Determining Appropriate Numbers and Times of Daily Measurements Using GreenFeed System to Estimate Ruminal Methane Emission of Meat Goats
Abstract
Simple Summary
Abstract
1. Introduction
2. Materials and Methods
2.1. Animals and Procedures
2.2. Gas Measurement
2.2.1. GreenFeed System
2.2.2. Calorimetry System
2.3. Samples and Laboratory Analysis
2.4. Calculations and Statistical Analyses
3. Results
3.1. Body Weight, Feed Intake, and Digestion
3.2. Emission of CH4 and CO2
3.3. Number of Visits to GFS
4. Discussion
4.1. Emissions of CH4 and CO2
4.2. Number of Visits to GFS
5. Conclusions
Author Contributions
Funding
Institutional Review Board Statement
Informed Consent Statement
Data Availability Statement
Conflicts of Interest
References
- NCEI. U.S. Billion-Dollar Weather and Climate Disasters. NOAA National Centers for Environmental Information (NCEI). Available online: https://www.ncei.noaa.gov/access/metadata/landing-page/bin/iso?id=gov.noaa.nodc:0209268 (accessed on 30 January 2024).
- WRI. World Greenhouse Gas Emissions: 2019. World Resources Institute. Available online: https://www.wri.org/data/world-greenhouse-gas-emissions-2019 (accessed on 1 February 2024).
- IPCC. Climate Change 2014: Synthesis Report. In Contribution of Working Groups I, II and III to the Fifth Assessment Report of the Intergovernmental Panel on Climate Change; IPCC: Geneva, Switzerland, 2014. [Google Scholar]
- Johnson, K.A.; Johnson, D.E. Methane Emissions from Cattle. J. Anim. Sci. 1995, 73, 2483–2492. [Google Scholar] [CrossRef] [PubMed]
- Patra, A.K.; Lalhriatpuii, M.; Debnath, B.C. Predicting Enteric Methane Emission in Sheep Using Linear and Non-Linear Statistical Models from Dietary Variables. Anim. Prod. Sci. 2016, 56, 574–584. [Google Scholar] [CrossRef]
- Patra, A.K.; Lalhriatpuii, M. Development of Statistical Models for Prediction of Enteric Methane Emission from Goats Using Nutrient Composition and Intake Variables. Agric. Ecosyst. Environ. 2016, 215, 89–99. [Google Scholar] [CrossRef]
- Patra, A.K. Enteric Methane Mitigation Technologies for Ruminant Livestock: A Synthesis of Current Research and Future Directions. Environ. Monit. Assess. 2012, 184, 1929–1952. [Google Scholar] [CrossRef] [PubMed]
- Patra, A.K.; Puchala, R. Methane Mitigation in Ruminants with Structural Analogues and Other Chemical Compounds Targeting Archaeal Methanogenesis Pathways. Biotechnol. Adv. 2023, 69, 108268. [Google Scholar] [CrossRef]
- Della Rosa, M.M.; Jonker, A.; Waghorn, G.C. A Review of Technical Variations and Protocols Used to Measure Methane Emissions from Ruminants Using Respiration Chambers, SF6 Tracer Technique and GreenFeed, to Facilitate Global Integration of Published Data. Anim. Feed Sci. Technol. 2021, 279, 115018. [Google Scholar] [CrossRef]
- Patra, A.K. Recent Advances in Measurement and Dietary Mitigation of Enteric Methane Emissions in Ruminants. Front. Vet. Sci. 2016, 3, 39. [Google Scholar] [CrossRef]
- Gunter, S.A.; Cole, N.A. Invited Review: Getting More Information from Your Grazing Research beyond Cattle Performance. Prof. Anim. Sci. 2016, 32, 31–41. [Google Scholar] [CrossRef]
- Hammond, K.J.; Humphries, D.J.; Crompton, L.A.; Green, C.; Reynolds, C.K. Methane Emissions from Cattle: Estimates from Short-Term Measurements Using a GreenFeed System Compared with Measurements Obtained Using Respiration Chambers or Sulphur Hexafluoride Tracer. Anim. Feed Sci. Technol. 2015, 203, 41–52. [Google Scholar] [CrossRef]
- Hammond, K.J.; Waghorn, G.C.; Hegarty, R.S. The GreenFeed System for Measurement of Enteric Methane Emission from Cattle. Anim. Prod. Sci. 2016, 56, 181–189. [Google Scholar] [CrossRef]
- Huhtanen, P.; Cabezas-Garcia, E.H.; Utsumi, S.; Zimmerman, S. Comparison of Methods to Determine Methane Emissions from Dairy Cows in Farm Conditions. J. Dairy Sci. 2015, 98, 3394–3409. [Google Scholar] [CrossRef]
- Arbre, M.; Rochette, Y.; Guyader, J.; Lascoux, C.; Gómez, L.M.; Eugène, M.; Morgavi, D.P.; Renand, G.; Doreau, M.; Martin, C. Repeatability of Enteric Methane Determinations from Cattle Using Either the SF6 Tracer Technique or the GreenFeed System. Anim. Prod. Sci. 2016, 56, 238–243. [Google Scholar] [CrossRef]
- Jonker, A.; Molano, G.; Antwi, C.; Waghorn, G.C. Enteric Methane and Carbon Dioxide Emissions Measured Using Respiration Chambers, the Sulfur Hexafluoride Tracer Technique, and a GreenFeed Head-Chamber System from Beef Heifers Fed Alfalfa Silage at Three Allowances and Four Feeding Frequencies. J. Anim. Sci. 2016, 94, 4326–4337. [Google Scholar] [CrossRef]
- Doreau, M.; Arbre, M.; Popova, M.; Rochette, Y.; Martin, C. Linseed plus Nitrate in the Diet for Fattening Bulls: Effects on Methane Emission, Animal Health and Residues in Offal. Animal 2018, 12, 501–507. [Google Scholar] [CrossRef]
- Huhtanen, P.; Ramin, M.; Hristov, A.N. Enteric Methane Emission Can Be Reliably Measured by the GreenFeed Monitoring Unit. Livest. Sci. 2019, 222, 31–40. [Google Scholar] [CrossRef]
- Nair, M.R.R.; Sejian, V.; Silpa, M.V.; Fonsêca, V.F.C.; De Melo Costa, C.C.; Devaraj, C.; Krishnan, G.; Bagath, M.; Nameer, P.O.; Bhatta, R. Goat as the Ideal Climate-Resilient Animal Model in Tropical Environment: Revisiting Advantages over Other Livestock Species. Int. J. Biometeorol. 2021, 65, 2229–2240. [Google Scholar] [CrossRef] [PubMed]
- Puchala, R.; Tovar-Luna, I.; Goetsch, A.L.; Sahlu, T.; Carstens, G.E.; Freetly, H.C. The Relationship between Heart Rate and Energy Expenditure in Alpine, Angora, Boer and Spanish Goat Wethers Consuming Different Quality Diets at Level of Intake near Maintenance or Fasting. Small Rumin. Res. 2007, 70, 183–193. [Google Scholar] [CrossRef]
- Puchala, R.; Tovar-Luna, I.; Sahlu, T.; Freetly, H.C.; Goetsch, A.L. Technical Note: The Relationship between Heart Rate and Energy Expenditure in Growing Crossbred Boer and Spanish Wethers1. J. Anim. Sci. 2009, 87, 1714–1721. [Google Scholar] [CrossRef] [PubMed]
- Tadesse, D.; Puchala, R.; Goetsch, A.L. Effects of Hair Sheep Breed and Region of Origin on Feed Dry Matter Required for Maintenance without and with a Marked Feed Restriction. Livest. Sci. 2019, 226, 114–121. [Google Scholar] [CrossRef]
- Hussein, A.; Puchala, R.; Portugal, I.; Wilson, B.K.; Gipson, T.A.; Goetsch, A.L. Effects of Restricted Availability of Drinking Water on Body Weight and Feed Intake by Dorper, Katahdin, and St. Croix Sheep from Different Regions of the USA. J. Anim. Sci. 2020, 98, skz367. [Google Scholar] [CrossRef] [PubMed]
- Hristov, A.N.; Oh, J.; Giallongo, F.; Frederick, T.; Weeks, H.; Zimmerman, P.R.; Harper, M.T.; Hristova, R.A.; Zimmerman, R.S.; Branco, A.F. The Use of an Automated System (GreenFeed) to Monitor Enteric Methane and Carbon Dioxide Emissions from Ruminant Animals. JoVE J. Vis. Exp. 2015, 103, e52904. [Google Scholar]
- Brouwer, E. Report of Sub-Committee on Constants and Factors. In Proceedings of the 3rd Symposium on Energy Metabolism of Farm Animals; Baxter, K.L., Ed.; Academic Press: London, UK, 1965; Volume 11, pp. 441–443. [Google Scholar]
- AOAC. Official Methods of Analysis, 18th ed.; AOAC International: Gaithersburg, MD, USA, 2006. [Google Scholar]
- Van Soest, P.V.; Robertson, J.B.; Lewis, B.A. Methods for Dietary Fiber, Neutral Detergent Fiber, and Nonstarch Polysaccharides in Relation to Animal Nutrition. J. Dairy Sci. 1991, 74, 3583–3597. [Google Scholar] [CrossRef]
- SAS. SAS/STAT® 9.4 User’s Guide; SAS Institute Inc.: Cary, NC, USA, 2011. [Google Scholar]
- Swainson, N.; Muetzel, S.; Clark, H. Updated Predictions of Enteric Methane Emissions from Sheep Suitable for Use in the New Zealand National Greenhouse Gas Inventory. Anim. Prod. Sci. 2016, 58, 973–979. [Google Scholar] [CrossRef]
- Bickell, S.L.; Revell, D.K.; Toovey, A.F.; Vercoe, P.E. Feed Intake of Sheep When Allowed Ad Libitum Access to Feed in Methane Respiration Chambers. J. Anim. Sci. 2014, 92, 2259–2264. [Google Scholar] [CrossRef]
- Troy, S.M.; Duthie, C.-A.; Ross, D.W.; Hyslop, J.J.; Roehe, R.; Waterhouse, A.; Rooke, J.A. A Comparison of Methane Emissions from Beef Cattle Measured Using Methane Hoods with Those Measured Using Respiration Chambers. Anim. Feed Sci. Technol. 2016, 211, 227–240. [Google Scholar] [CrossRef]
- Ramin, M.; Huhtanen, P. Development of Equations for Predicting Methane Emissions from Ruminants. J. Dairy Sci. 2013, 96, 2476–2493. [Google Scholar] [CrossRef]
- Rischewski, J.; Bielak, A.; Nürnberg, G.; Derno, M.; Kuhla, B. Rapid Communication: Ranking Dairy Cows for Methane Emissions Measured Using Respiration Chamber or GreenFeed Techniques during Early, Peak, and Late Lactation. J. Anim. Sci. 2017, 95, 3154–3159. [Google Scholar]
- McGinn, S.M.; Coulombe, J.-F.; Beauchemin, K.A. Technical Note: Validation of the GreenFeed System for Measuring Enteric Gas Emissions from Cattle. J. Anim. Sci. 2021, 99, skab046. [Google Scholar] [CrossRef]
- Darabighane, B.; Tapio, I.; Rasi, S.; Seppänen, A.M.; Blasco, L.; Ahvenjärvi, S.; Bayat, A.R. The Trade-Off between Enteric and Manure Methane Emissions and Their Bacterial Ecology in Lactating Cows Fed Diets Varying in Forage-to-Concentrate Ratio and Rapeseed Oil. Methane 2024, 3, 12–32. [Google Scholar] [CrossRef]
- Honeycutt, W.T.; Ley, M.T.; Materer, N.F. Precision and Limits of Detection for Selected Commercially Available, Low-Cost Carbon Dioxide and Methane Gas Sensor. Sensors 2019, 19, 3157. [Google Scholar] [CrossRef]
- Fu, L.; You, S.; Li, G.; Fan, Z. Enhancing Methane Sensing with NDIR Technology: Current Trends and Future Prospects. Rev. Anal. Chem. 2023, 42, 20230062. [Google Scholar] [CrossRef]
- Alemu, A.W.; Vyas, D.; Manafiazar, G.; Basarab, J.A.; Beauchemin, K.A. Enteric Methane Emissions from Low–and High–Residual Feed Intake Beef Heifers Measured Using GreenFeed and Respiration Chamber Techniques. J. Anim. Sci. 2017, 95, 3727–3737. [Google Scholar] [CrossRef] [PubMed]
- Waghorn, G.; Garnet, E.J.; Pinares, C.S.; Zimmerman, S. Implementation of GreenFeed for Estimating Methane in a Dairy Herd Grazing Pasture. Adv. Anim. Biosci. 2013, 4, 436. [Google Scholar]
- Laubach, J.; Bai, M.; Pinares-Patiño, C.S.; Phillips, F.A.; Naylor, T.A.; Molano, G.; Rocha, E.A.C.; Griffith, D.W. Accuracy of Micrometeorological Techniques for Detecting a Change in Methane Emissions from a Herd of Cattle. Agric. For. Meteorol. 2013, 176, 50–63. [Google Scholar] [CrossRef]
- Cottle, D.J.; Velazco, J.; Hegarty, R.S.; Mayer, D.G. Estimating Daily Methane Production in Individual Cattle with Irregular Feed Intake Patterns from Short-Term Methane Emission Measurements. Animal 2015, 9, 1949–1957. [Google Scholar] [CrossRef]
- Manafiazar, G.; Zimmerman, S.; Basarab, J. Repeatability and Variability of Short-Term Spot Measurement of Methane and Carbon Dioxide Emissions from Beef Cattle Using GreenFeed Emissions Monitoring System. Can. J. Anim. Sci. 2016, 97, 118–126. [Google Scholar] [CrossRef]

| Item | Oat Hay | Supplement |
|---|---|---|
| Dry matter, g/kg of diet | 920 | 916 |
| Organic matter, g/kg DM | 904 | 913 |
| Neutral detergent fiber, g/kg DM | 606 | 260 |
| Gross energy, MJ/kg DM | 16.0 | 16.4 |
| Protocol | Method of Measurement | Number of Measurements | Time of Measurement |
|---|---|---|---|
| G-3T | GreenFeed | 3 | 0600–0700, 1400–1500, and 2200–2300 h |
| G-4T | GreenFeed | 4 | 0700–0800, 1300–1400, 1900–2000, and 0100–0200 h |
| G-6T | GreenFeed | 6 | 0800–0900, 1200–1300, 1600–1700, 2000–2100, 0000–0100, and 0400–0500 h |
| CS | Calorimetry | Continuous | Throughout the day |
| Variable | Protocol 1 | Week | p-Value | |||||||
|---|---|---|---|---|---|---|---|---|---|---|
| G-3T | G-4T | G-6T | CS | SEM | 1 | 2 | SEM | Protocol | Week | |
| Body weight (kg) | 23.3 | 23.4 | 23.2 | 23.3 | 0.48 | 23.0 a | 23.5 b | 0.47 | 0.117 | 0.004 |
| Intakes (g/day) | ||||||||||
| Total dry matter | 614 b | 625 b | 635 b | 577 a | 13.9 | 596 a | 630 b | 12.1 | 0.001 | 0.001 |
| Oat hay | 540 b | 549 b | 566 b | 468 a | 13.6 | 515 a | 546 b | 11.5 | <0.001 | 0.002 |
| Pellet | 74.2 bc | 75.8 c | 68.7 b | 110 a | 2.47 | 80.9 | 83.3 | 1.74 | <0.001 | 0.344 |
| Organic matter | 556 b | 565 b | 570 b | 521 a | 14.1 | 544 | 552 | 12.6 | 0.022 | 0.235 |
| Gross energy (MJ/day) | 9.86 b | 10.0 b | 10.1 b | 9.25 a | 0.25 | 9.62 | 9.73 | 0.34 | 0.026 | 0.142 |
| Digestion (g/day) 2 | ||||||||||
| Dry matter | 359 b | 368 b | 374 b | 320 a | 15.9 | 0.023 | ||||
| Organic matter | 339 b | 348 b | 352 b | 304 a | 14.7 | 0.024 | ||||
| Energy (MJ/day) | 5.84 b | 6.01 b | 6.09 b | 5.24 a | 0.26 | 0.026 | ||||
| Variable | Protocol 1 | Week | p-Value | |||||||
|---|---|---|---|---|---|---|---|---|---|---|
| G-3T | G-4T | G-6T | CS | SEM | 1 | 2 | SEM | Protocol | Week | |
| CH4 emission | ||||||||||
| g/day | 25.6 b | 27.3 b | 26.7 b | 11.1 a | 1.11 | 22.7 | 22.6 | 0.99 | <0.001 | 0.969 |
| g/kg DMI | 42.6 b | 43.9 b | 42.4 b | 19.3 a | 2.03 | 38.1 | 35.8 | 1.79 | <0.001 | 0.105 |
| g/kg BW | 1.11 b | 1.18 b | 1.16 b | 0.49 a | 0.052 | 0.99 | 0.97 | 0.046 | <0.001 | 0.447 |
| g/kg OMI | 46.4 b | 48.3 b | 46.7 b | 20.4 a | 2.20 | 39.4 | 41.5 | 3.14 | <0.001 | 0.352 |
| g/kg DOM 2 | 79.5 b | 80.2 b | 77.4 b | 35.7 a | 5.22 | <0.001 | ||||
| CO2 emission (g/day) | 746 c | 727 bc | 712 b | 425 a | 23.2 | 650 | 654 | 21.8 | <0.001 | 0.729 |
| Heat production | ||||||||||
| MJ/day | 8.06 c | 7.81 bc | 7.61 b | 4.41 a | 0.271 | 6.98 | 6.96 | 0.253 | <0.001 | 0.844 |
| kJ/kg BW0.75 | 764 c | 737 bc | 720 b | 429 a | 21.2 | 669 | 657 | 19.3 | <0.001 | 0.327 |
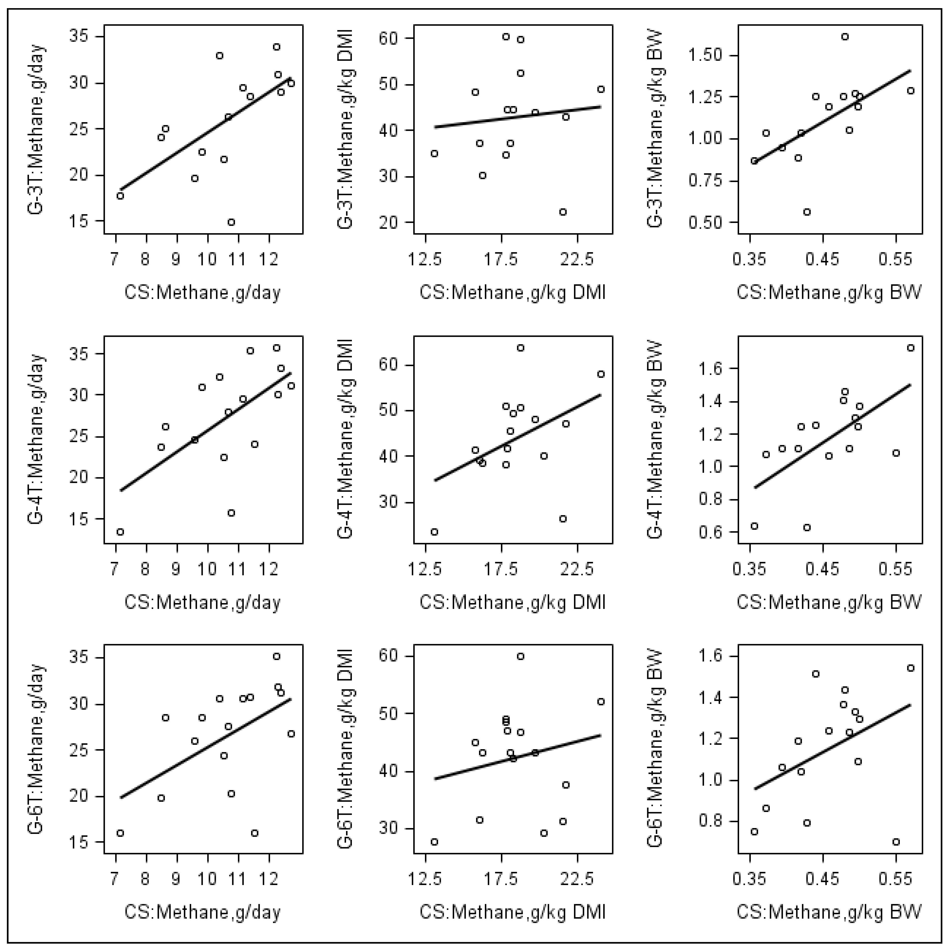
| CH4 (g/day) | CH4 (g/kg DMI) | CH4 (g/kg DOM) | CH4 (g/kg BW) | |
|---|---|---|---|---|
| CS with G-3T 1 | 0.623 * | 0.109 | 0.170 | 0.593 * |
| CS with G-4T 1 | 0.671 ** | 0.471 | 0.489 | 0.755 ** |
| CS with G-6T 1 | 0.702 ** | 0.310 | 0.291 | 0.749 ** |
| CS with GFS 2 | 0.693 ** | 0.321 | 0.332 | 0.745 ** |
| Variable | Protocol 1 | Week | p-Value | ||||||
|---|---|---|---|---|---|---|---|---|---|
| G-3T | G-4T | G-6T | SEM | 1 | 2 | SEM | Protocol | Week | |
| Number of visits per animal per day | 2.03 a | 2.76 b | 3.75 c | 0.114 | 2.80 | 2.89 | 0.093 | <0.001 | 0.517 |
| Time spent (min) per animal per visit | 4.54 b | 4.58 b | 4.07 a | 0.132 | 4.49 | 4.29 | 0.117 | 0.002 | 0.093 |
Disclaimer/Publisher’s Note: The statements, opinions and data contained in all publications are solely those of the individual author(s) and contributor(s) and not of MDPI and/or the editor(s). MDPI and/or the editor(s) disclaim responsibility for any injury to people or property resulting from any ideas, methods, instructions or products referred to in the content. |
© 2024 by the authors. Licensee MDPI, Basel, Switzerland. This article is an open access article distributed under the terms and conditions of the Creative Commons Attribution (CC BY) license (https://creativecommons.org/licenses/by/4.0/).
Share and Cite
Tadesse, D.; Puchala, R.; Yirga, H.; Patra, A.K.; Gipson, T.A.; Min, B.R.; Goetsch, A.L. Determining Appropriate Numbers and Times of Daily Measurements Using GreenFeed System to Estimate Ruminal Methane Emission of Meat Goats. Animals 2024, 14, 835. https://doi.org/10.3390/ani14060835
Tadesse D, Puchala R, Yirga H, Patra AK, Gipson TA, Min BR, Goetsch AL. Determining Appropriate Numbers and Times of Daily Measurements Using GreenFeed System to Estimate Ruminal Methane Emission of Meat Goats. Animals. 2024; 14(6):835. https://doi.org/10.3390/ani14060835
Chicago/Turabian StyleTadesse, Dereje, Ryszard Puchala, Hirut Yirga, Amlan Kumar Patra, Terry Allen Gipson, Byeng Ryel Min, and Arthur Louis Goetsch. 2024. "Determining Appropriate Numbers and Times of Daily Measurements Using GreenFeed System to Estimate Ruminal Methane Emission of Meat Goats" Animals 14, no. 6: 835. https://doi.org/10.3390/ani14060835
APA StyleTadesse, D., Puchala, R., Yirga, H., Patra, A. K., Gipson, T. A., Min, B. R., & Goetsch, A. L. (2024). Determining Appropriate Numbers and Times of Daily Measurements Using GreenFeed System to Estimate Ruminal Methane Emission of Meat Goats. Animals, 14(6), 835. https://doi.org/10.3390/ani14060835

