelt, H.; Vuillemot, R.; Pfister, H. UpSet: Visualization of intersecting sets. IEEE Trans. Vis. Comput. Graph. 2014, 20, 1983–1992. [Google Scholar] [CrossRef]
- Conway, J.R.; Lex, A.; Gehlenborg, N. UpSetR: An R package for the visualization of intersecting sets and their properties. Bioinformatics 2017, 33, 2938–2940. [Google Scholar] [CrossRef]
- Garforth, C.J.; Bailey, A.P.; Tranter, R.B. Farmers’ attitudes to disease risk management in England: A comparative analysis of sheep and pig farmers. Prev. Vet. Med. 2013, 110, 456–466. [Google Scholar] [CrossRef]
- Laanen, M.; Maes, D.; Hendriksen, C.; Gelaude, P.; de Vliegher, S.; Rosseel, Y.; Dewulf, J. Pig, cattle and poultry farmers with a known interest in research have comparable perspectives on disease prevention and on-farm biosecurity. Prev. Vet. Med. 2014, 115, 1–9. [Google Scholar] [CrossRef]
- Malakauskas, A.; Schulz, K.; Kukanauskaitė, I.; Masiulis, M.; Conraths, F.J.; Sauter-Louis, C. African Swine Fever Outbreaks in Lithuanian Domestic Pigs in 2019. Animals 2022, 12, 115. [Google Scholar] [CrossRef]
- Klein, L.; Hessling-Zeinen, S.; Adler, F.; Gerdes, U.; Blome, S.; Beilage, E.g.; Campe, A. Exploring pig farmers’ decision-making concerning biosecurity measures against african swine fever. Prev. Vet. Med. 2023, 217, 105949. [Google Scholar] [CrossRef]
- Pritchard, K.; Wapenaar, W.; Brennan, M.L. Cattle veterinarians’ awareness and understanding of biosecurity. Vet. Rec. 2015, 176, 546. [Google Scholar] [CrossRef]
- Agrawal, I.; Bromfield, C.; Varga, C. Assessing and improving on-farm biosecurity knowledge and practices among swine producers and veterinarians through online surveys and an educational website in Illinois, United States. Front. Vet. Sci. 2023, 10, 1167056. [Google Scholar] [CrossRef]
- Valeeva, N.I.; van Asseldonk, M.; Backus, G. Perceived risk and strategy efficacy as motivators of risk management strategy adoption to prevent animal diseases in pig farming. Prev. Vet. Med. 2011, 102, 284–295. [Google Scholar] [CrossRef]
- Moya, S.; Tirado, F.; Espluga, J.; Ciaravino, G.; Armengol, R.; Diéguez, J.; Yus, E.; Benavides, B.; Casal, J.; Allepuz, A. Dairy farmers’ decision-making to implement biosecurity measures: A study of psychosocial factors. Transbound. Emerg. Dis. 2020, 67, 698–710. [Google Scholar] [CrossRef]
- Sayers, R.G.; Good, M.; Sayers, G.P. A survey of biosecurity-related practices, opinions and communications across dairy farm veterinarians and advisors. Vet. J. 2014, 200, 261–269. [Google Scholar] [CrossRef]
- Denis-Robichaud, J.; Kelton, D.; Bauman, C.; Keefe, G.; Dubuc, J. Gap between producers and veterinarians regarding biosecurity on Quebec dairy farms. Can. Vet. J. 2020, 61, 757–762. [Google Scholar]
- Shortall, O.; Ruston, A.; Green, M.; Brennan, M.; Wapenaar, W.; Kaler, J. Broken biosecurity? Veterinarians’ framing of biosecurity on dairy farms in England. Prev. Vet. Med. 2016, 132, 20–31. [Google Scholar] [CrossRef]
- Merrill, S.C.; Trinity, L.; Clark, E.M.; Shrum, T.R.; Koliba, C.J.; Zia, A.; Bucini, G.; Sellnow, T.L.; Sellnow, D.D.; Smith, J.M. Message delivery strategy influences willingness to comply with biosecurity. Front. Vet. Sci. 2021, 8, 667265. [Google Scholar] [CrossRef]
- Racicot, M.; Venne, D.; Durivage, A.; Vaillancourt, J.-P. Description of 44 biosecurity errors while entering and exiting poultry barns based on video surveillance in Quebec, Canada. Prev. Vet. Med. 2011, 100, 193–199. [Google Scholar] [CrossRef]
- Racicot, M.; Venne, D.; Durivage, A.; Vaillancourt, J.-P. Evaluation of strategies to enhance biosecurity compliance on poultry farms in Québec: Effect of audits and cameras. Prev. Vet. Med. 2012, 103, 208–218. [Google Scholar] [CrossRef]
- Degeling, C.; Lederman, Z.; Rock, M. Culling and the Common Good: Re-evaluating Harms and Benefits under the One Health Paradigm. Public Health Ethics 2016, 9, 244–254. [Google Scholar] [CrossRef]
- Bätza, H.J. The German system of compensating animal keepers in cases of outbreaks of animal diseases. In The Economics of Livestock Disease Insurance: Concepts, Issues and International Case Studies; CABI Pub: Oxfordshire, UK, 2006; pp. 141–144. ISBN 9780851990774. [Google Scholar]
- Niedersächsische Tierseuchenkasse. Kürzung von Leistungen bei Verstößen. Available online: https://www.ndstsk.de/uebersicht/tierkoerperbeseitigung/biosicherheit/1050_information-zu-entsch-auml-digungsleistungen-und-beihilfen-im-tierseuchenfall-k-uuml-rzung-der-leistungen-bei-verst-ouml.html (accessed on 14 September 2023).
- Gelaude, P.; Schlepers, M.; Verlinden, M.; Laanen, M.; Dewulf, J. Biocheck.UGent: A quantitative tool to measure biosecurity at broiler farms and the relationship with technical performances and antimicrobial use. Poult. Sci. 2014, 93, 2740–2751. [Google Scholar] [CrossRef]
- Laanen, M.; Persoons, D.; Ribbens, S.; de Jong, E.; Callens, B.; Strubbe, M.; Maes, D.; Dewulf, J. Relationship between biosecurity and production/antimicrobial treatment characteristics in pig herds. Vet. J. 2013, 198, 508–512. [Google Scholar] [CrossRef]
- Kuster, K.; Cousin, M.-E.; Jemmi, T.; Schüpbach-Regula, G.; Magouras, I. Expert opinion on the perceived effectiveness and importance of on-farm biosecurity measures for cattle and swine farms in Switzerland. PLoS ONE 2015, 10, e0144533. [Google Scholar] [CrossRef]
- EFSA Panel on Animal Health and Welfare; More, S.; Bicout, D.; Bøtner, A.; Butterworth, A.; Calistri, P.; Depner, K.; Edwards, S.; Garin-Bastuji, B.; Good, M.; et al. Urgent request on avian influenza. EFSA J. 2017, 15, e04687. [Google Scholar] [CrossRef][Green Version]
- Grabkowsky, B.; Conraths, F.; Globig, A.; Wilke, A.; Denzin, N. A self-assessment tool to improve poultry farm biosecurity regarding avian influenza. Berl. Münch. Tierärztl. Wochenschr. 2020. [Google Scholar] [CrossRef]
- Sasaki, Y.; Furutani, A.; Furuichi, T.; Hayakawa, Y.; Ishizeki, S.; Kano, R.; Koike, F.; Miyashita, M.; Mizukami, Y.; Watanabe, Y.; et al. Development of a biosecurity assessment tool and the assessment of biosecurity levels by this tool on Japanese commercial swine farms. Prev. Vet. Med. 2020, 175, 104848. [Google Scholar] [CrossRef]
- Royden, A.; Christley, R.; Prendiville, A.; Williams, N.J. The role of biosecurity in the control of campylobacter: A qualitative study of the attitudes and Perceptions of UK Broiler Farm Workers. Front. Vet. Sci. 2021, 8, 751699. [Google Scholar] [CrossRef]
- Shortall, O.; Sutherland, L.-A.; Ruston, A.; Kaler, J. True cowmen and commercial farmers: Exploring vets’ and dairy farmers’ contrasting views of ‘good farming’ in relation to biosecurity. Sociol. Rural. 2018, 58, 583–603. [Google Scholar] [CrossRef]
- Graskemper, V.; Feil, J.-H. Values of farmers—Evidence from Germany. J. Rural. Stud. 2022, 89, 13–24. [Google Scholar] [CrossRef]
- Steck, N.; Junker, C.; Bopp, M.; Egger, M.; Zwahlen, M. Time trend of suicide in Swiss male farmers and comparison with other men: A cohort study. Swiss Med. Wkly. 2020, 150, w20251. [Google Scholar] [CrossRef]
- Deutscher Bauernverband. Zukunft wächst auf dem Land: Geschäftsbericht des Deutschen Bauernverbandes 2017/2018; Deutscher Bauernverband e.V.: Berlin, Germany, 2018. [Google Scholar]
- eurostat. Farm Indicators by Age and Sex of the Manager, Economic Size of the Farm, Utilised Agricultural Area and NUTS2 Region [EF_M_FARMANG__custom_7103129]. Available online: https://ec.europa.eu/eurostat/databrowser/bookmark/81051733-a4f8-4b74-ab1e-3cfc4ada9e1b?lang=en&page=time:2020 (accessed on 7 August 2023).
- Statistisches Bundesamt. Landwirtschaftliche Betriebe mit Viehhaltung und Zahl der Tiere-Stichtag-Regionale Ebenen. Available online: https://www.destatis.de/DE/Themen/Branchen-Unternehmen/Landwirtschaft-Forstwirtschaft-Fischerei/Tiere-Tierische-Erzeugung/Publikationen/Downloads-Tiere-und-tierische-Erzeugung/viehhaltung-2030213209004.html?nn=207832 (accessed on 7 August 2013).
- Sauter-Louis, C.; Conraths, F.J.; Probst, C.; Blohm, U.; Schulz, K.; Sehl, J.; Fischer, M.; Forth, J.H.; Zani, L.; Depner, K.; et al. African swine fever in wild boar in Europe—A review. Viruses 2021, 13, 1717. [Google Scholar] [CrossRef]
- Conraths, F.J.; Sauter-Louis, C.; Globig, A.; Dietze, K.; Pannwitz, G.; Albrecht, K.; Höreth-Böntgen, D.; Beer, M.; Staubach, C.; Homeier-Bachmann, T. Highly Pathogenic Avian Influenza H5N8 in Germany: Outbreak Investigations. Transbound. Emerg. Dis. 2016, 63, 10–13. [Google Scholar] [CrossRef]
- Keusch, F. Why do people participate in Web surveys? Applying survey participation theory to Internet survey data collection. Manag. Rev. Q. 2015, 65, 183–216. [Google Scholar] [CrossRef]
- Statistisches Bundesamt. Viehbestand in Betrieben mit Konventionellem und ökologischem Landbau. Available online: https://www.destatis.de/DE/Themen/Branchen-Unternehmen/Landwirtschaft-Forstwirtschaft-Fischerei/Tiere-Tierische-Erzeugung/Tabellen/oekologischer-landbau-viehbestand.html (accessed on 24 August 2013).
- Nielsen, S.S.; Alvarez, J.; Bicout, D.J.; Calistri, P.; Canali, E.; Drewe, J.A.; Garin-Bastuji, B.; Gonzales Rojas, J.L.; Herskin, M.; Miranda Chueca, M.Á.; et al. African swine fever and outdoor farming of pigs. EFSA J. 2021, 19, e06639. [Google Scholar] [CrossRef]
- BMEL. Legehennenhaltung nach Haltungsformen. Available online: https://www.bmel-statistik.de/fileadmin/daten/SJT-3102000-0000.xlsx (accessed on 7 August 2023).
- Delsart, M.; Pol, F.; Dufour, B.; Rose, N.; Fablet, C. Pig Farming in Alternative Systems: Strengths and Challenges in Terms of Animal Welfare, Biosecurity, Animal Health and Pork Safety. Agriculture 2020, 10, 261. [Google Scholar] [CrossRef]
- Artois, M.; Bicout, D.; Doctrinal, D.; Fouchier, R.; Gavier-Widen, D.; Globig, A.; Hagemeijer, W.; Mundkur, T.; Munster, V.; Olsen, B. Outbreaks of highly pathogenic avian influenza in Europe: The risks associated with wild birds. Rev. Sci. Tech. Off. Int. Epiz 2009, 28, 69–92. [Google Scholar] [CrossRef]
- Gonzales, J.L.; Stegeman, J.A.; Koch, G.; de Wit, S.J.; Elbers, A.R.W. Rate of introduction of a low pathogenic avian influenza virus infection in different poultry production sectors in the Netherlands. Influenza Other Respir. Viruses 2013, 7, 6–10. [Google Scholar] [CrossRef]







| Statement | Abbreviation |
|---|---|
| ‘I consider biosecurity measures on my farm important.’ | ‘Importance’ |
| ‘The biosecurity concept on my farm is well thought out and offers the best possible protection against the introduction of animal diseases.’ | ‘Concept’ |
| ‘The adherence of the biosecurity concept by all employees is controlled frequently.’ | ‘Adherence’ |
| ‘I am familiar with the measures officially applied in case of an animal disease outbreak.’ | ‘Official measures’ |
| ‘In case of an animal disease outbreak, my farm’s existence is under threat.’ | ‘Threat’ |
Disclaimer/Publisher’s Note: The statements, opinions and data contained in all publications are solely those of the individual author(s) and contributor(s) and not of MDPI and/or the editor(s). MDPI and/or the editor(s) disclaim responsibility for any injury to people or property resulting from any ideas, methods, instructions or products referred to in the content. |
© 2024 by the authors. Licensee MDPI, Basel, Switzerland. This article is an open access article distributed under the terms and conditions of the Creative Commons Attribution (CC BY) license (https://creativecommons.org/licenses/by/4.0/).
Share and Cite
Herrmann, A.; Schulz, K.; Wischnewski, N.; Brüssau, J.; Zeiler, E.; Sauter-Louis, C. Risk Awareness and Attitude of German Farmers towards Biosecurity Measures. Animals 2024, 14, 1102. https://doi.org/10.3390/ani14071102
Herrmann A, Schulz K, Wischnewski N, Brüssau J, Zeiler E, Sauter-Louis C. Risk Awareness and Attitude of German Farmers towards Biosecurity Measures. Animals. 2024; 14(7):1102. https://doi.org/10.3390/ani14071102
Chicago/Turabian StyleHerrmann, Anna, Katja Schulz, Natalie Wischnewski, Jule Brüssau, Eva Zeiler, and Carola Sauter-Louis. 2024. "Risk Awareness and Attitude of German Farmers towards Biosecurity Measures" Animals 14, no. 7: 1102. https://doi.org/10.3390/ani14071102
APA StyleHerrmann, A., Schulz, K., Wischnewski, N., Brüssau, J., Zeiler, E., & Sauter-Louis, C. (2024). Risk Awareness and Attitude of German Farmers towards Biosecurity Measures. Animals, 14(7), 1102. https://doi.org/10.3390/ani14071102

