Analysis of Differential Alternative Splicing in Largemouth Bass After High Temperature Exposure
Simple Summary
Abstract
1. Introduction
2. Materials and Methods
2.1. Experimental Design
2.2. Library Preparation and Sequencing
2.3. Alternative Splicing Event Quantification
2.4. Differential Alternative Splicing Events
2.5. Enrichment Analysis
2.6. Validation of Quantitative Real-Time PCR (RT-qPCR)
3. Results
3.1. Statistic of Transcriptome Sequencing
3.2. DEGs Analysis
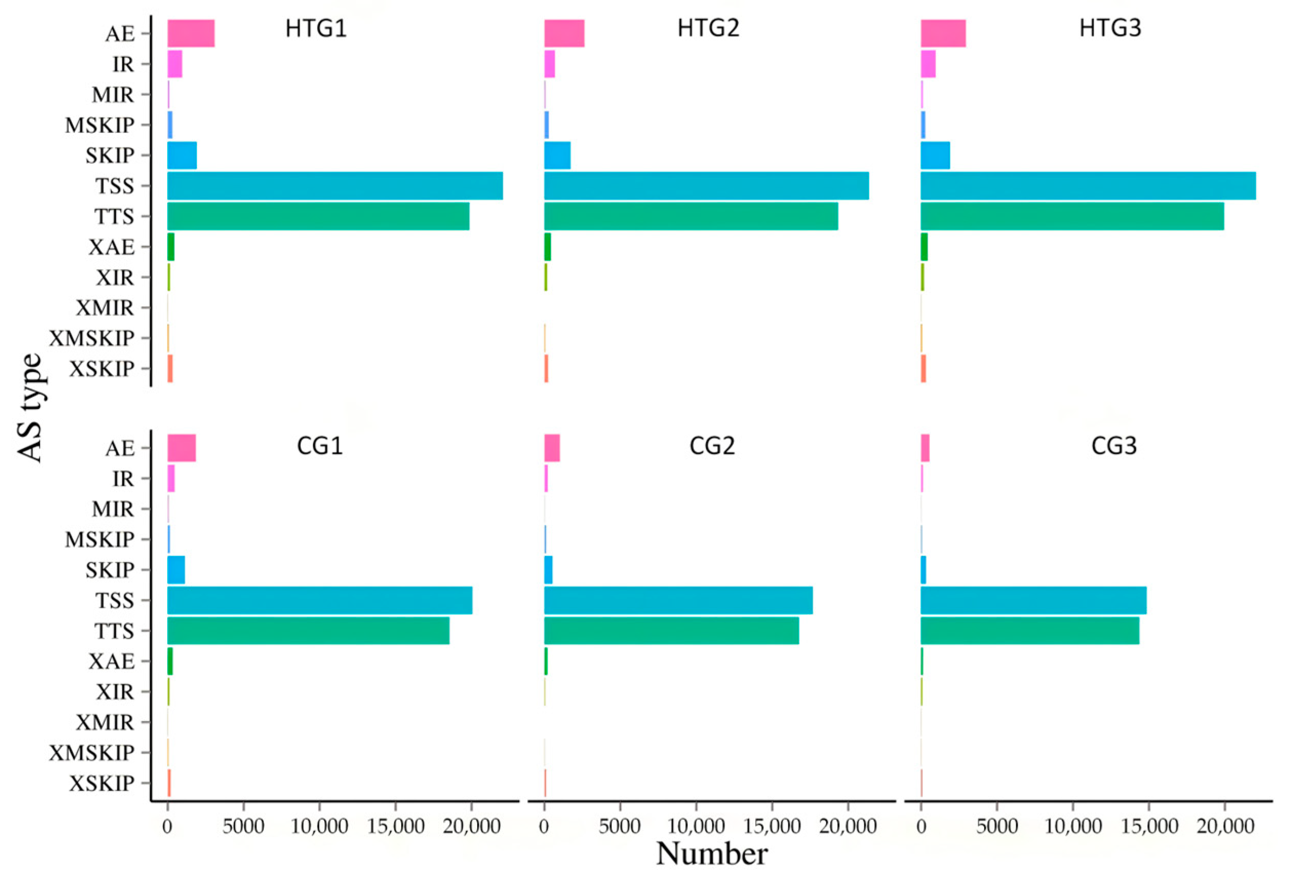
3.3. Alternative Splicing Profiles
3.4. Differential Alternative Splicing Analysis
3.5. GO and KEGG Analysis of Differential Alternative Splicing Genes
3.6. Overlapping Genes between Differentially Expressed Genes and Differential Alternative Splicing Genes
3.7. The atp2a1 Gene Analysis and RT-qPCR Validation
4. Discussion
5. Conclusions
Supplementary Materials
Author Contributions
Funding
Institutional Review Board Statement
Informed Consent Statement
Data Availability Statement
Conflicts of Interest
References
- Alfonso, S.; Gesto, M.; Sadoul, B. Temperature increase and its effects on fish stress physiology in the context of global warming. J. Fish. Biol. 2021, 98, 1496–1508. [Google Scholar] [CrossRef]
- Suzzi, A.L.; Stat, M.; Gaston, T.F.; Siboni, N.; Williams, N.; Seymour, J.R.; Huggett, M.J. Elevated estuary water temperature drives fish gut dysbiosis and increased loads of pathogenic vibrionaceae. Environ. Res. 2023, 219, 115144. [Google Scholar] [CrossRef]
- Stilwell, N.K.; Frasca, S.J.; Farina, L.L.; Subramaniam, K.; Imnoi, K.; Viadanna, P.H.; Hopper, L.; Powell, J.; Colee, J.; Waltzek, T.B. Effect of water temperature on frog virus 3 disease in hatchery-reared pallid sturgeon Scaphirhynchus albus. Dis. Aquat. Organ. 2022, 148, 73–86. [Google Scholar] [CrossRef]
- Matthews, H.D.; Wynes, S. Current global efforts are insufficient to limit warming to 1.5 °C. Science 2022, 376, 1404–1409. [Google Scholar] [CrossRef]
- Huang, J.; Zhang, X.; Zhang, Q.; Lin, Y.; Hao, M.; Luo, Y.; Zhao, Z.; Yao, Y.; Chen, X.; Wang, L.; et al. Recently amplified arctic warming has contributed to a continual global warming trend. Nat. Clim. Chang. 2017, 7, 875–879. [Google Scholar] [CrossRef]
- Little, A.G.; Loughland, I.; Seebacher, F. What do warming waters mean for fish physiology and fisheries? J. Fish. Biol. 2020, 97, 328–340. [Google Scholar] [CrossRef]
- Kefford, B.J.; Ghalambor, C.K.; Dewenter, B.; Poff, N.L.; Hughes, J.; Reich, J.; Thompson, R. Acute, diel, and annual temperature variability and the thermal biology of ectotherms. Global Chang. Biol. 2022, 28, 6872–6888. [Google Scholar] [CrossRef]
- Baag, S.; Mandal, S. Combined effects of ocean warming and acidification on marine fish and shellfish: A molecule to ecosystem perspective. Sci. Total Environ. 2022, 802, 149807. [Google Scholar] [CrossRef]
- Till, A.; Rypel, A.L.; Bray, A.; Fey, S.B. Fish die-offs are concurrent with thermal extremes in north temperate lakes. Nat. Clim. Chang. 2019, 9, 637–641. [Google Scholar] [CrossRef]
- Qian, X.; Ba, Y.; Zhuang, Q.; Zhong, G. RNA-Seq technology and its application in fish transcriptomics. Omics 2014, 18, 98–110. [Google Scholar] [CrossRef]
- Sudhagar, A.; Kumar, G.; El-Matbouli, M. Transcriptome Analysis Based on RNA-Seq in Understanding Pathogenic Mechanisms of Diseases and the Immune System of Fish: A Comprehensive Review. Int. J. Mol. Sci. 2018, 19, 245. [Google Scholar] [CrossRef]
- Chang, M.X.; Zhang, J. Alternative Pre-mRNA Splicing in Mammals and Teleost Fish: A Effective Strategy for the Regulation of Immune Responses against Pathogen Infection. Int. J. Mol. Sci. 2017, 18, 1530. [Google Scholar] [CrossRef]
- Ule, J.; Blencowe, B.J. Alternative Splicing Regulatory Networks: Functions, Mechanisms, and Evolution. Mol. Cell 2019, 76, 329–345. [Google Scholar] [CrossRef]
- Marasco, L.E.; Kornblihtt, A.R. The physiology of alternative splicing. Nat. Rev. Mol. Cell Biol. 2023, 24, 242–254. [Google Scholar] [CrossRef]
- Baralle, F.E.; Giudice, J. Alternative splicing as a regulator of development and tissue identity. Nat. Rev. Mol. Cell Biol. 2017, 18, 437–451. [Google Scholar] [CrossRef]
- Wright, C.J.; Smith, C.; Jiggins, C.D. Alternative splicing as a source of phenotypic diversity. Nat. Rev. Genet. 2022, 23, 697–710. [Google Scholar] [CrossRef]
- Tan, S.; Wang, W.; Zhong, X.; Tian, C.; Niu, D.; Bao, L.; Zhou, T.; Jin, Y.; Yang, Y.; Yuan, Z.; et al. Increased Alternative Splicing as a Host Response to Edwardsiella ictaluri Infection in Catfish. Mar. Biotechnol. 2018, 20, 729–738. [Google Scholar] [CrossRef]
- Guo, H.; Fu, X.; Lin, Q.; Liu, L.; Liang, H.; Huang, Z.; Li, N.; Su, J. Mandarin fish p53: Genomic structure, alternatively spliced variant and its mRNA expression after virus challenge. Fish Shellfish Immun. 2017, 70, 536–544. [Google Scholar] [CrossRef]
- Chiang, Y.A.; Hung, H.Y.; Lee, C.W.; Huang, Y.T.; Wang, H.C. Shrimp Dscam and its cytoplasmic tail splicing activator serine/arginine (SR)-rich protein B52 were both induced after white spot syndrome virus challenge. Fish Shellfish Immun. 2013, 34, 209–219. [Google Scholar] [CrossRef]
- Bravo, S.; Leiva, F.; Moya, J.; Guzman, O.; Vidal, R. Unveiling the Role of Dynamic Alternative Splicing Modulation after Infestation with Sea Lice (Caligus rogercresseyi) in Atlantic Salmon. Mar. Biotechnol. 2023, 25, 223–234. [Google Scholar] [CrossRef]
- Qu, A.; Bai, Y.; Zhang, X.; Zeng, J.; Pu, F.; Wu, L.; Xu, P.; Zhou, T. Tissue-Specific Analysis of Alternative Splicing Events and Differential Isoform Expression in Large Yellow Croaker (Larimichthys crocea) after Cryptocaryon irritans Infection. Mar. Biotechnol. 2022, 24, 640–654. [Google Scholar] [CrossRef]
- Sun, J.; Liu, Z.; Quan, J.; Li, L.; Zhao, G.; Lu, J. RNA-seq Analysis Reveals Alternative Splicing under Heat Stress in Rainbow Trout (Oncorhynchus mykiss). Mar. Biotechnol. 2022, 24, 5–17. [Google Scholar] [CrossRef]
- Healy, T.M.; Schulte, P.M. Patterns of alternative splicing in response to cold acclimation in fish. J. Exp. Biol. 2019, 222. [Google Scholar] [CrossRef]
- Liu, Z.; Sun, J.; Quan, J.; Li, L.; Zhao, G.; Lu, J. Effect of selenium nanoparticles on alternative splicing in heat-stressed rainbow trout primary hepatocytes. Comp. Biochem. Phys. D 2023, 45, 101042. [Google Scholar] [CrossRef]
- Liu, D.; Yu, H.; Xue, N.; Bao, H.; Gao, Q.; Tian, Y. Alternative splicing patterns of hnrnp genes in gill tissues of rainbow trout (Oncorhynchus mykiss) during salinity changes. Comp. Biochem. Phys. B 2024, 271, 110948. [Google Scholar] [CrossRef]
- Tian, Y.; Wen, H.; Qi, X.; Zhang, X.; Sun, Y.; Li, J.; He, F.; Zhang, M.; Zhang, K.; Yang, W.; et al. Alternative splicing (AS) mechanism plays important roles in response to different salinity environments in spotted sea bass. Int. J. Biol. Macromol. 2020, 155, 50–60. [Google Scholar] [CrossRef]
- Guo, S.; Chen, M.; Li, W.; Wan, Q.; Xu, M. Analysis of Alternative Splicing and Long Noncoding RNAs after the Edwardsiella anguillarum Infected the Immunized European Eels (Anguilla anguilla) Revealed the Role of Outer Membrane Protein A in OmpA Subunit Vaccine. Mar. Biotechnol. 2023, 25, 372–387. [Google Scholar] [CrossRef]
- Ozerov, M.Y.; Noreikiene, K.; Kahar, S.; Flajshans, M.; Gross, R.; Vasemagi, A. Differential expression and alternative splicing analyses of multiple tissues reveal albinism-associated genes in the Wels catfish (Silurus glanis). Comp. Biochem. Phys. B 2024, 271, 110941. [Google Scholar] [CrossRef]
- Lu, Y.; Liu, Q.; Liu, K.; Wang, H.; Li, C.; Wang, Q.; Shao, C. Identification of global alternative splicing and sex-specific splicing via comparative transcriptome analysis of gonads of Chinese tongue sole (Cynoglossus semilaevis). Zool. Res. 2022, 43, 319–330. [Google Scholar] [CrossRef]
- Naftaly, A.S.; Pau, S.; White, M.A. Long-read RNA sequencing reveals widespread sex-specific alternative splicing in threespine stickleback fish. Genome Res. 2021, 31, 1486–1497. [Google Scholar] [CrossRef]
- White, D.P.; Wahl, D.H. Growth and physiological responses in largemouth bass populations to environmental warming: Effects of inhabiting chronically heated environments. J. Therm. Biol. 2020, 88, 102467. [Google Scholar] [CrossRef]
- Béné, C.; Barange, M.; Subasinghe, R.; Pinstrup-Andersen, P.; Merino, G.; Hemre, G.; Williams, M. Feeding 9 billion by 2050–Putting fish back on the menu. Food Secur. 2015, 7, 261–274. [Google Scholar] [CrossRef]
- Dettleff, P.; Toloza, C.; Fuentes, M.; Aedo, J.; Zuloaga, R.; Estrada, J.M.; Molina, A.; Valdes, J.A. Gills de novo assembly reveals oxidative stress, unfolded protein, and immune response on red cusk-eel (Genypterus chilensis) under thermal stress. Mar. Environ. Res. 2024, 196, 106440. [Google Scholar] [CrossRef]
- Evans, D.H.; Piermarini, P.M.; Choe, K.P. The multifunctional fish gill: Dominant site of gas exchange, osmoregulation, acid-base regulation, and excretion of nitrogenous waste. Physiol. Rev. 2005, 85, 97–177. [Google Scholar] [CrossRef]
- Kim, D.; Langmead, B.; Salzberg, S.L. HISAT: A fast spliced aligner with low memory requirements. Nat. Methods 2015, 12, 357–360. [Google Scholar] [CrossRef]
- Pertea, M.; Pertea, G.M.; Antonescu, C.M.; Chang, T.C.; Mendell, J.T.; Salzberg, S.L. StringTie enables improved reconstruction of a transcriptome from RNA-seq reads. Nat. Biotechnol. 2015, 33, 290–295. [Google Scholar] [CrossRef]
- Love, M.I.; Huber, W.; Anders, S. Moderated estimation of fold change and dispersion for RNA-seq data with DESeq2. Genome Biol. 2014, 15, 550. [Google Scholar] [CrossRef]
- Florea, L.; Song, L.; Salzberg, S.L. Thousands of exon skipping events differentiate among splicing patterns in sixteen human tissues. F1000Res 2013, 2, 188. [Google Scholar] [CrossRef]
- Shen, S.; Park, J.W.; Lu, Z.X.; Lin, L.; Henry, M.D.; Wu, Y.N.; Zhou, Q.; Xing, Y. rMATS: Robust and flexible detection of differential alternative splicing from replicate RNA-Seq data. Proc. Natl. Acad. Sci. USA 2014, 111, E5593–E5601. [Google Scholar] [CrossRef]
- Wu, T.; Hu, E.; Xu, S.; Chen, M.; Guo, P.; Dai, Z.; Feng, T.; Zhou, L.; Tang, W.; Zhan, L.; et al. clusterProfiler 4.0: A universal enrichment tool for interpreting omics data. Innovation 2021, 2, 100141. [Google Scholar] [CrossRef]
- Sales, C.F.; Santos, K.; Rizzo, E.; Ribeiro, R.; Santos, H.; Thome, R.G. Proliferation, survival and cell death in fish gills remodeling: From injury to recovery. Fish Shellfish Immun. 2017, 68, 10–18. [Google Scholar] [CrossRef]
- Sun, J.L.; Zhao, L.L.; Liao, L.; Tang, X.H.; Cui, C.; Liu, Q.; He, K.; Ma, J.D.; Jin, L.; Yan, T.; et al. Interactive effect of thermal and hypoxia on largemouth bass (Micropterus salmoides) gill and liver: Aggravation of oxidative stress, inhibition of immunity and promotion of cell apoptosis. Fish Shellfish Immun. 2020, 98, 923–936. [Google Scholar] [CrossRef]
- Li, P.; Liu, Q.; Li, J.; Wang, F.; Wen, S.; Li, N. Transcriptomic responses to heat stress in gill and liver of endangered Brachymystax lenok tsinlingensis. Comp. Biochem. Phys. D 2021, 38, 100791. [Google Scholar] [CrossRef]
- Li, H.L.; Lin, H.R.; Xia, J.H. Differential Gene Expression Profiles and Alternative Isoform Regulations in Gill of Nile Tilapia in Response to Acute Hypoxia. Mar. Biotechnol. 2017, 19, 551–562. [Google Scholar] [CrossRef]
- Tan, S.; Wang, W.; Tian, C.; Niu, D.; Zhou, T.; Jin, Y.; Yang, Y.; Gao, D.; Dunham, R.; Liu, Z. Heat stress induced alternative splicing in catfish as determined by transcriptome analysis. Comp. Biochem. Phys. D 2019, 29, 166–172. [Google Scholar] [CrossRef]
- Jiang, J.; Liu, X.; Liu, C.; Liu, G.; Li, S.; Wang, L. Integrating Omics and Alternative Splicing Reveals Insights into Grape Response to High Temperature. Plant Physiol. 2017, 173, 1502–1518. [Google Scholar] [CrossRef]
- Huang, S.; Dou, J.; Li, Z.; Hu, L.; Yu, Y.; Wang, Y. Analysis of Genomic Alternative Splicing Patterns in Rat under Heat Stress Based on RNA-Seq Data. Genes 2022, 13, 358. [Google Scholar] [CrossRef]
- Zhang, X.; Yuan, J.; Zhang, X.; Liu, C.; Xiang, J.; Li, F. Genome-Wide Analysis of Alternative Splicing Provides Insights into Stress Response of the Pacific White Shrimp Litopenaeus vanname. Front. Genet. 2019, 10, 845. [Google Scholar] [CrossRef]
- Duan, P.; Tian, Y.; Li, Z.; Chen, S.; Li, L.; Wang, X.; Wang, L.; Liu, Y.; Zhai, J.; Li, W.; et al. Comparative transcriptome analysis of hybrid Jinhu grouper (Epinephelus fuscoguttatus ♀ × Epinephelus tukula ♂) and Epinephelus fuscoguttatus under temperature stress. Aquaculture 2024, 578, 740037. [Google Scholar] [CrossRef]
- Zhao, X.; Sun, Z.; Xu, H.; Song, N.; Gao, T. Transcriptome and co-expression network analyses reveal the regulatory pathways and key genes associated with temperature adaptability in the yellow drum (Nibea albiflora). J. Therm. Biol. 2021, 100, 103071. [Google Scholar] [CrossRef]
- Ren, J.; Long, Y.; Liu, R.; Song, G.; Li, Q.; Cui, Z. Characterization of Biological Pathways Regulating Acute Cold Resistance of Zebrafish. Int. J. Mol. Sci. 2021, 22, 3028. [Google Scholar] [CrossRef]
- Ge, G.; Long, Y.; Song, G.; Li, Q.; Cui, Z.; Yan, H. Transcriptomic Profiling Revealed Signaling Pathways Associated with the Spawning of Female Zebrafish under Cold Stress. Int. J. Mol. Sci. 2022, 23, 7494. [Google Scholar] [CrossRef]
- Scharsack, J.P.; Franke, F. Temperature effects on teleost immunity in the light of climate change. J. Fish. Biol. 2022, 101, 780–796. [Google Scholar] [CrossRef]
- Makrinos, D.L.; Bowden, T.J. Natural environmental impacts on teleost immune function. Fish Shellfish Immun. 2016, 53, 50–57. [Google Scholar] [CrossRef]
- Roberts, R.J.; Agius, C.; Saliba, C.; Bossier, P.; Sung, Y.Y. Heat shock proteins (chaperones) in fish and shellfish and their potential role in relation to fish health: A review. J. Fish. Dis. 2010, 33, 789–801. [Google Scholar] [CrossRef]
- Dalvi, R.S.; Pal, A.K.; Tiwari, L.R.; Baruah, K. Influence of acclimation temperature on the induction of heat-shock protein 70 in the catfish Horabagrus brachysoma (Gunther). Fish Physiol. Biochem. 2012, 38, 919–927. [Google Scholar] [CrossRef]
- Padmini, E. Physiological adaptations of stressed fish to polluted environments: Role of heat shock proteins. Rev. Environ. Contam. T 2010, 206, 1–27. [Google Scholar] [CrossRef]
- Li, J.; Soroka, J.; Buchner, J. The Hsp90 chaperone machinery: Conformational dynamics and regulation by co-chaperones. Biochim. Biophys. Acta 2012, 1823, 624–635. [Google Scholar] [CrossRef]
- Peruzza, L.; Pascoli, F.; Dalla Rovere, G.; Franch, R.; Ferraresso, S.; Babbucci, M.; Biasini, L.; Abbadi, M.; Panzarin, V.; Toffan, A.; et al. Transcriptome analysis reveals a complex response to the RGNNV/SJNNV reassortant Nervous Necrosis Virus strain in sea bream larvae. Fish Shellfish Immun. 2021, 114, 282–292. [Google Scholar] [CrossRef]
- Zhou, T.; Wei, J.; Su, Y.; Hu, Z.; Li, Y.; Yuan, H.; Zhao, K.; Liu, C.; Zhang, H. Triclocarban at environmentally relevant concentrations induces the endoplasmic reticulum stress in zebrafish. Environ. Toxicol. 2019, 34, 223–232. [Google Scholar] [CrossRef]
- Liu, Z.; Shangguan, Y.; Zhu, P.; Sultan, Y.; Feng, Y.; Li, X.; Ma, J. Developmental toxicity of glyphosate on embryo-larval zebrafish (Danio rerio). Ecotox. Environ. Safe 2022, 236, 113493. [Google Scholar] [CrossRef]
- Wu, B.; Feng, C.; Zhu, C.; Xu, W.; Yuan, Y.; Hu, M.; Yuan, K.; Li, Y.; Ren, Y.; Zhou, Y.; et al. The Genomes of Two Billfishes Provide Insights into the Evolution of Endothermy in Teleosts. Mol. Biol. Evol. 2021, 38, 2413–2427. [Google Scholar] [CrossRef]







| Gene Description | Gene Symbol | Primers For RT-qPCR(5′-3′) |
|---|---|---|
| actin, beta 2 | actb2 | F:AAAGGGAAATCGTGCGTGAC R:AAGGAAGGCTGGAAGAGGG |
| HSPA (heat shock 70 kDa) binding protein, cytoplasmic cochaperone 1 | hspbp1 | F:GTTTCTGTGTTTATAGGGGGAGT R:CAGCCACATTTTCCTCTCCTCT |
| heat shock protein 4a | hspa4a | F:AGGAGGGACTGAGTGATTGTG R:TATAGCGGCGTTGGGGTAAG |
| DnaJ heat shock protein family (Hsp40) member B1a | dnajb1a | F:GATCGCTTTGGAGAAGAAGGATT R:AACATTGCGTGAGGGTCTCC |
| DnaJ heat shock protein family (Hsp40) member B2 | dnajb2 | F:GCAAACGCACCACTACCAAG R:TCTGGCTCCACAGGTGATCT |
| RAB38b, member of RAS oncogene family | rab38b | F:TTGAGACCTCCGCTAAGGACA R:TCGAGGTGAGGTGAGATGGT |
| proprotein convertase subtilisin/kexin type 9 | pcsk9 | F:TACAGGCCACCCAATGATGG R:TGAGCACTCGTCCTTCAACC |
| ATPase sarcoplasmic/endoplasmic reticulum Ca2+ transporting 1 | atp2a1 | F:GAACGCCATTGTCAGAAGCC R:CTGACCAAGGGAAACACCGT |
| sarcoplasmic/endoplasmic reticulum calcium ATPase 1 isoform X1 | atp2a1X1 | F:CACATACCTGGAGGGGAAAGTC R:ACTTTTGGCAGCTCTCTCTGG |
| sarcoplasmic/endoplasmic reticulum calcium ATPase 1 isoform X2 | atp2a1X2 | F:CCCCGTAACAAAACAAGGGAAAGT R:CTCAGCCTTTTCTCTCCACCC |
| SampleID | Total Reads | Mapped Reads | Uniq Mapped Reads | Multiple Map Reads | GC (%) | Q30 (%) |
|---|---|---|---|---|---|---|
| CG1 | 47,993,594 | 43,266,911 (90.15%) | 41,671,714 (86.83%) | 1,595,197 (3.32%) | 45.95 | 96.45 |
| CG2 | 41,734,410 | 37,580,439 (90.05%) | 36,284,239 (86.94%) | 1,296,200 (3.11%) | 45.16 | 97.15 |
| CG3 | 39,053,230 | 34,620,287 (88.65%) | 33,507,306 (85.80%) | 1,112,981 (2.85%) | 44.89 | 97.25 |
| HTG1 | 41,336,990 | 38,343,069 (92.76%) | 36,871,254 (89.20%) | 1,471,815 (3.56%) | 46.93 | 96.84 |
| HTG2 | 40,990,434 | 36,972,059 (90.20%) | 35,481,860 (86.56%) | 1,490,199 (3.64%) | 47.47 | 97.47 |
| HTG3 | 39,453,836 | 36,670,123 (92.94%) | 35,284,978 (89.43%) | 1,385,145 (3.51%) | 47.01 | 97.43 |
| Gene_Name | nr_Symbol | log2FC | Regulated |
|---|---|---|---|
| EVM0025100 | hspa4a | 2.0 | up |
| EVM0004810 | hspa9 | 1.3 | up |
| EVM0006180 | hspa5 | 2.0 | up |
| EVM0019730 | hspbp1 | 2.1 | up |
| EVM0020972 | hsp90b1 | 1.6 | up |
| EVM0002211 | dnajc27 | −1.3 | down |
| EVM0000478 | dnajb1a | 1.7 | up |
| EVM0008502 | dnajb2 | 1.8 | up |
| EVM0006974 | dnajc3b | 1.5 | up |
| Types | CG1 | CG2 | CG3 | HTG1 | HTG2 | HTG3 |
|---|---|---|---|---|---|---|
| TSS | 20,041 | 17,655 | 14,841 | 22,053 | 21,364 | 22,032 |
| TTS | 18,535 | 16,756 | 14,359 | 19,848 | 19,333 | 19,944 |
| AE | 1859 | 1030 | 543 | 3078 | 2639 | 2958 |
| SKIP | 1115 | 523 | 313 | 1901 | 1703 | 1889 |
| IR | 445 | 220 | 119 | 940 | 686 | 974 |
| XAE | 316 | 194 | 127 | 440 | 417 | 434 |
| XSKIP | 188 | 116 | 78 | 316 | 239 | 322 |
| MSKIP | 152 | 105 | 48 | 310 | 283 | 279 |
| XIR | 115 | 56 | 79 | 152 | 169 | 185 |
| MIR | 54 | 31 | 10 | 102 | 78 | 112 |
| XMSKIP | 36 | 27 | 11 | 55 | 42 | 47 |
| XMIR | 11 | 7 | 9 | 28 | 15 | 12 |
| Gene_Name | nr_Symbol | log2FC | Regulated | IncLevelDifference |
|---|---|---|---|---|
| EVM0005564 | phospho1 | −1.549253246 | down | −0.107 |
| EVM0007969 | g3bp2 | 1.110357019 | up | 0.085 |
| EVM0003895 | LOC115575854 | −1.043066212 | down | 0.088 |
| EVM0007693 | LOC104925498 | −1.306175217 | down | 0.252 |
| EVM0008366 | rfc4 | 1.413957195 | up | 0.059 |
| EVM0022841 | osbpl1a | 1.1280337 | up | −0.365 |
| EVM0011633 | LOC116067203 | −1.189173132 | down | 0.165 |
| EVM0019730 | hspbp1 | 2.054830224 | up | −0.41 |
| EVM0006360 | echdc2 | 1.734738546 | up | −0.059 |
| EVM0016326 | rbm47 | 1.152743561 | up | 0.141 |
| EVM0001998 | atp2a1 | −2.090757937 | down | −0.286 |
| EVM0004218 | LOC111574170 | −2.176020596 | down | −0.141 |
| EVM0020426 | sra1 | 1.473394669 | up | 0.075 |
| EVM0008502 | dnajb2 | 1.817428245 | up | 0.62 |
| EVM0024754 | LOC117257900 | −1.058045498 | down | 0.117 |
| EVM0007573 | col6a3 | −1.461908505 | down | −0.117 |
| EVM0017239 | elna | −1.583695653 | down | 0.366 |
| EVM0022857 | LOC118331090 | −1.339277604 | down | 0.477 |
| EVM0000844 | vdac3 | −1.098536139 | down | 0.417 |
| EVM0001431 | cnpy1 | 1.4915122 | up | −0.249 |
| EVM0005617 | LOC116036998 | −1.698127263 | down | −0.208 |
Disclaimer/Publisher’s Note: The statements, opinions and data contained in all publications are solely those of the individual author(s) and contributor(s) and not of MDPI and/or the editor(s). MDPI and/or the editor(s) disclaim responsibility for any injury to people or property resulting from any ideas, methods, instructions or products referred to in the content. |
© 2024 by the authors. Licensee MDPI, Basel, Switzerland. This article is an open access article distributed under the terms and conditions of the Creative Commons Attribution (CC BY) license (https://creativecommons.org/licenses/by/4.0/).
Share and Cite
Zhao, X.; Wang, Y.; Wang, Z.; Luo, T.; Huang, J.; Shao, J. Analysis of Differential Alternative Splicing in Largemouth Bass After High Temperature Exposure. Animals 2024, 14, 3005. https://doi.org/10.3390/ani14203005
Zhao X, Wang Y, Wang Z, Luo T, Huang J, Shao J. Analysis of Differential Alternative Splicing in Largemouth Bass After High Temperature Exposure. Animals. 2024; 14(20):3005. https://doi.org/10.3390/ani14203005
Chicago/Turabian StyleZhao, Xianxian, Yizhou Wang, Zhenlu Wang, Tianma Luo, Jun Huang, and Jian Shao. 2024. "Analysis of Differential Alternative Splicing in Largemouth Bass After High Temperature Exposure" Animals 14, no. 20: 3005. https://doi.org/10.3390/ani14203005
APA StyleZhao, X., Wang, Y., Wang, Z., Luo, T., Huang, J., & Shao, J. (2024). Analysis of Differential Alternative Splicing in Largemouth Bass After High Temperature Exposure. Animals, 14(20), 3005. https://doi.org/10.3390/ani14203005

