Evaluation of the Protective Efficacy of Different Doses of a Chlamydia abortus Subcellular Vaccine in a Pregnant Sheep Challenge Model for Ovine Enzootic Abortion
Simple Summary
Abstract
1. Introduction
2. Materials and Methods
2.1. Ethics Statement
2.2. Preparation of C. Abortus Elementary Bodies
2.3. COMC Preparation, Quantification and Formulation into Experimental Vaccines
2.4. Preparation of C. Abortus Challenge Inoculum
2.5. Experimental Design
2.6. Sample Collection and Analyses
2.7. Histopathological Examination and Immunohistochemical Analysis
2.8. Serological and Cellular Interferon-Gamma Analyses
2.9. Statistical Analyses
3. Results
3.1. Clinical Outcome of Pregnancy
3.2. Detection of C. Abortus Infection
3.3. Histopathology and Immunohistochemical Analyses
3.4. Serological and Cytokine Interferon-Gamma Pre-Screening
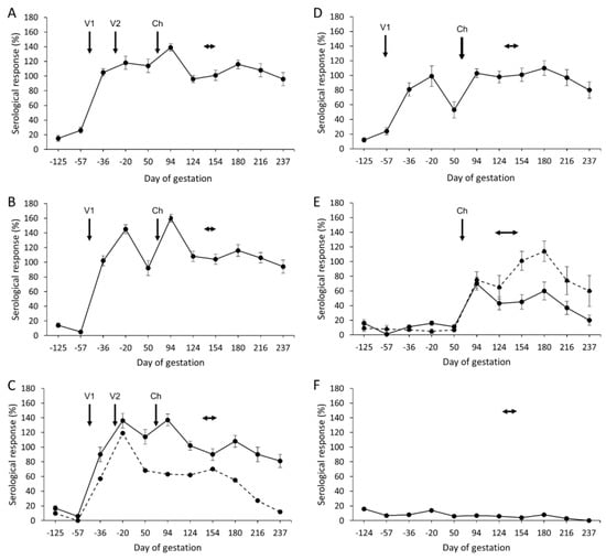
3.5. Serological Responses
3.6. Cellular Interferon-Gamma Responses
4. Discussion
5. Conclusions
Supplementary Materials
Author Contributions
Funding
Institutional Review Board Statement
Informed Consent Statement
Data Availability Statement
Acknowledgments
Conflicts of Interest
References
- GB. Sheep Disease Surveillance Dashboard. Available online: https://public.tableau.com/profile/siu.apha#!/vizhome/SheepDashboard_/Overview (accessed on 15 August 2024).
- CABI. Invasive Species Compendium: Chlamydophila abortus. Available online: https://www.cabi.org/isc/datasheet/89292#toDistributionMaps (accessed on 15 August 2024).
- Bennett, R. The ‘Direct Costs’ of livestock disease: The development of a system of models for the analysis of 30 endemic livestock diseases in Great Britain. J. Agric. Econ. 2003, 54, 55–71. [Google Scholar] [CrossRef]
- Wood, R. Enzootic abortion costs home industry £20m pa. Farmers Wkly. 1992, 117, 60. [Google Scholar]
- Rodolakis, A.; Laroucau, K. Chlamydiaceae and chlamydial infections in sheep or goats. Vet. Microbiol. 2015, 181, 107–118. [Google Scholar] [CrossRef]
- Schautteet, K.; Vanrompay, D. Chlamydiaceae infections in pig. Vet. Res. 2011, 42, 29. [Google Scholar] [CrossRef]
- Borel, N.; Polkinghorne, A.; Pospischil, A. A Review on Chlamydial Diseases in Animals: Still a Challenge for Pathologists? Vet. Pathol. 2018, 55, 374–390. [Google Scholar] [CrossRef]
- Longbottom, D.; Coulter, L.J. Animal chlamydioses and zoonotic implications. J. Comp. Pathol. 2003, 128, 217–244. [Google Scholar] [CrossRef]
- Nietfeld, J.C. Chlamydial infections in small ruminants. Vet. Clin. N. Am. Food Anim. Pract. 2001, 17, 301–314. [Google Scholar] [CrossRef]
- Giroud, P.; Roger, F.; Dumes, N. Certaines avortements chez la femme peuvent être dus a des agents situés a côté du groupe de la psittacose. Comptes Rendus Hebd. Seances Acad. Sci. 1956, 242, 697–699. [Google Scholar]
- Buxton, D. Potential danger to pregnant women of Chlamydia psittaci from sheep. Vet. Rec. 1986, 118, 510–511. [Google Scholar] [CrossRef] [PubMed]
- Pospischil, A.; Thoma, R.; Hilbe, M.; Grest, P.; Zimmermann, D.; Gebbers, J.O. Abort beim Menschen durch Chlamydophila abortus (Chlamydia psittaci serovar 1). Schweiz. Arch. Tierheilkd. 2002, 144, 463–466. [Google Scholar] [CrossRef]
- Wong, S.Y.; Gray, E.S.; Buxton, D.; Finlayson, J.; Johnson, F.W. Acute placentitis and spontaneous abortion caused by Chlamydia psittaci of sheep origin: A histological and ultrastructural study. J. Clin. Pathol. 1985, 38, 707–711. [Google Scholar] [CrossRef]
- Johnson, F.W.; Matheson, B.A.; Williams, H.; Laing, A.G.; Jandial, V.; Davidson-Lamb, R.; Halliday, G.J.; Hobson, D.; Wong, S.Y.; Hadley, K.M.; et al. Abortion due to infection with Chlamydia psittaci in a sheep farmer’s wife. Br. Med. J. (Clin. Res. Ed.) 1985, 290, 592–594. [Google Scholar] [CrossRef]
- Enzootic Abortion of Ewes (Ovine chlamydioses) (Infection with Chlamydia abortus), Chapter 3.8.5. Available online: https://www.oie.int/fileadmin/Home/eng/Health_standards/tahm/3.08.05_ENZ_ABOR.pdf (accessed on 15 August 2024).
- Jones, G.E.; Jones, K.A.; Machell, J.; Brebner, J.; Anderson, I.E.; How, S. Efficacy trials with tissue-culture grown, inactivated vaccines against chlamydial abortion in sheep. Vaccine 1995, 13, 715–723. [Google Scholar] [CrossRef]
- Caro, M.R.; Ortega, N.; Buendia, A.J.; Gallego, M.C.; Del Rio, L.; Cuello, F.; Salinas, J. Protection conferred by commercially available vaccines against Chlamydophila abortus in a mouse model. Vet. Rec. 2001, 149, 492–493. [Google Scholar] [CrossRef]
- Garcia de la Fuente, J.N.; Gutierrez-Martin, C.B.; Ortega, N.; Rodriguez-Ferri, E.F.; del Rio, M.L.; Gonzalez, O.R.; Salinas, J. Efficacy of different commercial and new inactivated vaccines against ovine enzootic abortion. Vet. Microbiol. 2004, 100, 65–76. [Google Scholar] [CrossRef]
- Rodolakis, A.; Souriau, A. Response of goats to vaccination with temperature-sensitive mutants of Chlamydia psittaci obtained by nitrosoguanidine mutagenesis. Am. J. Vet. Res. 1986, 47, 2627–2631. [Google Scholar] [PubMed]
- Chalmers, W.S.; Simpson, J.; Lee, S.J.; Baxendale, W. Use of a live chlamydial vaccine to prevent ovine enzootic abortion. Vet. Rec. 1997, 141, 63–67. [Google Scholar] [CrossRef]
- Montbrau, C.; Fontseca, M.; March, R.; Sitja, M.; Benavides, J.; Ortega, N.; Caro, M.R.; Salinas, J. Evaluation of the efficacy of a new commercially available inactivated vaccine against ovine enzootic abortion. Front. Vet. Sci. 2020, 7, 593. [Google Scholar] [CrossRef]
- Laroucau, K.; Aaziz, R.; Vorimore, F.; Menard, M.F.; Longbottom, D.; Denis, G. Abortion storm induced by the live C. abortus vaccine 1B strain in a vaccinated sheep flock, mimicking a natural wild-type infection. Vet. Microbiol. 2018, 225, 31–33. [Google Scholar] [CrossRef]
- Caspe, S.G.; Livingstone, M.; Frew, D.; Aitchison, K.; Wattegedera, S.R.; Entrican, G.; Palarea-Albaladejo, J.; McNeilly, T.N.; Milne, E.; Sargison, N.D.; et al. The 1B vaccine strain of Chlamydia abortus produces placental pathology indistinguishable from a wild type infection. PLoS ONE 2020, 15, e0242526. [Google Scholar] [CrossRef]
- Sargison, N.D.; Truyers, I.G.; Howie, F.E.; Thomson, J.R.; Cox, A.L.; Livingstone, M.; Longbottom, D. Identification of the 1B vaccine strain of Chlamydia abortus in aborted placentas during the investigation of toxaemic and systemic disease in sheep. N. Z. Vet. J. 2015, 63, 284–287. [Google Scholar] [CrossRef]
- Wheelhouse, N.; Aitchison, K.; Laroucau, K.; Thomson, J.; Longbottom, D. Evidence of Chlamydophila abortus vaccine strain 1B as a possible cause of ovine enzootic abortion. Vaccine 2010, 28, 5657–5663. [Google Scholar] [CrossRef]
- Longbottom, D.; Sait, M.; Livingstone, M.; Laroucau, K.; Sachse, K.; Harris, S.R.; Thomson, N.R.; Seth-Smith, H.M.B. Genomic evidence that the live Chlamydia abortus vaccine strain 1B is not attenuated and has the potential to cause disease. Vaccine 2018, 36, 3593–3598. [Google Scholar] [CrossRef]
- Livingstone, M.; Wattegedera, S.R.; Palarea-Albaladejo, J.; Aitchison, K.; Corbett, C.; Sait, M.; Wilson, K.; Chianini, F.; Rocchi, M.S.; Wheelhouse, N.; et al. Efficacy of Two Chlamydia abortus Subcellular Vaccines in a Pregnant Ewe Challenge Model for Ovine Enzootic Abortion. Vaccines 2021, 9, 898. [Google Scholar] [CrossRef]
- Batteiger, B.E.; Rank, R.G.; Bavoil, P.M.; Soderberg, L.S. Partial protection against genital reinfection by immunization of guinea-pigs with isolated outer-membrane proteins of the chlamydial agent of guinea-pig inclusion conjunctivitis. J. Gen. Microbiol. 1993, 139, 2965–2972. [Google Scholar] [CrossRef]
- Adamson, S.L.; Lu, Y.; Whiteley, K.J.; Holmyard, D.; Hemberger, M.; Pfarrer, C.; Cross, J.C. Interactions between Trophoblast Cells and the Maternal and Fetal Circulation in the Mouse Placenta. Dev. Biol. 2002, 250, 358–373. [Google Scholar] [CrossRef]
- Longbottom, D.; Livingstone, M.; Aitchison, K.D.; Imrie, L.; Manson, E.; Wheelhouse, N.; Inglis, N.F. Proteomic characterisation of the Chlamydia abortus outer membrane complex (COMC) using combined rapid monolithic column liquid chromatography and fast MS/MS scanning. PLoS ONE 2019, 14, e0224070. [Google Scholar] [CrossRef]
- Aucouturier, J.; Dupuis, L.; Ganne, V. Adjuvants designed for veterinary and human vaccines. Vaccine 2001, 19, 2666–2672. [Google Scholar] [CrossRef]
- Percie du Sert, N.; Hurst, V.; Ahluwalia, A.; Alam, S.; Avey, M.T.; Baker, M.; Browne, W.J.; Clark, A.; Cuthill, I.C.; Dirnagl, U.; et al. The ARRIVE guidelines 2.0: Updated guidelines for reporting animal research. PLoS Biol. 2020, 18, e3000410. [Google Scholar] [CrossRef]
- McClenaghan, M.; Herring, A.J.; Aitken, I.D. Comparison of Chlamydia psittaci isolates by DNA restriction endonuclease analysis. Infect. Immun 1984, 45, 384–389. [Google Scholar] [CrossRef]
- Hobson, D.; Johnson, F.W.A.; Byng, R.E. The growth of the ewe abortion chlamydial agent in McCoy cell cultures. J. Comp. Pathol. 1977, 87, 155–159. [Google Scholar] [CrossRef]
- Buendia, A.J.; Salinas, J.; Sanchez, J.; Gallego, M.C.; Rodolakis, A.; Cuello, F. Localization by immunoelectron microscopy of antigens of Chlamydia psittaci suitable for diagnosis or vaccine development. FEMS Microbiol. Lett. 1997, 150, 113–119. [Google Scholar] [CrossRef]
- Tan, T.W.; Herring, A.J.; Anderson, I.E.; Jones, G.E. Protection of sheep against Chlamydia psittaci infection with a subcellular vaccine containing the major outer membrane protein. Infect. Immun. 1990, 58, 3101–3108. [Google Scholar] [CrossRef]
- Longbottom, D.; Livingstone, M.; Maley, S.; van der Zon, A.; Rocchi, M.; Wilson, K.; Wheelhouse, N.; Dagleish, M.; Aitchison, K.; Wattegedera, S.; et al. Intranasal infection with Chlamydia abortus induces dose-dependent latency and abortion in sheep. PLoS ONE 2013, 8, e57950. [Google Scholar] [CrossRef]
- Arif, E.D.; Saeed, N.M.; Rachid, S.K. Isolation and Identification of Chlamydia abortus from Aborted Ewes in Sulaimani Province, Northern Iraq. Pol. J. Microbiol. 2020, 69, 65–71. [Google Scholar] [CrossRef]
- Sammin, D.; Markey, B.; Bassett, H.; Buxton, D. The ovine placenta and placentitis—A review. Vet. Microbiol. 2009, 135, 90–97. [Google Scholar] [CrossRef]
- Murcia-Belmonte, A.; Alvarez, D.; Ortega, N.; Navarro, J.A.; Gomez-Lucia, E.; Buendia, A.J.; Sanchez, J.; Del Rio, L.; Salinas, J.; Caro, M.R. Effect of progesterone on the vaccination and immune response against Chlamydia abortus in sheep. Vet. Immunol. Immunopathol. 2019, 213, 109887. [Google Scholar] [CrossRef]
- Livingstone, M.; Wheelhouse, N.; Ensor, H.; Rocchi, M.; Maley, S.; Aitchison, K.; Wattegedera, S.; Wilson, K.; Sait, M.; Siarkou, V.; et al. Pathogenic outcome following experimental infection of sheep with Chlamydia abortus variant strains LLG and POS. PLoS ONE 2017, 12, e0177653. [Google Scholar] [CrossRef]
- Stamp, J.T.; McEwen, A.D.; Watt, J.A.A.; Nisbet, D.I. Enzootic abortion in ewes; transmission of the disease. Vet. Rec. 1950, 62, 251–254. [Google Scholar] [CrossRef] [PubMed]
- Wilson, K.; Livingstone, M.; Longbottom, D. Comparative evaluation of eight serological assays for diagnosing Chlamydophila abortus infection in sheep. Vet. Microbiol. 2009, 135, 38–45. [Google Scholar] [CrossRef]
- Wattegedera, S.; Rocchi, M.; Sales, J.; Howard, C.J.; Hope, J.C.; Entrican, G. Antigen-specific peripheral immune responses are unaltered during normal pregnancy in sheep. J. Reprod. Immunol. 2008, 77, 171–178. [Google Scholar] [CrossRef]
- Wattegedera, S.R.; Livingstone, M.; Maley, S.; Rocchi, M.; Lee, S.; Pang, Y.; Wheelhouse, N.M.; Aitchison, K.; Palarea-Albaladejo, J.; Buxton, D.; et al. Defining immune correlates during latent and active chlamydial infection in sheep. Vet. Res. 2020, 51, 75. [Google Scholar] [CrossRef]
- Kwong, L.S.; Hope, J.C.; Thom, M.L.; Sopp, P.; Duggan, S.; Bembridge, G.P.; Howard, C.J. Development of an ELISA for bovine IL-10. Vet Immunol. Immunopathol. 2002, 85, 213–223. [Google Scholar] [CrossRef]
- Verhelst, D.; De Craeye, S.; Entrican, G.; Dorny, P.; Cox, E. Parasite distribution and associated immune response during the acute phase of Toxoplasma gondii infection in sheep. BMC Vet. Res. 2014, 10, 293. [Google Scholar] [CrossRef]
- Firth, D. Bias reduction of maximum likelihood estimates. Biometrika 1993, 80, 27–38. [Google Scholar] [CrossRef]
- Dunnett’s Test/Dunnett’s Method: Definition. Available online: https://www.statisticshowto.com/dunnetts-test/ (accessed on 15 August 2024).
- R Core Team. The R Project for Statistical Computing. Available online: https://www.R-project.org/ (accessed on 15 August 2024).
- Benjamini, Y.; Hochberg, Y. Controlling the False Discovery Rate: A Practical and Powerful Approach to Multiple Testing. J. R. Statist. Soc. B 1995, 57, 289–300. [Google Scholar] [CrossRef]
- Sammin, D.J.; Markey, B.K.; Quinn, P.J.; McElroy, M.C.; Bassett, H.F. Comparison of Fetal and Maternal Inflammatory Responses in the Ovine Placenta after Experimental Infection with Chlamydophila abortus. J. Comp. Pathol. 2006, 135, 83–92. [Google Scholar] [CrossRef]
- Anderson, I.E.; Baxter, S.I.; Dunbar, S.; Rae, A.G.; Philips, H.L.; Clarkson, M.J.; Herring, A.J. Analyses of the genomes of chlamydial isolates from ruminants and pigs support the adoption of the new species Chlamydia pecorum. Int. J. Syst. Bacteriol. 1996, 46, 245–251. [Google Scholar] [CrossRef]
- Fukushi, H.; Hirai, K. Proposal of Chlamydia pecorum sp. nov. for Chlamydia strains derived from ruminants. Int. J. Syst. Bacteriol. 1992, 42, 306–308. [Google Scholar] [CrossRef]
- Aitken, I.D.; Clarkson, M.J.; Linklater, K. Enzootic abortion of ewes. Vet. Rec. 1990, 126, 136–138. [Google Scholar] [CrossRef] [PubMed]
- Su, H.; Feilzer, K.; Caldwell, H.D.; Morrison, R.P. Chlamydia trachomatis genital tract infection of antibody-deficient gene knockout mice. Infect. Immun. 1997, 65, 1993–1999. [Google Scholar] [CrossRef]
- Moore, T.; Ananaba, G.A.; Bolier, J.; Bowers, S.; Belay, T.; Eko, F.O.; Igietseme, J.U. Fc receptor regulation of protective immunity against Chlamydia trachomatis. Immunology 2002, 105, 213–221. [Google Scholar] [CrossRef]
- Rocchi, M.S.; Wattegedera, S.; Meridiani, I.; Entrican, G. Protective adaptive immunity to Chlamydophila abortus infection and control of ovine enzootic abortion (OEA). Vet. Microbiol. 2009, 135, 112–121. [Google Scholar] [CrossRef]
- Worrall, S.; Sammin, D.J.; Bassett, H.F.; Reid, C.R.; Gutierrez, J.; Marques, P.X.; Nally, J.E.; O’Donovan, J.; Williams, E.J.; Proctor, A.; et al. Interferon-gamma expression in trophoblast cells in pregnant ewes challenged with Chlamydophila abortus. J. Reprod. Immunol. 2011, 90, 214–219. [Google Scholar] [CrossRef]



| Group | Ewes | Number of Lambs | |||||
|---|---|---|---|---|---|---|---|
| No. Pregnant | No. Lambed (%) | No. Aborted (%) | Mean Gestational Length | Viable | Non-Viable | Dead | |
| 1 | 24 | 24 (100) | 0 | 145 | 43 | 1 1 | |
| 2 | 25 | 25 (100) | 0 | 144 | 39 | 0 | |
| 3 | 23 | 22 (96) | 1 (4) | 145 | 35 | 3 1 | |
| 4 | 22 | 22 (100) | 0 | 145 | 32 | 0 | |
| 5 | 25 | 18 (72) | 7 (28) | 141 | 33 | 5 2 | 6 |
| 6 | 23 | 23 (100) | 0 | 145 | 37 | 0 | |
| Group | Pregnancy Outcome 1 | No. Ewes | Lesions 2 | Smears 3 | Placental qPCR 4 | Placental qPCR Load 5 |
|---|---|---|---|---|---|---|
| 1 | Lambed | 24 | 24− | 24− | 24- | 1.75 (1.17) |
| 2 | Lambed | 25 | 25− | 25− | 3+, 22− | 34.71 (1.19) |
| 3 | Lambed | 22 | 22− | 22− | 3+, 19− | 2.80 (1.48) |
| Aborted | 1 | 1+ | 1+ | 1+ | 1,711,058 (1.14) 6 | |
| 4 | Lambed | 22 | 22− | 22− | 2+, 20− | 5.25 (1.58) |
| 5 | Lambed | 18 | 2+, 16− | 2+, 16− | 17+, 1− | 1481 (1.50) |
| Aborted | 7 | 7+ | 7+ | 7+ | 8,222,991 (1.86) | |
| 6 | Lambed | 23 | 23− | 23− | 23− | 6.12 (1.27) |
Disclaimer/Publisher’s Note: The statements, opinions and data contained in all publications are solely those of the individual author(s) and contributor(s) and not of MDPI and/or the editor(s). MDPI and/or the editor(s) disclaim responsibility for any injury to people or property resulting from any ideas, methods, instructions or products referred to in the content. |
© 2024 by the authors. Licensee MDPI, Basel, Switzerland. This article is an open access article distributed under the terms and conditions of the Creative Commons Attribution (CC BY) license (https://creativecommons.org/licenses/by/4.0/).
Share and Cite
Livingstone, M.; Aitchison, K.; Palarea-Albaladejo, J.; Chianini, F.; Rocchi, M.S.; Caspe, S.G.; Underwood, C.; Flockhart, A.; Wheelhouse, N.; Entrican, G.; et al. Evaluation of the Protective Efficacy of Different Doses of a Chlamydia abortus Subcellular Vaccine in a Pregnant Sheep Challenge Model for Ovine Enzootic Abortion. Animals 2024, 14, 3004. https://doi.org/10.3390/ani14203004
Livingstone M, Aitchison K, Palarea-Albaladejo J, Chianini F, Rocchi MS, Caspe SG, Underwood C, Flockhart A, Wheelhouse N, Entrican G, et al. Evaluation of the Protective Efficacy of Different Doses of a Chlamydia abortus Subcellular Vaccine in a Pregnant Sheep Challenge Model for Ovine Enzootic Abortion. Animals. 2024; 14(20):3004. https://doi.org/10.3390/ani14203004
Chicago/Turabian StyleLivingstone, Morag, Kevin Aitchison, Javier Palarea-Albaladejo, Francesca Chianini, Mara Silvia Rocchi, Sergio Gastón Caspe, Clare Underwood, Allen Flockhart, Nicholas Wheelhouse, Gary Entrican, and et al. 2024. "Evaluation of the Protective Efficacy of Different Doses of a Chlamydia abortus Subcellular Vaccine in a Pregnant Sheep Challenge Model for Ovine Enzootic Abortion" Animals 14, no. 20: 3004. https://doi.org/10.3390/ani14203004
APA StyleLivingstone, M., Aitchison, K., Palarea-Albaladejo, J., Chianini, F., Rocchi, M. S., Caspe, S. G., Underwood, C., Flockhart, A., Wheelhouse, N., Entrican, G., Wattegedera, S. R., & Longbottom, D. (2024). Evaluation of the Protective Efficacy of Different Doses of a Chlamydia abortus Subcellular Vaccine in a Pregnant Sheep Challenge Model for Ovine Enzootic Abortion. Animals, 14(20), 3004. https://doi.org/10.3390/ani14203004

