The Impact of a Proprietary Blend of Yeast Cell Wall, Short-Chain Fatty Acids, and Zinc Proteinate on Growth, Nutrient Utilisation, and Endocrine Hormone Secretion in Intestinal Cell Models
Abstract
Simple Summary
Abstract
1. Introduction
2. Materials and Methods
2.1. Cell Culture
2.2. Isolation of Cell-Free Media and Cellular Lysate Components
2.3. Glucose Analysis
2.4. Protein Analysis
2.5. ELISA Measurement
2.6. RNA Isolation
2.7. Gene Expression Analysis
2.8. Statistical Analysis
3. Results
3.1. Pig Intestinal Cell and STC-1 Intestinal Cell Density
3.2. Pig and STC-1 Intestinal Cell Media Glucose Levels
3.3. Protein Usage by Pig and STC-1 Mouse Intestinal Cells
3.4. Endocrine Hormone Secretion from Pig and STC-1 Intestinal Cells
3.5. Endocrine Gene Expression from Pig and STC-1 Intestinal Cells
3.6. Gene Expression of Glucose Transporter Glut-2 from Pig and STC-1 Intestinal Cells
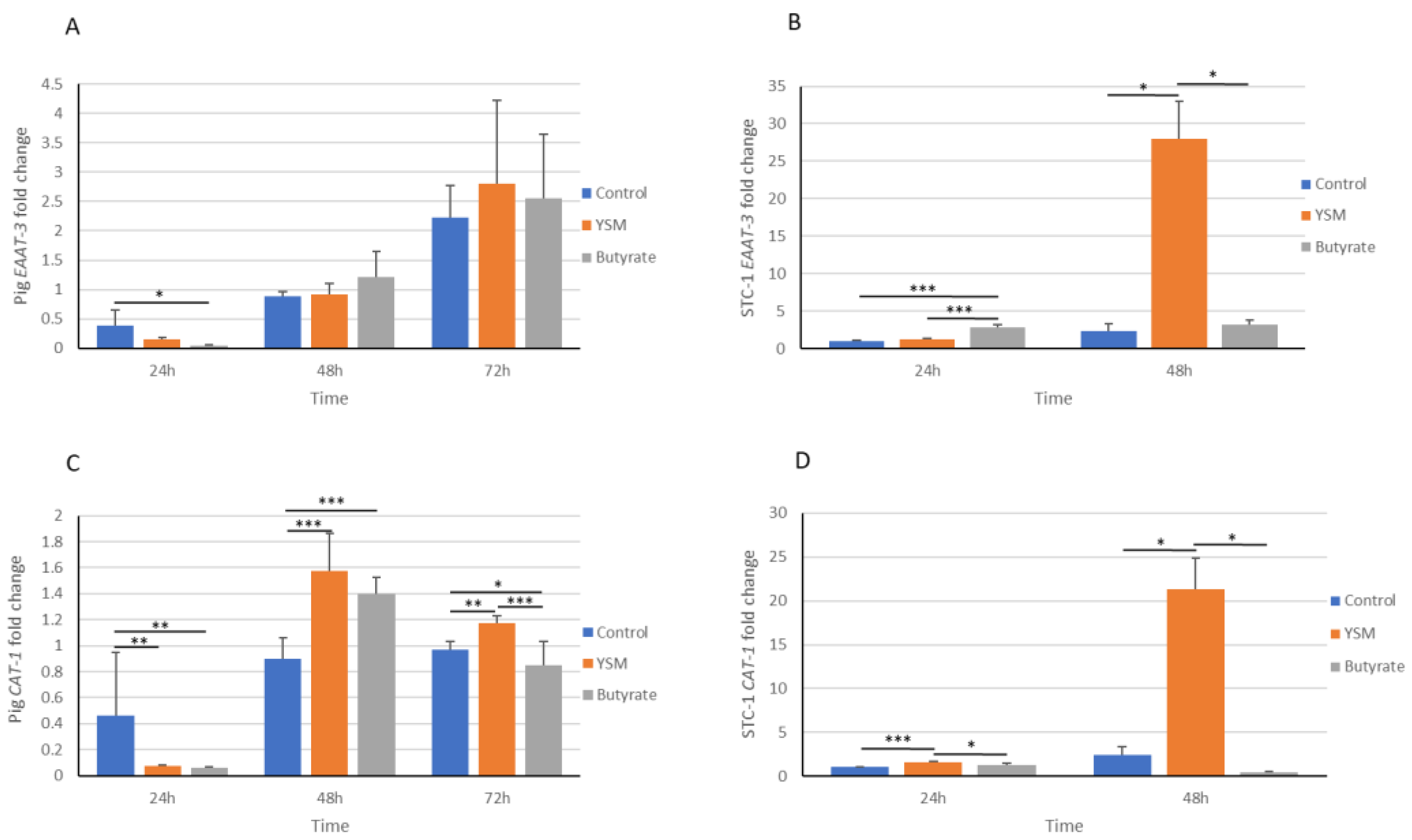
3.7. Pig and STC-1 Intestinal Cell Gene Expression of Amino Acid Transporters EAAT-3 and CAT-1
4. Discussion
5. Conclusions
Author Contributions
Funding
Institutional Review Board Statement
Data Availability Statement
Conflicts of Interest
References
- Jeong, J.K.; Kim, J.G.; Lee, B.J. Cellular and Molecular Life Sciences Participation of the central melanocortin system in metabolic regulation and energy homeostasis. Cell. Mol. Life Sci. 2014, 71, 3799–3809. [Google Scholar] [CrossRef] [PubMed]
- Ellacott, K.L.J.; Cone, R.D. The role of the central melanocortin system in the regulation of food intake and energy homeostasis: Lessons from mouse models. Philos. Trans. R. Soc. B Biol. Sci. 2006, 361, 1265–1274. [Google Scholar] [CrossRef] [PubMed]
- Batterham, R.L.; Cowley, M.A.; Small, C.J.; Herzog, H.; Cohen, M.A.; Dakin, C.L.; Wren, A.M.; Brynes, A.E.; Low, M.J.; Ghatei, M.A.; et al. Gut hormone PYY3−36 physiologically inhibits food intake. Nature 2002, 418, 650–654. [Google Scholar] [CrossRef] [PubMed]
- Ropka-Molik, K.; Oczkowicz, M.; Piorkowska, K.; Rozycki, M.; Romanek, J.; Natonek-Wisniewska, M. New polymorphisms and expression of the porcine ghrelin (GHRL) gene in different pig breeds. J. Anim. Feed Sci. 2011, 20, 186–199. [Google Scholar] [CrossRef]
- Wortley, K.E.; Anderson, K.D.; Garcia, K.; Murray, J.D.; Malinova, L.; Liu, R.; Moncrieffe, M.; Thabet, K.; Cox, H.J.; Yancopoulos, G.D.; et al. Genetic deletion of ghrelin does not decrease food intake but influences metabolic fuel preference. Proc. Natl. Acad. Sci. USA 2004, 101, 8227–8232. [Google Scholar] [CrossRef]
- Topping, D.L.; Clifton, P.M. Short-chain fatty acids and human colonic function: Roles of resistant starch and nonstarch polysaccharides. Physiol. Rev. 2001, 81, 1031–1064. [Google Scholar] [CrossRef]
- Sakata, T.; Setoyama, H. Bi-phasic allometric growth of the small intestine, cecum and the proximal, middle, and distal colon of rats (Rattus norvegicus Berkenhout, 1764) before and after weaning. Comp. Biochem. Physiol. A Mol. Integr. Physiol. Nov. 1997, 118, 897–902. [Google Scholar] [CrossRef]
- Piva, A.; Morlacchini, M.; Casadei, G.; Gatta, P.P.; Biagi, G.; Prandini, A. Sodium butyrate improves growth performance of weaned piglets during the first period after weaning. Ital. J. Anim. Sci. 2002, 1, 35–41. [Google Scholar] [CrossRef]
- Hooge, D.M. Meta-analysis of broiler chicken pen trials evaluating dietary mannan oligosaccharide, 1993–2003. Int. J. Poult. Sci. 2004, 3, 163–174. [Google Scholar]
- Spring, P.; Wenk, C.; Connolly, A.; Kiers, A. A review of 733 published trials on Bio-Mos®, a mannan oligosaccharide, and Actigen®, a second generation mannose rich fraction, on farm and companion animals. J. Appl. Anim. Nutr. 2015, 3, e8. [Google Scholar] [CrossRef]
- Iji, P.A.; Saki, A.A.; Tivey, D.R. Intestinal structure and function of broiler chickens on diets supplemented with a mannan oligosaccharide. J. Sci. Food Agric. 2001, 81, 1186–1192. [Google Scholar] [CrossRef]
- Yang, Y.; Iji, P.A.; Kocher, A.; Mikkelsen, L.L.; Choct, M. The effects of mannanoligosaccharide and fructooligosaccharide on the response of broilers to pathogenic Escherichia coli challenge. Br. Poult. Sci. 2008, 49, 550–559. [Google Scholar] [CrossRef]
- Baurhoo, B.; Ferket, P.R.; Zhao, X. Effects of diets containing different concentrations of mannanoligosaccharide or antibiotics on growth performance, intestinal development, cecal and litter microbial populations, and carcass parameters of broilers. Poult. Sci. 2009, 88, 2262–2272. [Google Scholar] [CrossRef] [PubMed]
- Poeikhampha, T.; Bunchasak, C. Comparative Effects of Sodium Gluconate, Mannan Oligosaccharide and Potassium Diformate on Growth Performances and Small Intestinal Morphology of Nursery Pigs. Asian-Aust. J. Anim. Sci. 2011, 24, 844–850. [Google Scholar] [CrossRef]
- Diao, H.; Yan, J.; Li, S.; Kuang, S.; Wei, X.; Zhou, M.; Zhang, J.; Huang, C.; He, P.; Tang, W. Effects of Dietary Zinc Sources on Growth Performance and Gut Health of Weaned Piglets. Front. Microbiol. 2021, 12, 771617. [Google Scholar] [CrossRef]
- Alam, A.N.; Sarker, S.A.; Wahed, M.A.; Khatun, M.; Rahaman, M.M. Enteric protein loss and intestinal permeability changes in children during acute shigellosis and after recovery: Effect of zinc supplementation. Gut 1994, 35, 1707–1711. [Google Scholar] [CrossRef]
- Zheng, L.; Duarte, M.E.; Sevarolli-Loftus, A.; Sung-Woo, K. Intestinal Health of Pigs Upon Weaning: Challenges and Nutritional Intervention. Front. Vet. Sci. 2021, 8, 628258. [Google Scholar] [CrossRef]
- Fruge, E.; Gerhart, A.; Hansen, E.; Hansen, S.; Frerichs, K. PSIV-32 Effects of Viligen™ on growth performance of 6 to 13 kg nursery pigs. J. Anim. Sci. 2018, 96 (Suppl. S3), 323. [Google Scholar] [CrossRef]
- Boisen, S.; Fernández, J.A. Prediction of the total tract digestibility of energy in feedstuffs and pig diets by in vitro analyses. Anim. Feed. Sci. Technol. 1997, 68, 277–286. [Google Scholar] [CrossRef]
- Meunier, J.P.; Manzanilla, E.G.; Anguita, M.; Denis, S.; Pérez, J.F.; Gasa, J.; Cardot, J.-M.; Garcia, F.; Moll, X.; Alric, M. Evaluation of a dynamic in vitro model to simulate the porcine ileal digestion of diets differing in carbohydrate composition1. J. Anim. Sci. 2008, 86, 1156–1163. [Google Scholar] [CrossRef]
- Primer-BLAST. National Library of Medicine, National Center for Biotechnology Information. Available online: https://www.ncbi.nlm.nih.gov/tools/primer-blast/ (accessed on 8 July 2019).
- Liang, Y.; Yang, X.M.; Gu, Y.R.; Tao, X.; Zhong, Z.Z.; Gong, J.J.; Chen, X.H.; Lv, X.B. Developmental changes in the expression of the GLUT2 and GLUT4 genes in the longissimus dorsi muscle of Yorkshire and Tibetan pigs. Genet. Mol. Res. 2015, 14, 1287–1292. [Google Scholar] [CrossRef] [PubMed]
- Wu, L.; Liao, P.; He, L.; Ren, W.; Yin, J.; Duan, J. Li Growth performance, serum biochemical profile, jejunal morphology, and the expression of nutrients transporter genes in deoxynivalenol (DON)- challenged growing pigs. BMC Vet. Res. 2015, 11, 144. [Google Scholar] [CrossRef] [PubMed]
- Kondrashina, A.; Papkovsky, D.; Giblin, L. Physiological gut oxygenation alters GLP-1 secretion from the enteroendocrine cell line STC-1. Mol. Nutr. Food Res. 2018, 62, 1700568. [Google Scholar] [CrossRef] [PubMed]
- Food and Drug Administration. Guidance for Industry #209: The Judicious Use of Medically Important Antimicrobial Drugs in Food-Producing Animals (2012). Available online: https://www.fda.gov/media/79140/download (accessed on 5 May 2020).
- Akimoto-Takano, S.; Sakurai, C.; Kanai, S.; Hosoya, H.; Ohta, M.; Miyasaka, K. Differences in the appetite-stimulating effect of orexin, neuropeptide Y and ghrelin among young, adult and old rats. Comp. Study Neuroendocrinol. 2005, 82, 256–263. [Google Scholar] [CrossRef] [PubMed]
- Salfen, B.E.; Carroll, J.A.; Keisler, D.H.; Strauch, T.A. Effects of exogenous ghrelin on feed intake, weight gain, behavior, and endocrine responses in weanling pigs. J. Anim. Sci. 2004, 82, 1957–1966. [Google Scholar] [CrossRef] [PubMed]
- Drazen, D.L.; Vahl, T.P.; D’Alessio, D.A.; Seeley, R.J.; Woods, S.C. Effects of a fixed meal pattern on ghrelin secretion: Evidence for a learned response independent of nutrient status. Endocrinology 2006, 147, 23–30. [Google Scholar] [CrossRef] [PubMed]
- Józefiak, D.; Rutkowski, A.; Martin, S.A. Carbohydrate fermentation in the avian ceca: A review. Anim. Feed. Sci. Technol. 2004, 113, 1–15. [Google Scholar] [CrossRef]
- Mahdavi, R.; Torki, M. Study on usage period of dietary protected butyric acid on performance, carcass characteristics, serum metabolite levels and humoral immune response of broiler chickens. J. Anim. Vet. Adv. 2009, 8, 1702–1709. [Google Scholar]
- Broadway, P.R.; Carroll, J.A.; Sanchez, N.C.B. Live yeast and yeast cell wall supplements enhance immune function and performance in food-producing livestock: A review. Microorganisms 2015, 3, 417–427. [Google Scholar] [CrossRef]
- Taylor-Pickard, J.A.; Spring, P. Gut efficiency; the key ingredient in pig and poultry production. In Elevating Animal Performance and Health; Wageningen Academic Publishers: Wageningen, The Netherlands, 2008; p. 192. [Google Scholar]
- Wenner, B.A.; Zerby, H.N.; Boler, D.D.; Gebreyes, W.A.; Moeller, S.J. Effect of mannan oligosaccharides (Bio-Mos) and outdoor access housing on pig growth, feed efficiency and carcass composition. J. Anim. Sci. 2013, 91, 4936–4944. [Google Scholar] [CrossRef]
- Yang, Y.; Iji, P.A.; Kocher, A.; Thomson, E.; Mikkelsen, L.L.; Choct, M. Effects of mannanoligosaccharide in broiler chicken diets on growth performance, energy utilisation, nutrient digestibility and intestinal microflora. J. Br. Poult. Sci. 2008, 49, 186–194. [Google Scholar] [CrossRef]
- Ao, Z.; Choct, M. Oligosaccharides Affect Performance and Gut Development of Broiler Chickens. Asian-Australas. J. Anim. Sci. 2013, 26, 116–121. [Google Scholar] [CrossRef] [PubMed]
- Locasale, J.W.; Cantley, L.C. Metabolic flux and the regulation of mammalian cell growth. Cell Metab. 2011, 14, 443–451. [Google Scholar] [CrossRef]
- Drozdowski, L.A.; Dixon, W.T.; McBurney, M.I.; Thomson, A.B.R. Short-chain Fatty Acids and Total Parenteral Nutrition Affect Intestinal Gene Expression. J. Parenter. Enteral. Nutr. 2002, 26, 145–150. [Google Scholar] [CrossRef] [PubMed]
- Tappenden, K.A.; McBurney, M.I. Systemic short-chain fatty acids rapidly alter gastrointestinal structure, function, and expression of early response genes. Dig. Dis. Sci. 1998, 43, 1526–1536. [Google Scholar] [CrossRef] [PubMed]
- Moran, C.A. Functional components of the cell walls of Saccharomyces cerevisiae: Applications for yeast glucan and mannan. In Nutritional Biotechnology in the Feed and Food Industries; Nottingham University Press: Nottingham, UK, 2004; pp. 283–296. [Google Scholar]
- Liu, G.; Yu, L.; Martínez, Y.; Ren, W.; Ni, H.; Abdullah Al-Dhabi, N.; Duraipandiyan, V.; Yin, Y. Dietary Saccharomyces cerevisiae Cell Wall Extract Supplementation Alleviates Oxidative Stress and Modulates Serum Amino Acids Profiles in Weaned Piglets. Oxid. Med. Cell Longev. 2017, 2017, 3967439. [Google Scholar] [CrossRef] [PubMed]
- Liu, N.; Wang, J.; Liu, Z.; Wang, Y.; Wang, J. Effect of supplemental yeast cell walls on growth performance, gut mucosal glutathione pathway, proteolytic enzymes and transporters in growing broiler chickens. J. Anim. Sci. 2018, 96, 1330–1337. [Google Scholar] [CrossRef] [PubMed]
- Larraufie, P.; Doré, J.; Lapaque, N.; Blottière, H.M. TLR ligands and butyrate increase Pyy expression through two distinct but inter-regulated pathways. Cell Microbiol. 2017, 19, e12648. [Google Scholar] [CrossRef]
- Larraufie, P.; Martin-Gallausiaux, C.; Lapaque, N.; Dore, J.; Gribble, F.M.; Reimann, F.; Blottiere, H.M. SCFAs strongly stimulate PYY production in human enteroendocrine cells. Sci. Rep. 2008, 8, 74. [Google Scholar] [CrossRef]
- Pearce, S.C.; Weber, G.J.; van Sambeek, D.M.; Soares, J.W.; Racicot, K.; Breault, D.T. Intestinal enteroids recapitulate the effects of short-chain fatty acids on the intestinal epithelium. PLoS ONE 2020, 15, e0230231. [Google Scholar] [CrossRef]
- Lee, H.J.; Kang, Y.M.; Moon, C.S.; Joe, M.K.; Lim, J.H.; Suh, Y.H.; Song, J.; Jung, M.H. KLF4 positively regulates human ghrelin expression. Biochem. J. 2009, 420, 403–411. [Google Scholar] [CrossRef] [PubMed][Green Version]
- Saxton, R.A.; Chantranupong, L.; Knockenhauer, K.E.; Schwartz, T.U.; Sabatini, D.M. Mechanism of arginine sensing by CASTOR1 upstream of mTORC1. Nature 2016, 536, 229–233. [Google Scholar] [CrossRef] [PubMed]
- Saxton, R.A.; Chantranupong, L.; Knockenhauer, K.E.; Schwartz, T.U.; Sabatini, D.M. The CASTOR proteins are arginine sensors for the mTORC1 pathway. Cell 2016, 165, 153–164. [Google Scholar]
- Jungnickel, K.E.J.; Parker, J.L.; Newstead, S. Structural basis for amino acid transport by the CAT family of SLC7 transporters. Nat. Commun. 2018, 9, 550. [Google Scholar] [CrossRef]
- Ye, J.-L.; Gao, C.Q.; Li, X.G.; Jin, C.L.; Wang, D.; Shu, G.; Wang, W.C.; Kong, X.F.; Yao, K.; Yan, H.-C.; et al. EAAT3 promotes amino acid transport and proliferation of porcine intestinal epithelial cells. Oncotarget 2016, 7, 38681–38692. [Google Scholar]







| Primer (Porcine) | F | R | Accession | Length (bp) | Reference | 
|---|---|---|---|---|---|
| PYY | CAAGTCGTGGTAAAAGCGCC | GGGGATGTACTAAGTGGCGG | AY344365 | 94 | [21] | 
| Ghrelin | GAACTAGGCCACCAGGGAAC | GAACAGAGGTGGCTGGTCTC | AB562894 | 138 | [21] | 
| Glut-2 | ATTGCGGGTCCAGTTGC | GTTCATGGTGGCCGAGTT | NM_001097417 | 58 | [22] | 
| EAAT-3 | TTGGGCATTGGGCAGATCAT | TCACCATGGTCCTGAAACGG | JF521497.1 | 187 | [23] | 
| CAT-1 | GCTGTCATGGCCTTCCTCTT | CTGGTACACCATGTTCGGCT | NM_001012613.1 | 138 | [23] | 
| GAPDH | AAGGAGTAAGAGCCCCTGGA | TCTGGGATGGAAACTGGAA | P00355 | 140 | [23] | 
| Primer (STC-1) | F | R | Accession | Length (bp) | |
| PYY | AACTGCTCTTCACAGACGAC | GTGCCCTCTTCTTAAACCAAAC | NM_145435.1 | 148 | [24] | 
| Ghrelin | ATAAGGAGAAGCCGGTGAGC | GGTCTTGGTGGTGAGGACAG | NM_001286404 | 71 | [21] | 
| Glut-2 | AACCTTCCTAGCCCTGTTCT | GGCTAAGAACATTCCGGTGT | NM_031197.2 | 131 | [21] | 
| EAAT-3 | ACCCACTTCACAAGGCTGTC | GCTTGTCACTGCTGGTTTGG | NM_009199 | 87 | [21] | 
| CAT-1 | GCAGGTGTGAGAGGCTTTCT | CACAGCAGAGTCCACGGTAG | NM_007513 | 92 | [21] | 
| ACTIN | GGTTACAGGAAGTCCCTCAC | AAGCAATGCTGTCACCTTCC | NM_007393 | 106 | [21] | 
| Disclaimer/Publisher’s Note: The statements, opinions and data contained in all publications are solely those of the individual author(s) and contributor(s) and not of MDPI and/or the editor(s). MDPI and/or the editor(s) disclaim responsibility for any injury to people or property resulting from any ideas, methods, instructions or products referred to in the content. | 
© 2024 by the authors. Licensee MDPI, Basel, Switzerland. This article is an open access article distributed under the terms and conditions of the Creative Commons Attribution (CC BY) license (https://creativecommons.org/licenses/by/4.0/).
Share and Cite
Browne, N.; Horgan, K. The Impact of a Proprietary Blend of Yeast Cell Wall, Short-Chain Fatty Acids, and Zinc Proteinate on Growth, Nutrient Utilisation, and Endocrine Hormone Secretion in Intestinal Cell Models. Animals 2024, 14, 238. https://doi.org/10.3390/ani14020238
Browne N, Horgan K. The Impact of a Proprietary Blend of Yeast Cell Wall, Short-Chain Fatty Acids, and Zinc Proteinate on Growth, Nutrient Utilisation, and Endocrine Hormone Secretion in Intestinal Cell Models. Animals. 2024; 14(2):238. https://doi.org/10.3390/ani14020238
Chicago/Turabian StyleBrowne, Niall, and Karina Horgan. 2024. "The Impact of a Proprietary Blend of Yeast Cell Wall, Short-Chain Fatty Acids, and Zinc Proteinate on Growth, Nutrient Utilisation, and Endocrine Hormone Secretion in Intestinal Cell Models" Animals 14, no. 2: 238. https://doi.org/10.3390/ani14020238
APA StyleBrowne, N., & Horgan, K. (2024). The Impact of a Proprietary Blend of Yeast Cell Wall, Short-Chain Fatty Acids, and Zinc Proteinate on Growth, Nutrient Utilisation, and Endocrine Hormone Secretion in Intestinal Cell Models. Animals, 14(2), 238. https://doi.org/10.3390/ani14020238
 
        


 
       