In Vitro Antiviral and Virucidal Activity of Ozone against Feline Calicivirus
Abstract
Simple Summary
Abstract
1. Introduction
2. Materials and Methods
2.1. O3 Generator
2.2. Hermetic Box for Gas Flow
2.3. Cells and Viruses
2.4. Cytotoxicity Assay
2.5. Antiviral Assays
2.5.1. Protocol A: Virus Infection of Cell Monolayers before Treatment with O3
2.5.2. Protocol B: Viral Infection of Cell Monolayers after Treatment with O3
2.6. Virucidal Activity Assay
2.7. Viral Titration
2.8. Data Analysis
3. Results
3.1. Cytotoxicity Assay
3.2. Antiviral Activity Assay
3.2.1. Protocol A: Treatment of Infected Cell Monolayers with O3
3.2.2. Protocol B: Treatment of Cell Monolayers with O3 before Virus Infection
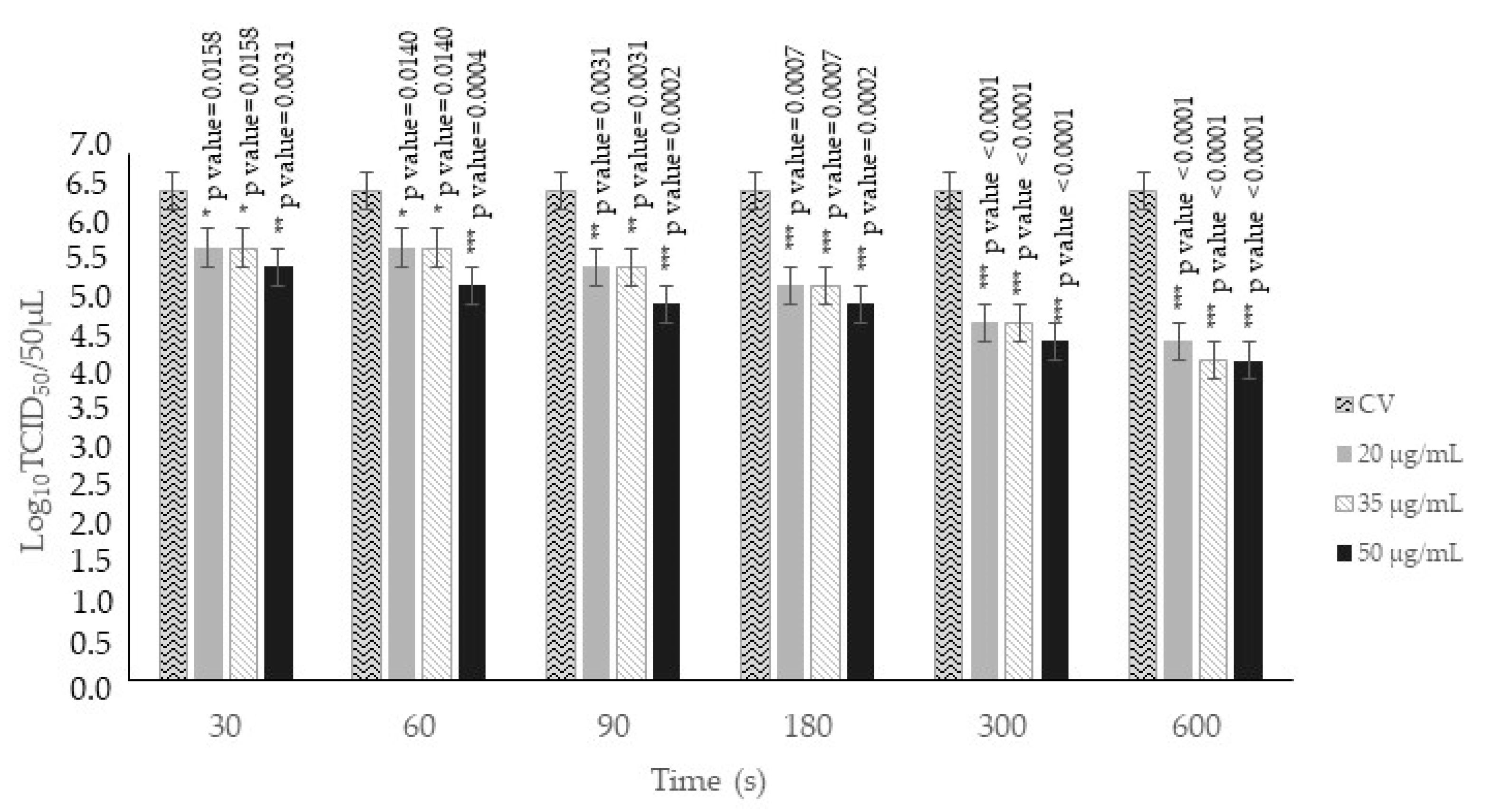
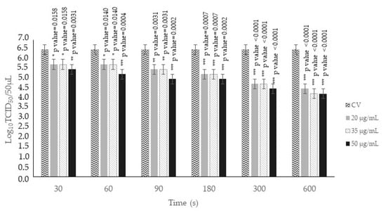
3.3. Virucidal Activity Assay
4. Discussion
5. Conclusions
Author Contributions
Funding
Institutional Review Board Statement
Informed Consent Statement
Data Availability Statement
Conflicts of Interest
References
- Boch, T.; Tennert, C.; Vach, K.; Al-Ahmad, A.; Hellwig, E.; Polydorou, O. Effect of gaseous ozone on Enterococcus faecalis biofilm—An in vitro study. Clin. Oral. Investig. 2016, 20, 1733–1739. [Google Scholar] [CrossRef]
- Lillo, E.; Cordisco, M.; Trotta, A.; Greco, G.; Carbonari, A.; Rizzo, A.; Sciorsci, R.L.; Corrente, M. Evaluation of antibacterial oxygen/ozone mixture in vitro activity on bacteria isolated from cervico-vaginal mucus of cows with acute metritis. Theriogenology 2023, 196, 25–30. [Google Scholar] [CrossRef] [PubMed]
- Lillo, E.; Pellegrini, F.; Rizzo, A.; Lanave, G.; Zizzadoro, C.; Cicirelli, V.; Catella, C.; Losurdo, M.; Martella, V.; Tempesta, M.; et al. In vitro Activity of Ozone/Oxygen Gaseous Mixture against a Caprine Herpesvirus Type 1 Strain Isolated from a Goat with Vaginitis. Animals 2023, 13, 1920. [Google Scholar] [CrossRef] [PubMed]
- Agapov, V.S.; Shulakov, V.V.; Fomchenkov, N.A. Ozonoterapiia khronicheskikh osteomielitov nizhneĭ cheliusti [Ozone therapy of chronic mandibular osteomyelitis]. Stomatologiia 2001, 80, 14–17. [Google Scholar] [PubMed]
- Al-Omiri, M.K.; Alqahtani, N.M.; Alahmari, N.M.; Hassan, R.A.; Al Nazeh, A.A.; Lynch, E. Treatment of symptomatic, deep, almost cariously exposed lesions using ozone. Sci. Rep. 2021, 11, 11166. [Google Scholar] [CrossRef] [PubMed]
- Alzain, S. Effect of chemical, microwave irradiation, steam autoclave, ultraviolet light radiation, ozone, and electrolyzed oxidizing water disinfection on properties of impression materials: A systematic review and meta-analysis study. Saudi Dent. J. 2020, 32, 161–170. [Google Scholar] [CrossRef] [PubMed]
- Abinaya, K.; Muthu Kumar, B.; Ahila, S.C. Evaluation of Surface Quality of Silicone Impression Materials after Disinfection with Ozone Water: An In vitro Study. Contemp. Clin. Dent. 2018, 9, 60–64. [Google Scholar] [CrossRef] [PubMed]
- Ankul Singh, S.; Suresh, S.; Vellapandian, C. Ozone-induced neurotoxicity: In vitro and in vivo evidence. Ageing Res. Rev. 2023, 91, 102045. [Google Scholar] [CrossRef] [PubMed]
- Vagaggini, B.; Taccola, M.; Cianchetti, S.; Carnevali, S.; Bartoli, M.L.; Bacci, E.; Dente, F.L.; Di Franco, A.; Giannini, D.; Paggiaro, P.L. Ozone exposure increases eosinophilic airway response induced by previous allergen challenge. Am. J. Respir. Crit. Care Med. 2002, 166, 1073–1077. [Google Scholar] [CrossRef]
- Zhang, N.; Li, L.; Huang, H. Inactivation of influenza virus by ozone gas. Environ. Sci. Technol. 2012, 46, 9794–9800. [Google Scholar]
- Ataei-Pirkooh, A.; Alavi, A.; Kianirad, M.; Bagherzadeh, K.; Ghasempour, A.; Pourdakan, O.; Adl, R.; Kiani, S.J.; Mirzaei, M.; Mehravi, B. Destruction mechanisms of ozone over SARS-CoV-2. Sci. Rep. 2021, 11, 18851. [Google Scholar] [CrossRef]
- Morrison, C.M.; Hogard, S.; Pearce, R.; Gerrity, D.; von Gunten, U.; Wert, E.C. Ozone disinfection of waterborne pathogens and their surrogates: A critical review. Water Res. 2022, 214, 118206. [Google Scholar] [CrossRef]
- Dawley, C.R.; Lee, J.A.; Gibson, K.E. Reduction of Norovirus Surrogates Alone and in Association with Bacteria on Leaf Lettuce and Tomatoes During Application of Aqueous Ozone. Food Environ. Virol. 2021, 13, 390–400. [Google Scholar] [CrossRef]
- Brié, A.; Boudaud, N.; Mssihid, A.; Loutreul, J.; Bertrand, I.; Gantzer, C. Inactivation of murine norovirus and hepatitis A virus on fresh raspberries by gaseous ozone treatment. Food Microbiol. 2018, 70, 1–6. [Google Scholar] [CrossRef]
- Vojtkovská, V.; Lobová, D.; Voslářová, E.; Večerek, V. Impact of the Application of Gaseous Ozone on Selected Pathogens Found in Animal Shelters, and Other Facilities. Animals 2023, 13, 3230. [Google Scholar] [CrossRef]
- Von Gunten, U. Ozonation of drinking water: Part II. Disinfection and by-product formation in presence of bromide, iodide or chlorine. Water Res. 2003, 37, 1469–1487. [Google Scholar] [CrossRef] [PubMed]
- Manasfi, T. Ozonation in drinking water treatment: An overview of general and practical aspects, mechanisms, kinetics, and byproduct formation. Compr. Anal. Chem. 2021, 92, 85–116. [Google Scholar] [CrossRef]
- Cai, Y.; Zhao, Y.; Yadav, A.K.; Ji, B.; Kang, P.; Wei, T. Ozone based inactivation and disinfection in the pandemic time and beyond: Taking forward what has been learned and best practice. Sci. Total Environ. 2023, 862, 160711. [Google Scholar] [CrossRef] [PubMed]
- Ludwig-Begall, L.F.; Mauroy, A.; Thiry, E. Noroviruses-The State of the Art, Nearly Fifty Years after Their Initial Discovery. Viruses 2021, 13, 1541. [Google Scholar] [CrossRef] [PubMed]
- Srivastava, P.; Prasad, D. Human Norovirus Detection: How Much Are We Prepared? Foodborne Pathog. Dis. 2023, 20, 531–544. [Google Scholar] [CrossRef] [PubMed]
- Winder, N.; Gohar, S.; Muthana, M. Norovirus: An Overview of Virology and Preventative Measures. Viruses 2022, 14, 2811. [Google Scholar] [CrossRef] [PubMed]
- Mathijs, E.; Stals, A.; Baert, L.; Botteldoorn, N.; Denayer, S.; Mauroy, A.; Scipioni, A.; Daube, G.; Dierick, K.; Herman, L.; et al. A review of known and hypothetical transmission routes for noroviruses. Food Environ. Virol. 2012, 4, 131–152. [Google Scholar] [CrossRef] [PubMed]
- Cardemil, C.V.; Parashar, U.D.; Hall, A.J. Norovirus Infection in Older Adults: Epidemiology, Risk Factors, and Opportunities for Prevention and Control. Infect. Dis. Clin. N. Am. 2017, 31, 839–870. [Google Scholar] [CrossRef] [PubMed]
- Hughes, S.L.; Greer, A.L.; Elliot, A.J.; McEwen, S.A.; Young, I.; Papadopoulos, A. Epidemiology of norovirus and viral gastroenteritis in Ontario, Canada, 2009–2014. Can. Commun. Dis. Rep. 2021, 47, 397–404. [Google Scholar] [CrossRef] [PubMed]
- Suzuki, Y. Predicting Dominant Genotypes in Norovirus Seasons in Japan. Life 2023, 13, 1634. [Google Scholar] [CrossRef] [PubMed]
- Ahlfeld, B.; Li, Y.; Boulaaba, A.; Binder, A.; Schotte, U.; Zimmermann, J.L.; Morfill, G.; Klein, G. Inactivation of a foodborne norovirus outbreak strain with nonthermal atmospheric pressure plasma. mBio 2015, 6, e02300-14. [Google Scholar] [CrossRef] [PubMed]
- Moorman, E.; Montazeri, N.; Jaykus, L.A. Efficacy of Neutral Electrolyzed Water for Inactivation of Human Norovirus. Appl. Environ. Microbiol. 2017, 83, e00653-17. [Google Scholar] [CrossRef]
- Reynolds, B.S.; Poulet, H.; Pingret, J.L.; Jas, D.; Brunet, S.; Lemeter, C.; Etievant, M.; Boucraut-Baralon, C. A nosocomial outbreak of feline calicivirus associated virulent systemic disease in France. J. Feline Med. Surg. 2009, 11, 633–644. [Google Scholar] [CrossRef]
- Richards, G.P. Critical review of norovirus surrogates in food safety research: Rationale for considering volunteer studies. Food Environ. Virol. 2012, 4, 6–13. [Google Scholar] [CrossRef]
- Lanave, G.; Cavalli, A.; Martella, V.; Fontana, T.; Losappio, R.; Tempesta, M.; Decaro, N.; Buonavoglia, D.; Camero, M. Ribavirin and boceprevir are able to reduce Canine distemper virus growth in vitro. J. Virol. Methods 2017, 248, 207–211. [Google Scholar] [CrossRef]
- Reed, L.J.; Muench, H. A simple method of estimating fifty per cent endpoints. Am. J. Epidemiol. 1938, 27, 493–497. [Google Scholar] [CrossRef]
- Liu, L.; Zeng, L.; Gao, L.; Zeng, J.; Lu, J. Ozone therapy for skin diseases: Cellular and molecular mechanisms. Int. Wound J. 2023, 20, 2376–2385. [Google Scholar] [CrossRef] [PubMed]
- Hofmann-Lehmann, R.; Hosie, M.J.; Hartmann, K.; Egberink, H.; Truyen, U.; Tasker, S.; Belák, S.; Boucraut-Baralon, C.; Frymus, T.; Lloret, A.; et al. Calicivirus Infection in Cats. Viruses 2022, 14, 937. [Google Scholar] [CrossRef] [PubMed]
- Ried, A.; Mielcke, J.; Wieland, A. The potential use of ozone in municipal wastewater. Ozone Sci. Eng. 2009, 31, 415–421. [Google Scholar] [CrossRef]
- Pringle, K.; Lopman, B.; Vega, E.; Vinje, J.; Parashar, U.D.; Hall, A.J. Noroviruses: Epidemiology, immunity and prospects for prevention. Future Microbiol. 2015, 10, 53–67. [Google Scholar] [CrossRef]
- Netzler, N.E.; Enosi Tuipulotu, D.; White, P.A. Norovirus antivirals: Where are we now? Med. Res. Rev. 2019, 39, 860–886. [Google Scholar] [CrossRef] [PubMed]
- Hallowell, B.D.; Parashar, U.D.; Hall, A.J. Epidemiologic challenges in norovirus vaccine development. Hum. Vaccin. Immunother. 2019, 15, 1279–1283. [Google Scholar] [CrossRef]
- Radford, A.D.; Dawson, S.; Coyne, K.P.; Porter, C.J.; Gaskell, R.M. The challenge for the next generation of feline calicivirus vaccines. Vet. Microbiol. 2006, 117, 14–18. [Google Scholar] [CrossRef]
- Berger, A.; Willi, B.; Meli, M.L.; Boretti, F.S.; Hartnack, S.; Dreyfus, A.; Lutz, H.; Hofmann-Lehmann, R. Feline calicivirus and other respiratory pathogens in cats with Feline calicivirus-related symptoms and in clinically healthy cats in Switzerland. BMC Vet. Res. 2015, 11, 282. [Google Scholar] [CrossRef]
- Zheng, M.; Li, Z.; Fu, X.; Lv, Q.; Yang, Y.; Shi, F. Prevalence of feline calicivirus and the distribution of serum neutralizing antibody against isolate strains in cats of Hangzhou, China. J. Vet. Sci. 2021, 22, e73. [Google Scholar] [CrossRef]
- Thorn, R.M.; Robinson, G.M.; Reynolds, D.M. Comparative antimicrobial activities of aerosolized sodium hypochlorite, chlorine dioxide, and electrochemically activated solutions evaluated using a novel standardized assay. Antimicrob. Agents Chemother. 2013, 57, 2216–2225. [Google Scholar] [CrossRef]
- Megahed, A.; Aldridge, B.; Lowe, J. Comparative study on the efficacy of sodium hypochlorite, aqueous ozone, and peracetic acid in the elimination of Salmonella from cattle manure contaminated various surfaces supported by Bayesian analysis. PLoS ONE 2019, 14, e0217428. [Google Scholar] [CrossRef]
- Greenberg, A.E. Public health aspects of alternative water disinfectants. In Water Disinfection with Ozone, Chloramines, or Chlorine Dioxide. Am. Water Works Assoc. 1980, 73, 2. [Google Scholar] [CrossRef]
- Romanovski, V.; Claesson, P.M.; Hedberg, Y.S. Comparison of different surface disinfection treatments of drinking water facilities from a corrosion and environmental perspective. Environ. Sci. Pollut. Res. Int. 2020, 27, 12704–12716. [Google Scholar] [CrossRef] [PubMed]
- Recker, J.D.; Li, X. Evaluation of Copper Alloy Surfaces for Inactivation of Tulane Virus and Human Noroviruses. J. Food Prot. 2020, 83, 1782–1788. [Google Scholar] [CrossRef] [PubMed]
- Park, G.W.; Collins, N.; Barclay, L.; Hu, L.; Prasad, B.V.; Lopman, B.A.; Vinjé, J. Strain-Specific Virolysis Patterns of Human Noroviruses in Response to Alcohols. PLoS ONE 2016, 11, e0157787. [Google Scholar] [CrossRef]
- Liu, P.; Macinga, D.R.; Fernandez, M.L.; Zapka, C.; Hsiao, H.M.; Berger, B.; Arbogast, J.W.; Moe, C.L. Comparison of the Activity of Alcohol-Based Handrubs Against Human Noroviruses Using the Fingerpad Method and Quantitative Real-Time PCR. Food Environ. Virol. 2011, 3, 35–42. [Google Scholar] [CrossRef]
- Li, D.; Baert, L.; Xia, M.; Zhong, W.; Van Coillie, E.; Jiang, X.; Uyttendaele, M. Evaluation of methods measuring the capsid integrity and/or functions of noroviruses by heat inactivation. J. Virol. Methods 2012, 181, 1–5. [Google Scholar] [CrossRef]
- Di Martino, B.; Lanave, G.; Di Profio, F.; Melegari, I.; Marsilio, F.; Camero, M.; Catella, C.; Capozza, P.; Bányai, K.; Barrs, V.R.; et al. Identification of feline calicivirus in cats with enteritis. Transbound. Emerg. Dis. 2020, 67, 2579–2588. [Google Scholar] [CrossRef]
- Aidoo, O.F.; Osei-Owusu, J.; Chia, S.Y.; Dofuor, A.K.; Antwi-Agyakwa, A.K.; Okyere, H.; Gyan, M.; Edusei, G.; Ninsin, K.D.; Duker, R.Q.; et al. Remediation of pesticide residues using ozone: A comprehensive overview. Sci. Total Environ. 2023, 894, 164933. [Google Scholar] [CrossRef]




Disclaimer/Publisher’s Note: The statements, opinions and data contained in all publications are solely those of the individual author(s) and contributor(s) and not of MDPI and/or the editor(s). MDPI and/or the editor(s) disclaim responsibility for any injury to people or property resulting from any ideas, methods, instructions or products referred to in the content. |
© 2024 by the authors. Licensee MDPI, Basel, Switzerland. This article is an open access article distributed under the terms and conditions of the Creative Commons Attribution (CC BY) license (https://creativecommons.org/licenses/by/4.0/).
Share and Cite
Catella, C.; Pellegrini, F.; Carbonari, A.; Burgio, M.; Patruno, G.; Rizzo, A.; Trombetta, C.M.; Palmisani, J.; Martella, V.; Camero, M.; et al. In Vitro Antiviral and Virucidal Activity of Ozone against Feline Calicivirus. Animals 2024, 14, 682. https://doi.org/10.3390/ani14050682
Catella C, Pellegrini F, Carbonari A, Burgio M, Patruno G, Rizzo A, Trombetta CM, Palmisani J, Martella V, Camero M, et al. In Vitro Antiviral and Virucidal Activity of Ozone against Feline Calicivirus. Animals. 2024; 14(5):682. https://doi.org/10.3390/ani14050682
Chicago/Turabian StyleCatella, Cristiana, Francesco Pellegrini, Alice Carbonari, Matteo Burgio, Giovanni Patruno, Annalisa Rizzo, Claudia Maria Trombetta, Jolanda Palmisani, Vito Martella, Michele Camero, and et al. 2024. "In Vitro Antiviral and Virucidal Activity of Ozone against Feline Calicivirus" Animals 14, no. 5: 682. https://doi.org/10.3390/ani14050682
APA StyleCatella, C., Pellegrini, F., Carbonari, A., Burgio, M., Patruno, G., Rizzo, A., Trombetta, C. M., Palmisani, J., Martella, V., Camero, M., & Lanave, G. (2024). In Vitro Antiviral and Virucidal Activity of Ozone against Feline Calicivirus. Animals, 14(5), 682. https://doi.org/10.3390/ani14050682

