Outcome of Communication Training in Veterinary Studies: Influence on the Perception of the Relevance of Veterinary Competencies and Self-Assessment of Communication Skills
Abstract
Simple Summary
Abstract
1. Introduction
2. Participants, Materials and Methods
2.1. Participants
2.2. Communication Courses
2.2.1. E-Learning Course on the Basics of Communication
2.2.2. Practical Communication Course
2.3. Questionnaires
2.4. Statistical Analysis
3. Results
3.1. Number of Participants
3.2. Assessment of the Relevance of Competencies
3.3. Self-Assessment of Communication Skills
4. Discussion
5. Conclusions
Supplementary Materials
Author Contributions
Funding
Institutional Review Board Statement
Informed Consent Statement
Data Availability Statement
Acknowledgments
Conflicts of Interest
References
- Fraser, D.R.; McGregor, D.D.; Grohn, Y.T. Career paths of alumni of the Cornell Leadership Program for veterinary students. Vet. Rec. 2008, 163, 750–756. [Google Scholar] [PubMed]
- Tomlin, J.L.; Brodbelt, D.C.; May, S.A. Influences on the decision to study veterinary medicine: Variation with sex and background. Vet. Rec. 2010, 166, 744–748. [Google Scholar] [CrossRef] [PubMed]
- Lowrie, P.M. Tying art and science to reality for recruiting minorities to veterinary medicine. J. Vet. Med. Educ. 2009, 36, 382–387. [Google Scholar] [CrossRef] [PubMed]
- Pun, J.K.H. An integrated review of the role of communication in veterinary clinical practice. BMC Vet. Res. 2020, 16, 394. [Google Scholar] [CrossRef]
- Gebhardt, C.; Mehnert-Theuerkauf, A.; Hartung, T.; Zimmermann, A.; Glaesmer, H.; Götze, H. COMSKIL: A communication skills training program for medical students. GMS J. Med. Educ. 2021, 38, Doc83. [Google Scholar] [CrossRef]
- Wulf, H. Masterplan Medizinstudium 2020. Anästhesiol. Intensiv. Notf. Schmerzther. 2017, 52, 313. [Google Scholar] [CrossRef]
- EAEVE. List of Subjects and Day One Competences: (As Approved by ECCVT on 17 January 2019). Available online: https://www.eaeve.org/fileadmin/downloads/eccvt/List_of_subjects_and_Day_One_Competences_approved_on_17_January_2019.pdf (accessed on 25 February 2023).
- European System of Evaluation of Veterinary Training. Manual of Standard Operating Procedure. Available online: https://www.eaeve.org/fileadmin/downloads/SOP/ESEVT_SOP_May_2016_amended_Annex_8_approved_by_ExCom_on_29_May_2019.pdf (accessed on 25 February 2023).
- Bernigau, D.; Dilly, M. Fachgruppe im Fokus: DVG Forum. Dtsch. Veterinärmedizinische Ges. 2019, 16, 41–43. [Google Scholar]
- Emmett, L.; Aden, J.; Bunina, A.; Klaps, A.; Stetina, B.U. Feminization and Stress in the Veterinary Profession: A Systematic Diagnostic Approach and Associated Management. Behav. Sci. 2019, 9, 114. [Google Scholar] [CrossRef]
- Stetina, B.U.; Krouzecky, C. Reviewing a Decade of Change for Veterinarians: Past, Present and Gaps in Researching Stress, Coping and Mental Health Risks. Animals 2022, 12, 3199. [Google Scholar] [CrossRef]
- Verordnung zur Approbation von Tierärztinnen und Tierärzten. (TAppV). Available online: https://www.gesetze-im-internet.de/tappv/ (accessed on 25 February 2023).
- Gruber, C.; Dilly, M.; Bahramsoltani, M.; Kleinsorgen, C.; Engelskirchen, S.; Ramspott, S.; Ehlers, J.P. Communication as teaching content of veterinary studies—A joint position paper from the DVG specialist group “communication and didactics” and the GMA veterinary medicine committee. GMS J. Med. Educ. 2021, 38, Doc84. [Google Scholar] [CrossRef]
- Schulz von Thun, F. Miteinander Reden 1: Störungen und Klärungen. Allgemeine Psychologie der Kommunikation, 1st ed.; Rowohlt E-Book: Reinbek, Germany, 2013; ISBN 9783644446410. [Google Scholar]
- Berne, E. Strukturanalyse und Transaktionsanalyse. In Spiele der Erwachsenen: Psychologie der Menschlichen Beziehungen, 21st ed.; Berne, E., Ed.; Rowohlt Verlag GmbH: Hamburg, Germany, 2002; pp. 29–46. ISBN 3499613506. [Google Scholar]
- Beebe, S.A.; Beebe, S.J.; Redmond, M.V. Interpersonal Communication: Relating to Others, 6th ed.; Allyn & Bacon: Boston, MA, USA, 2011; ISBN 9780205674534. [Google Scholar]
- Gray, C.; Moffett, J. A Guide to the Veterinary Consultation Based on the Calgary-Cambridge Observation Guide. In Handbook of Veterinary Communication Skills; Gray, C., Moffett, J., Eds.; Wiley: Oxford, UK, 2013; pp. 27–36. ISBN 9781118699706. [Google Scholar]
- Pohl, A.; Klass, L.G.; Kleinsorgen, C.; Bernigau, D.; Pfeiffer-Morhenn, B.; Arnhold, S.; Dilly, M.; Beitz-Radzio, C.; Wissing, S.; Vogt, L.; et al. Integration and potential of teaching communication skills in the study of veterinary medicine in Germany. GMS J. Med. Educ. 2021, 38, Doc53. [Google Scholar] [CrossRef] [PubMed]
- Freie Universität Berlin. tet.folio. Available online: https://tetfolio.fu-berlin.de/ (accessed on 25 February 2023).
- Blackboard. Germany. Available online: https://www.blackboard.com/de-de (accessed on 25 February 2023).
- Weger, H.; Castle Bell, G.; Minei, E.M.; Robinson, M.C. The Relative Effectiveness of Active Listening in Initial Interactions. Int. J. Listening 2014, 28, 13–31. [Google Scholar] [CrossRef]
- Charles, C.; Gafni, A.; Whelan, T. Decision-making in the physician-patient encounter: Revisiting the shared treatment decision-making model. Soc. Sci. Med. 1999, 49, 651–661. [Google Scholar] [CrossRef] [PubMed]
- Elwyn, G.; Edwards, A.; Kinnersley, P.; Grol, R. Shared decision making and the concept of equipoise: The competences of involving patients in healthcare choices. Br. J. Gen. Pract. 2000, 50, 892–899. [Google Scholar] [PubMed]
- Milman, N.B. The Flipped Classroom Strategy: What it is and how can it best be used? In Distance Learning: … for Educators, Trainers, and Leaders; Simonson, M., Ed.; Information Age Publishing: Charlotte, NC, USA, 2014; pp. 9–11. ISBN 9781623969974. [Google Scholar]
- Baile, W.F.; Buckman, R.; Lenzi, R.; Glober, G.; Beale, E.A.; Kudelka, A.P. SPIKES-A six-step protocol for delivering bad news: Application to the patient with cancer. Oncologist 2000, 5, 302–311. [Google Scholar] [CrossRef] [PubMed]
- Glasl, F. The Process of Conflict Escalation and Roles of Third Parties. In Conflict Management and Industrial Relations; Bomers, G.B.J., Peterson, R.B., Eds.; Springer: Dordrecht, The Netherlands, 2013; pp. 119–140. ISBN 978-94-017-1134-0. [Google Scholar]
- Price, O.; Baker, J. Key components of de-escalation techniques: A thematic synthesis. Int. J. Ment. Health Nurs. 2012, 21, 310–319. [Google Scholar] [CrossRef]
- Kienle, R.; Freytag, J.; Lück, S.; Eberz, P.; Langenbeck, S.; Sehy, V.; Hitzblech, T. Communication skills training in undergraduate medical education at Charité—Universitätsmedizin Berlin. GMS J. Med. Educ. 2021, 38, Doc56. [Google Scholar] [CrossRef]
- Lück, S.; Kienle, R.; Langenbeck, S.; Sehy, V.; Freytag, J. Motivierende Gesprächsführung mit Simulationspatient_innen lehren und prüfen. Z. Klin. Psychol. Psychother. 2021, 50, 159–167. [Google Scholar] [CrossRef]
- Adkoli, B.V.; Parija, S.C. Feedback: How to Give and Take? In Effective Medical Communication; Parija, S., Adkoli, B., Eds.; Springer: Singapore, 2020; pp. 27–36. ISBN 978-981-15-3408-9. [Google Scholar]
- Axboe, M.K.; Christensen, K.S.; Kofoed, P.-E.; Ammentorp, J. Development and validation of a self-efficacy questionnaire (SE-12) measuring the clinical communication skills of health care professionals. BMC Med. Educ. 2016, 16, 272. [Google Scholar] [CrossRef]
- Abood, S.K. Effectively communicating with your clients. Top. Companion Anim. Med. 2008, 23, 143–147. [Google Scholar] [CrossRef]
- Gaida, S.; Härtl, A.; Tipold, A.; Dilly, M. Communication identity in veterinary medicine: A grounded theory approach. Vet. Rec. Open 2018, 5, e000310. [Google Scholar] [CrossRef] [PubMed]
- Colombo, E.S.; Crippa, F.; Calderari, T.; Prato-Previde, E. Empathy toward animals and people: The role of gender and length of service in a sample of Italian veterinarians. J. Vet. Behav. 2017, 17, 32–37. [Google Scholar] [CrossRef]
- Mellanby, R.J.; Rhind, S.M.; Bell, C.; Shaw, D.J.; Gifford, J.; Fennell, D.; Manser, C.; Spratt, D.P.; Wright, M.J.H.; Zago, S.; et al. Perceptions of clients and veterinarians on what attributes constitute ‘a good vet’. Vet. Rec. 2011, 168, 616. [Google Scholar] [CrossRef] [PubMed]
- McArthur, M.L.; Fitzgerald, J.R. Companion animal veterinarians’ use of clinical communication skills. Aust. Vet. J. 2013, 91, 374–380. [Google Scholar] [CrossRef] [PubMed]
- Lam, T.J.G.M.; Jansen, J.; van den Borne, B.H.P.; Renes, R.J.; Hogeveen, H. What veterinarians need to know about communication to optimise their role as advisors on udder health in dairy herds. N. Z. Vet. J. 2011, 59, 8–15. [Google Scholar] [CrossRef]
- Lavigne, S.H.; Louis, S.; Rankin, S.C.; Zaoutis, T.E.; Szymczak, J.E. How companion animal veterinarians in the United States perceive financial constraints on antibiotic decision-making. Vet. Rec. 2021, 188, e62. [Google Scholar] [CrossRef]
- Reinhard, A.R.; Hains, K.D.; Hains, B.J.; Strand, E.B. Are They Ready? Trials, Tribulations, and Professional Skills Vital for New Veterinary Graduate Success. Front. Vet. Sci. 2021, 8, 785844. [Google Scholar] [CrossRef]
- Morrisey, J.K.; Voiland, B. Difficult interactions with veterinary clients: Working in the challenge zone. Vet. Clin. N. Am. Small Anim. Pract. 2007, 37, 65–77. [Google Scholar] [CrossRef]
- Hare, D. Good communication skills key to success. Can. Vet. J. 2003, 44, 621–622. [Google Scholar]
- Armitage-Chan, E.; May, S.A. Developing a Professional Studies Curriculum to Support Veterinary Professional Identity Formation. J. Vet. Med. Educ. 2018, 45, 489–501. [Google Scholar] [CrossRef]
- Matthew, S.M.; Taylor, R.M.; Ellis, R.A. Relationships between students’ experiences of learning in an undergraduate internship programme and new graduates’ experiences of professional practice. High Educ. 2012, 64, 529–542. [Google Scholar] [CrossRef]
- Haldane, S.; Hinchcliff, K.; Mansell, P.; Baik, C. Expectations of Graduate Communication Skills in Professional Veterinary Practice. J. Vet. Med. Educ. 2017, 44, 268–279. [Google Scholar] [CrossRef] [PubMed]
- Hafen, M.; Rush, B.R.; Nelson, S.C. Utilizing filmed authentic student-client interactions as a communication teaching tool. J. Vet. Med. Educ. 2009, 36, 429–435. [Google Scholar] [CrossRef] [PubMed]
- Gustafsson, T.; Sundler, A.J.; Hedén, L.; Lindberg, E.; Maurin Söderholm, H. Communication in home care-A feasibility study of an educational intervention in self-efficacy and job satisfaction. Nurs. Open 2023, 10, 1375–1382. [Google Scholar] [CrossRef] [PubMed]
- Houwen, J.; de Bont, O.A.; Lucassen, P.L.; Rosmalen, J.G.; Stappers, H.W.; olde Hartman, T.C.; van Dulmen, S. Development of a blended communication training program for managing medically unexplained symptoms in primary care using the intervention mapping approach. Patient Educ. Couns. 2022, 105, 1305–1316. [Google Scholar] [CrossRef] [PubMed]
- Gustafsson, T.; Sundler, A.J.; Lindberg, E.; Karlsson, P.; Söderholm, H.M. Process evaluation of the ACTION programme: A strategy for implementing person-centred communication in home care. BMC Nurs. 2021, 20, 56. [Google Scholar] [CrossRef]
- Wolderslund, M.; Kofoed, P.-E.; Ammentorp, J. The effectiveness of a person-centred communication skills training programme for the health care professionals of a large hospital in Denmark. Patient Educ. Couns. 2021, 104, 1423–1430. [Google Scholar] [CrossRef]
- Gartmeier, M.; Bauer, J.; Fischer, M.R.; Hoppe-Seyler, T.; Karsten, G.; Kiessling, C.; Möller, G.E.; Wiesbeck, A.; Prenzel, M. Fostering professional communication skills of future physicians and teachers: Effects of e-learning with video cases and role-play. Instr. Sci. 2015, 43, 443–462. [Google Scholar] [CrossRef]
- Son, D.; Shimizu, I.; Ishikawa, H.; Aomatsu, M.; Leppink, J. Communication skills training and the conceptual structure of empathy among medical students. Perspect. Med. Educ. 2018, 7, 264–271. [Google Scholar] [CrossRef]
- Graf, J.; Loda, T.; Zipfel, S.; Wosnik, A.; Mohr, D.; Herrmann-Werner, A. Communication skills of medical students: Survey of self- and external perception in a longitudinally based trend study. BMC Med. Educ. 2020, 20, 149. [Google Scholar] [CrossRef]
- Hecker, K.G.; Adams, C.L.; Coe, J.B. Assessment of first-year veterinary students’ communication skills using an objective structured clinical examination: The importance of context. J. Vet. Med. Educ. 2012, 39, 304–310. [Google Scholar] [CrossRef] [PubMed]
- Kleen, J.L.; Rehage, J. Kommunikationskompetenz in der tierärztlichen Praxis. Tierärztliche Prax. Ausg. G Großtiere Nutztiere 2008, 36, 293–297. [Google Scholar] [CrossRef]
- Shaw, J.R.; Adams, C.L.; Bonnett, B.N. What can veterinarians learn from studies of physician-patient communication about veterinarian-client-patient communication? J. Am. Vet. Med. Assoc. 2004, 224, 676–684. [Google Scholar] [CrossRef] [PubMed]



| For veterinarians to be successful in their careers, it is important that they… |
| … can argue convincingly. |
| … are good at mental arithmetic. |
| … can resolve conflicts. |
| … can use medical terminology correctly. |
| … are good with people. |
| … can ask targeted questions. |
| … can take the perspective of the other person. |
| … are good listeners. |
| … are tidy. |
| … have manual skills. |
| … are good with animals. |
| … always have the specialist knowledge at hand. |
| … are always up to date with the latest knowledge. |
| … can structure. |
| … have technical skills. |
| How certain are you that you are able to successfully… |
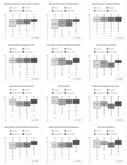
| … identify the issues the patient owners wish to address during the conversation? |
| … make an agenda/plan for the conversation with the patient owners? |
| … urge the patient owners to expand on his or her problems/worries? |
| … listen attentively without interrupting or changing of focus? |
| … encourage the patient owners to express thoughts and feelings? |
| … structure the conversation with the patient owners? |
| … demonstrate appropriate nonverbal behavior (eye contact, facial expression, placement, posture, and voicing)? |
| … show empathy and acknowledge the patient owners’ views and feelings? |
| … clarify what the patient owners know in order to communicate the right amount of information? |
| … check patient owners’ understanding of the information given? |
| … make a plan based on shared decisions between you and the patient owners? |
| … close the conversation by assuring, that the patient owners’ questions have been answered? |
| Competency | Chi-Square | p-Value |
|---|---|---|
| Arguing convincingly | 52.9 | <0.001 |
| Resolving conflicts | 54.4 | <0.001 |
| Using medical terminology | 25.3 | <0.001 |
| Being good with people | 6.6 | 0.158 |
| Asking targeted questions | 8.2 | 0.084 |
| Taking the perspective of the other person | 27.6 | <0.001 |
| Being good listener | 25.7 | <0.001 |
| Being tidy | 10.5 | 0.033 |
| Having manual skills | 41.1 | <0.001 |
| Being good with animals | 36.2 | <0.001 |
| Having the specialist knowledge at hand | 11.1 | 0.260 |
| Being up to date with the latest knowledge | 19.6 | <0.001 |
| Structuring | 52.0 | <0.001 |
| Having technical skills | 21.0 | <0.001 |
| Communication Skill | Kruskal–Wallis Test | Post Hoc Tests (Adjusted p-Values) | ||||||
|---|---|---|---|---|---|---|---|---|
| Chi-Square | p-Value | 1st to 2nd | 1st to 3rd(b) | 1st to 3rd(a) | 2nd to 3rd(b) | 2nd to 3rd(a) | 3rd(b) to 3rd(a) | |
| Identify the issues the patient owners wish to address | 11.6 | 0.009 | 1.0 | 1.0 | 0.037 | 1.0 | 0.405 | 0.023 |
| Make an agenda/plan for the conversation | 22.3 | <0.001 | 1.0 | 1.0 | 0.001 | 1.0 | 0.099 | <0.001 |
| Urge the patient owners to expand problems | 3.4 | 0.332 | Not performed | |||||
| Listen without changing of focus | 0.7 | 0.863 | Not performed | |||||
| Encourage to express thoughts and feelings | 1.9 | 0.599 | Not performed | |||||
| Structure the conversation | 27.3 | <0.001 | 1.0 | 1.0 | <0.001 | 1.0 | 0.007 | <0.001 |
| Demonstrate appropriate nonverbal behavior | 7.0 | 0.073 | Not performed | |||||
| Show empathy | 2.2 | 0.529 | Not performed | |||||
| Clarify the patient owners’ knowledge | 17.0 | <0.001 | 1.0 | 1.0 | 0.008 | 1.0 | 0.226 | 0.001 |
| Check patient owners’ understanding | 16.3 | <0.001 | 1.0 | 1.0 | 0.001 | 1.0 | 0.046 | 0.049 |
| Make a plan based on shared decisions | 16.6 | <0.001 | 1.0 | 1.0 | 0.099 | 1.0 | 0.109 | 0.001 |
| Close the conversation | 6.8 | 0.078 | Not performed | |||||
Disclaimer/Publisher’s Note: The statements, opinions and data contained in all publications are solely those of the individual author(s) and contributor(s) and not of MDPI and/or the editor(s). MDPI and/or the editor(s) disclaim responsibility for any injury to people or property resulting from any ideas, methods, instructions or products referred to in the content. |
© 2023 by the authors. Licensee MDPI, Basel, Switzerland. This article is an open access article distributed under the terms and conditions of the Creative Commons Attribution (CC BY) license (https://creativecommons.org/licenses/by/4.0/).
Share and Cite
Bahramsoltani, M.; Bröer, S.; Langforth, S.; Eule, C.; Prior, A.; Vogt, L.; Li, T.-T.; Schirone, R.; Pohl, A.; Jensen, K.C. Outcome of Communication Training in Veterinary Studies: Influence on the Perception of the Relevance of Veterinary Competencies and Self-Assessment of Communication Skills. Animals 2023, 13, 1516. https://doi.org/10.3390/ani13091516
Bahramsoltani M, Bröer S, Langforth S, Eule C, Prior A, Vogt L, Li T-T, Schirone R, Pohl A, Jensen KC. Outcome of Communication Training in Veterinary Studies: Influence on the Perception of the Relevance of Veterinary Competencies and Self-Assessment of Communication Skills. Animals. 2023; 13(9):1516. https://doi.org/10.3390/ani13091516
Chicago/Turabian StyleBahramsoltani, Mahtab, Sonja Bröer, Susann Langforth, Corinna Eule, Alina Prior, Lena Vogt, Ting-Ting Li, Rebecca Schirone, Alina Pohl, and Katharina Charlotte Jensen. 2023. "Outcome of Communication Training in Veterinary Studies: Influence on the Perception of the Relevance of Veterinary Competencies and Self-Assessment of Communication Skills" Animals 13, no. 9: 1516. https://doi.org/10.3390/ani13091516
APA StyleBahramsoltani, M., Bröer, S., Langforth, S., Eule, C., Prior, A., Vogt, L., Li, T.-T., Schirone, R., Pohl, A., & Jensen, K. C. (2023). Outcome of Communication Training in Veterinary Studies: Influence on the Perception of the Relevance of Veterinary Competencies and Self-Assessment of Communication Skills. Animals, 13(9), 1516. https://doi.org/10.3390/ani13091516

