Effect of Increasing the Methionine Level and Reducing the Threonine Level in the Diet of Fast-Growing Rabbits
Abstract
Simple Summary
Abstract
1. Introduction
2. Materials and Methods
2.1. Animals
2.2. Experimental Diets
2.3. Experimental Procedure
2.4. Chemical Analysis
2.5. Statistical Analysis
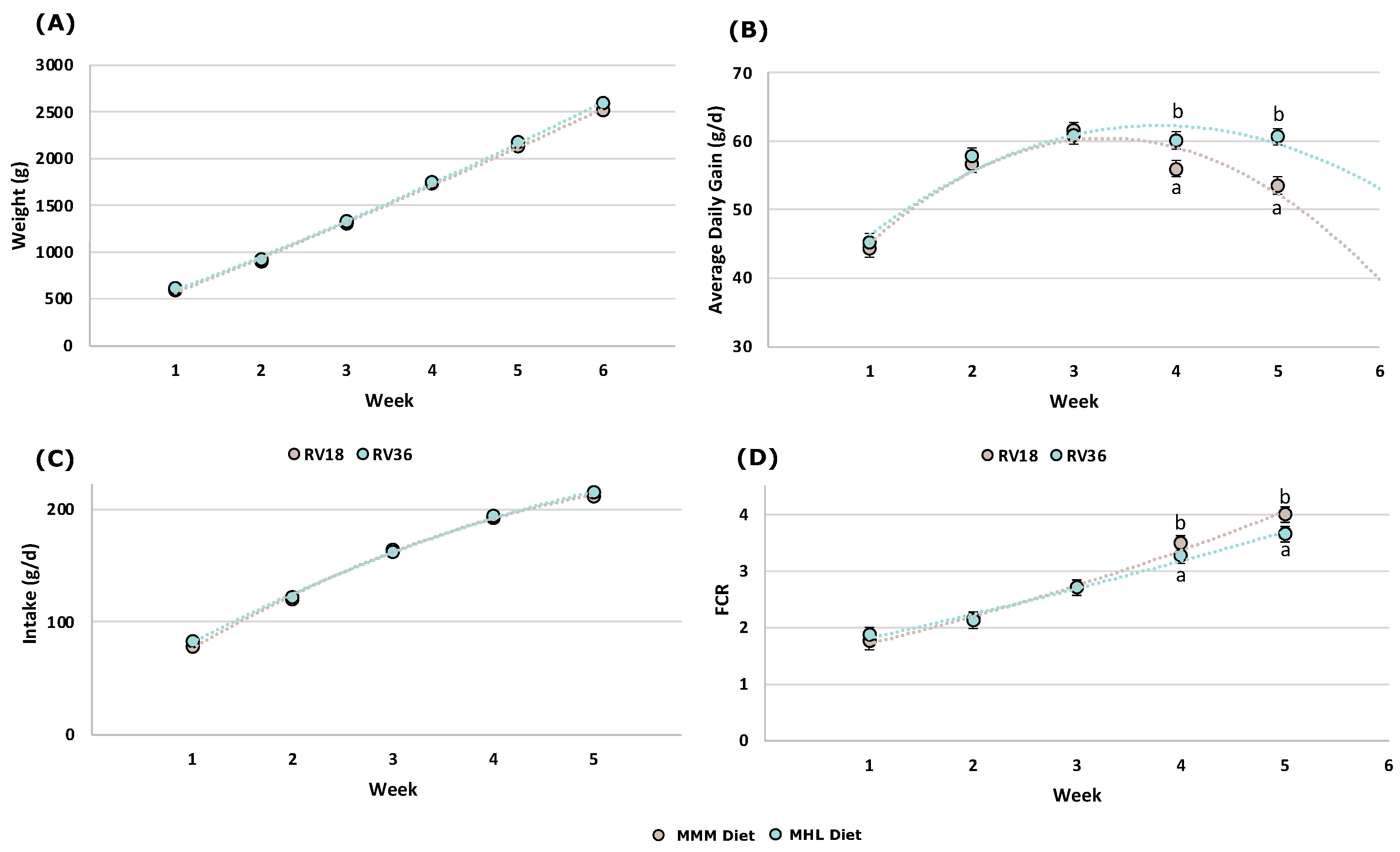
3. Results
3.1. Digestibility
3.2. Performance
3.3. Retention
4. Discussion
5. Conclusions
Author Contributions
Funding
Institutional Review Board Statement
Informed Consent Statement
Data Availability Statement
Acknowledgments
Conflicts of Interest
Appendix A
| Basal Mixture | MMM | MHL | |
|---|---|---|---|
| Ingredients | |||
| Wheat bran | 300 | ||
| Straw | 175 | ||
| Sunflower meal | 167 | ||
| Alfalfa hay | 148 | ||
| Beet pulp | 120 | ||
| Barley | 42 | ||
| Beet molasses | 29 | ||
| Palm oil | 4.5 | ||
| Sodium chloride | 4.8 | ||
| Calcium carbonate | 2.6 | ||
| L-Lysine HCL | 2.4 | ||
| Monocalcium phosphate | 0.2 | ||
| Vitamin-trace element mixture 1 | 5.2 | ||
| Chemical composition | |||
| Dry matter (DM; g/kg) | 896 | 929 | 921 | 
| Ashes | 73.2 | 70.7 | 71.2 | 
| Crude protein | 157 | 155 | 157 | 
| Gross Energy (MJ/kg DM) | - | 18.01 | 18.36 | 
| Ether extract | 26.7 | 25.8 | 26.0 | 
| Neutral detergent fiber | 473 | 456 | 460 | 
| Acid detergent fiber | 275 | 263 | 267 | 
| Acid detergent lignin | 58.1 | 56.1 | 56.4 | 
| Digestible Energy 2 (MJ/kg DM) | - | 10.85 | 10.98 | 
| Digestible Protein 2 | - | 113 | 115 | 
| Digestible Protein/Digestible Energy | - | 10.41 | 10.47 | 
| Amino acids: Alanine | 5.81 | 5.61 | 5.62 | 
| Arginine | 8.25 | 7.96 | 8.03 | 
| Aspartic Acid | 12.7 | 12.2 | 12.4 | 
| Cysteine (Cys) | 2.36 | 2.28 | 2.30 | 
| Glutamic acid | 26.7 | 24.8 | 26.3 | 
| Glycine | 7.43 | 7.27 | 7.23 | 
| Histidine | 3.02 | 2.91 | 2.94 | 
| Isoleucine | 5.42 | 5.32 | 5.27 | 
| Leucine | 9.59 | 9.25 | 9.33 | 
| Lysine | 7.29 | 8.10 3 | 8.10 3 | 
| Methionine (Met) | 2.64 | 3.50 4 | 4.31 4 | 
| Phenylalanine | 6.07 | 5.85 | 5.91 | 
| Proline | 8.44 | 8.14 | 8.21 | 
| Serine | 6.63 | 6.25 | 6.47 | 
| Sulphur (Met + Cys) | 4.97 | 5.78 | 6.61 | 
| Threonine | 5.04 | 6.90 5 | 5.70 5 | 
| Tyrosine | 2.99 | 2.88 | 2.99 | 
| Valine | 7.42 | 7.16 | 7.23 | 
References
- Blasco, A. Genética y nutrición del Conejo. In Alimentación del Conejo; de Blas, C., Ed.; Ediciones Mundi Prensa: Madrid, Spain, 1989; pp. 1–15. [Google Scholar]
 - Baselga, M. Genetic improvement of meat rabbits: Programmes and diffusion. In Proceedings of the 8th World Rabbit Congress, Puebla, México, 7–10 September 2004; pp. 1–13. [Google Scholar]
 - Piles, M.; Blasco, A. Response to selection for growth rate in rabbits estimated by using a control cryopreserved population. World Rabbit Sci. 2003, 11, 53–62. [Google Scholar] [CrossRef]
 - Trocino, A.; García, J.; Carabaño, R.; Xiccato, G. A meta-analysis on the role of soluble fibre in diets for growing rabbits. World Rabbit Sci. 2013, 21, 1–15. [Google Scholar] [CrossRef]
 - Marín-García, P.J.; Ródenas, L.; Martínez-Paredes, E.; Cambra-López, M.; Blas, E.; Pascual, J.J. A moderate protein diet does not cover the requirements of growing rabbits with high growth rate. Anim. Feed Sci. Technol. 2020, 264, 114495. [Google Scholar] [CrossRef]
 - Carabaño, R.; Villamide, M.J.; García, J.; Nicodemus, N.; Llorente, A.; Chamorro, S.; Menoyo, D.; García-Rebollar, P.; García-Ruiz, A.I.; De Blas, J.C. New concepts and objectives for protein-amino acid nutrition in rabbits. A review. World Rabbit Sci. 2009, 17, 1–14. [Google Scholar] [CrossRef]
 - Marín-García, P.J.; Ródenas, L.; Martínez-Paredes, E.; Blas, E.; Pascual, J.J. Plasma urea nitrogen as an indicator of amino acid imbalance in rabbit diets. World Rabbit Sci. 2020, 28, 63–72. [Google Scholar] [CrossRef]
 - de Blas, J.C.; Gonzalez-Mateos, G. Feed Formulation. In Nutrition of the Rabbit, 2nd ed.; de Blas, C., Wiseman, J., Eds.; CABI International, CAB Publishing: Wallingford, UK, 2010; pp. 222–232. [Google Scholar]
 - Marín-García, P.J.; Ródenas, L.; Martínez-Paredes, E.; Blas, E.; Pascual, J.J. Plasmatic urea nitrogen in growing rabbits with different combinations of dietary levels of lysine, sulphur amino acids and threonine. Animals 2020, 10, 946. [Google Scholar] [CrossRef] [PubMed]
 - Villamide, M.J.; Fraga, M.J. Prediction of the digestible crude protein and protein digestibility of feed ingredients for rabbits from chemical analysis. Anim. Feed Sci. Technol. 1998, 70, 211–224. [Google Scholar] [CrossRef]
 - Villamide, M.J.; Carabaño, R.; Maertens, L.; Pascual, J.; Gidenne, T.; Falcao-E-Cunha, L.; Xiccato, G. Prediction of the nutritional value of European compound feeds for rabbits by chemical components and in vitro analysis. Anim. Feed Sci. Technol. 2009, 150, 283–294. [Google Scholar] [CrossRef]
 - Lebas, F. Besoins nutritionnels des lapins: Revue bibliographique et perspectives. Cuni Sci. 1989, 5, 1–28. [Google Scholar]
 - Bellier, R.; Gidenne, T.; Vernay, M.; Colin, M. In vivo study of circadian variations of the cecal fermentation pattern in postweaned and adult rabbits. J. Anim. Sci. 1995, 73, 128–135. [Google Scholar] [CrossRef]
 - Carabaño, R.; de Blas, J.C.; García, A.I. Recent advances in nitrogen nutrition in rabbits. World Rabbit Sci. 2000, 8, 14–28. [Google Scholar]
 - Villamide, M.J.; Nicodemus, N.; Fraga, M.J.; Carabaño, R. Protein digestion. In Nutrition of the Rabbit; de Blas, C., Wiseman, J., Eds.; CABI Publishing, CAB International: Wallingford, UK, 2010; pp. 39–55. [Google Scholar]
 - Fernández-Carmona, J.; Blas, E.; Pascual, J.J.; Maertens, L.; Gidenne, T.; Xicatto, G.; García, J. Recommendations and guidelines for applied nutrition experiments in rabbits. World Rabbit Sci. 2005, 13, 209–228. [Google Scholar] [CrossRef]
 - Estany, J.; Camacho, J.; Baselga, M.; Blasco, A. Selection response of growth rate in rabbits for meat production. Genet. Sel. Evol. 1992, 24, 527–537. [Google Scholar] [CrossRef]
 - Merino, J.M.; Carabaño, R. Effect of type of fibre on ileal and faecal digestibilities. J. Appl. Rabbit Res. 1992, 15, 931–937. [Google Scholar]
 - Marín-García, P.J.; Rodríguez-Pont, M.; Moya, J.; Ródenas, L.; Martínez-Paredes, E.; Cambra-López, M.; Pascual, J.J.; Blas, E. Development of a method to estimate endogenous losses of protein and amino acids at the ileal level in growing rabbits. World Rabbit Sci. 2022; submitted. [Google Scholar]
 - Association of Official Analytical Chemist. Official Methods of Analysis; Association of Official Analytical Chemists: Gaithersburg, MD, USA, 2000. [Google Scholar]
 - Van Soest, P.J.; Robertson, J.B.; Lewis, B.A. Methods for dietary fiber, neutral detergent fiber and non-starch polysaccharides in relation to animal nutrition. J. Dairy Sci. 1991, 74, 3583–3597. [Google Scholar] [CrossRef]
 - Bosch, L.; Alegría, A.; Farré, R. Application of the 6-aminoquinolyl-N-hydroxysccinimidyl carbamate (AQC) reagent to the RP-HPLC determination of amino acids in infant foods. J. Chromatogr. 1995, 831, 176–183. [Google Scholar] [CrossRef]
 - SAS Institute. SAS/STAT® 9.2 User’s Guide; Sas Institute Inc.: Cary, NC, USA, 2009. [Google Scholar]
 - Villamide, M.J.; Garcia, A.I.; Llorente, A.; Carabaño, R. Ileal vs. faecal amino acid digestibility in concentrates and fibrous sources for rabbit feed formulation. Anim. Feed Sci. Technol. 2013, 182, 100–110. [Google Scholar] [CrossRef]
 - García-Quirós, A.; Arnau-Bonachera, A.; Penadés, M.; Cervera, C.; Martínez-Paredes, E.M.; Ródenas, L.; Selva, L.; Vianam, D.; Corpa, J.M.; Pascual, J.J. A robust rabbit line increases leucocyte counts at weaning and reduces mortality by digestive disorder during fattening. Vet. Immunol. Immunopathol. 2014, 161, 123–131. [Google Scholar] [CrossRef] [PubMed]
 - Mínguez, C.; Sánchez, J.P.; El Nagar, A.G.; Ragab, M.; Baselga, M. Growth traits of four maternal lines of rabbits founded on different criteria: Comparisons at foundation and at last periods after selection. J. Anim. Breed. Genet. 2016, 133, 303–315. [Google Scholar] [CrossRef]
 - Marín-García, P.J.; López-Luján, M.C.; Ródenas, L.; Martínez-Paredes, E.; Cambra-López, M.; Blas, E.; Pascual, J.J. Do growing rabbits with a high growth rate require diets with high levels of essential amino acids? A choice-feeding trial. Animals 2021, 11, 824. [Google Scholar] [CrossRef]
 - Marín-García, P.J.; Llobat, L.; López-Lujan, M.C.; Cambra-López, M.; Blas, E.; Pascual, J.J. Urea Nitrogen Metabolite Can Contribute to Implementing the Ideal Protein Concept in Monogastric Animals. Animals 2022, 12, 2344. [Google Scholar] [CrossRef]
 - Gidenne, T.; Perez, J.M. Replacement of digestible fibre by starch in the diet of the growing rabbit: I. Effects on digestion, rate of passage and retention of nutrients. Anim. Zootech. 2000, 49, 357–368. [Google Scholar] [CrossRef]
 - Birolo, M.; Trocino, A.; Zuffellato, A.; Xiccato, G. Effect of feed restriction programs and slaughter age on digestive efficiency, growth performance and body composition of growing rabbits. Anim. Feed Sci. Technol. 2016, 222, 194–203. [Google Scholar] [CrossRef]
 - Taboada, E.; Méndez, J.; Maeos, G.; de Blas, C. The response of highly productive rabbits to dietary lysine content. Livest. Prod. Sci. 1994, 40, 329–337. [Google Scholar] [CrossRef]
 - Adamson, I.; Fisher, H. Amino acid requirements of the growing rabbit: An estimate of quantitative needs. J. Nutr. 1973, 103, 1306–1310. [Google Scholar] [CrossRef] [PubMed]
 - National Academy of Science. Nutrient Requirements of Rabbits, 2nd ed.; National Academy of Science: Washington, DC, USA, 1977. [Google Scholar]
 - Berchiche, M.; Lebas, F. Supplémentation en méthionine d’un aliment à base de feverole: Effets sur la croissance, le rendement à l’abattage et la composition de la carcasse chez du lapin. World Rabbit Sci. 1994, 2, 135–140. [Google Scholar]
 - Taboada, E.; Méndez, J.; de Blas, C. The response of highly productive rabbits to dietary sulphur amino acid content for reproduction and growth. Rep. Nut. Develop. 1996, 36, 191–203. [Google Scholar] [CrossRef]
 - de Blas, C.; Taboada, E.; Nicodemus, N.; Campos, R.; Piquer, J.; Méndez, J. Performance response of lactating and growing rabbits to dietary threonine content. Anim. Feed. Sci. Technol. 1998, 70, 151–160. [Google Scholar] [CrossRef]
 - Nicodemus, N.; Mateos, J.; Blas, J.; Carabaño, R.; Fraga, M. Effect of diet on amino acid composition of soft faeces and the contribution of soft faeces to total amino acid intake, through caecotrophy in lactating doe rabbits. Anim. Sci. 1999, 69, 167–170. [Google Scholar] [CrossRef]
 - Perez, J.M.; Lebas, F.; Gidenne, T.; Maertens, L.; Xiccato, G.; Parigi-Bini, R.; Dalle Zotte, A.; Cossu, M.E.; Carazzolo, A.; Villamide, M.J.; et al. European reference method for in vivo determination of diet digestibility in rabbits. World Rabbit. Sci. 1995, 3, 41–43. [Google Scholar]
 


| MMM | MHL | p-Value | |||
|---|---|---|---|---|---|
| Fecal coefficients: (49 to 53 d old)  | |||||
| Dry matter | 0.547 | ±0.006 | 0.533 | ±0.005 | 0.0770 | 
| Crude protein | 0.733 | ±0.007 | 0.731 | ±0.008 | 0.1122 | 
| Gross energy | 0.606 | ±0.005 | 0.599 | ±0.005 | 0.2806 | 
| Apparent Ileal coefficients: (63 d old)  | |||||
| Dry matter | 0.395 | ±0.025 | 0.439 | ±0.028 | 0.2577 | 
| Crude protein | 0.576 | ±0.036 | 0.556 | ±0.037 | 0.6957 | 
| Alanine | 0.591 | ±0.046 | 0.552 | ±0.052 | 0.5612 | 
| Arginine | 0.805 | ±0.027 | 0.753 | ±0.031 | 0.2373 | 
| Aspartic acid | 0.618 | ±0.049 | 0.561 | ±0.057 | 0.4548 | 
| Cysteine | 0.416 | ±0.052 | 0.552 | ±0.061 | 0.1064 | 
| Glutamic acid | 0.781 | ±0.033 | 0.731 | ±0.038 | 0.3151 | 
| Glycine | 0.344 | ±0.052 | 0.339 | ±0.064 | 0.9575 | 
| Histidine | 0.753 | ±0.033 | 0.684 | ±0.038 | 0.1761 | 
| Isoleucine | 0.658 | ±0.049 | 0.596 | ±0.056 | 0.4048 | 
| Leucine | 0.664 | ±0.049 | 0.606 | ±0.055 | 0.4234 | 
| Lysine | 0.708 | ±0.050 | 0.600 | ±0.058 | 0.1541 | 
| Methionine | 0.741 | ±0.027 | 0.740 | ±0.034 | 0.9795 | 
| Phenylalanine | 0.691 | ±0.044 | 0.635 | ±0.051 | 0.4014 | 
| Proline | 0.678 | ±0.029 | 0.690 | ±0.033 | 0.7828 | 
| Serine | 0.521 | ±0.041 | 0.461 | ±0.060 | 0.4440 | 
| Threonine | 0.645 | ±0.042 | 0.507 | ±0.048 | 0.0408 | 
| Tyrosine | 0.549 | ±0.050 | 0.505 | ±0.057 | 0.5667 | 
| Valine | 0.622 | ±0.045 | 0.578 | ±0.050 | 0.5106 | 
| True Ileal coefficients: (63 d old)  | |||||
| Crude protein | 0.807 | ±0.036 | 0.786 | ±0.040 | 0.7059 | 
| Alanine | 0.860 | ±0.046 | 0.792 | ±0.053 | 0.3376 | 
| Arginine | 0.849 | ±0.033 | 0.763 | ±0.038 | 0.0988 | 
| Aspartic acid | 0.874 | ±0.049 | 0.783 | ±0.057 | 0.2372 | 
| Cysteine | 0.790 | ±0.052 | 0.806 | ±0.061 | 0.8411 | 
| Glutamic acid | 1.016 | ±0.033 | 0.952 | ±0.038 | 0.2180 | 
| Glycine | 0.669 | ±0.055 | 0.620 | ±0.064 | 0.5616 | 
| Histidine | 0.870 | ±0.033 | 0.792 | ±0.038 | 0.1271 | 
| Isoleucine | 1.033 | ±0.050 | 0.938 | ±0.058 | 0.2234 | 
| Leucine | 0.866 | ±0.049 | 0.773 | ±0.057 | 0.2256 | 
| Lysine | 0.854 | ±0.050 | 0.721 | ±0.058 | 0.0967 | 
| Methionine | 0.851 | ±0.029 | 0.812 | ±0.034 | 0.4494 | 
| Phenylalanine | 0.844 | ±0.044 | 0.757 | ±0.051 | 0.2156 | 
| Proline | 0.938 | ±0.029 | 0.904 | ±0.033 | 0.4551 | 
| Serine | 1.025 | ±0.041 | 0.936 | ±0.060 | 0.2765 | 
| Threonine | 0.839 | ±0.049 | 0.931 | ±0.043 | 0.1689 | 
| Tyrosine | 0.711 | ±0.050 | 0.646 | ±0.057 | 0.4064 | 
| Valine | 0.922 | ±0.045 | 0.848 | ±0.052 | 0.2919 | 
| MMM | MHL | p-Value | |||
|---|---|---|---|---|---|
| Crude protein intake (g/day) | 22.6 | ±0.5 | 23.1 | ±0.5 | 0.4484 | 
| EBWG (g/day) | 47.2 | ±0.9 | 48.6 | ±0.9 | 0.2735 | 
| Energy | 8.999 | ±0.239 | 8.679 | ±0.239 | 0.3493 | 
| Protein | 0.2104 | ±0.0043 | 0.2024 | ±0.0043 | 0.1898 | 
| Alanine | 0.0099 | ±0.0003 | 0.0096 | ±0.0003 | 0.3712 | 
| Arginine | 0.0147 | ±0.0005 | 0.0150 | ±0.0005 | 0.7518 | 
| Aspartic acid | 0.0150 | ±0.0005 | 0.0148 | ±0.0005 | 0.8158 | 
| Cysteine | 0.0036 | ±0.0002 | 0.0035 | ±0.0002 | 0.6560 | 
| Glutamic acid | 0.0241 | ±0.0008 | 0.0247 | ±0.0008 | 0.6029 | 
| Glycine | 0.0170 | ±0.0004 | 0.0161 | ±0.0004 | 0.1516 | 
| Histidine | 0.0040 | ±0.0002 | 0.0040 | ±0.0003 | 0.9822 | 
| Isoleucine | 0.0069 | ±0.0001 | 0.0069 | ±0.0001 | 0.9041 | 
| Leucine | 0.0138 | ±0.0003 | 0.0138 | ±0.0003 | 0.8959 | 
| Lysine | 0.0121 | ±0.0004 | 0.0120 | ±0.0004 | 0.9501 | 
| Methionine | 0.0040 | ±0.0001 | 0.0038 | ±0.0001 | 0.1526 | 
| Phenylalanine | 0.0069 | ±0.0002 | 0.0069 | ±0.0002 | 0.9542 | 
| Proline | 0.0097 | ±0.0003 | 0.0096 | ±0.0003 | 0.7890 | 
| Serine | 0.0086 | ±0.0003 | 0.0089 | ±0.0003 | 0.5548 | 
| Threonine | 0.0074 | ±0.0003 | 0.0077 | ±0.0002 | 0.4507 | 
| Tyrosine | 0.0055 | ±0.0003 | 0.0057 | ±0.0003 | 0.5733 | 
| Valine | 0.0093 | ±0.0002 | 0.0094 | ±0.0002 | 0.8986 | 
| Current (MMM) | New (MHL) | |||||
|---|---|---|---|---|---|---|
| Lysine | Sulphur Amino Acids | Threonine | Lysine | Sulphur Amino Acids | Threonine | |
| Total | 8.1 1 | 5.8 1 | 6.9 1 | 8.1 3 | 6.6 3 | 5.7 3 | 
| Apparent fecal digestible | 6.3 1 | 4.4 1 | 4.8 1 | |||
| Apparent ileal digestible | 5.2 2 | 3.6 2 | 4.5 2 | 5.2 2 | 4.2 2 | 2.9 2 | 
| True ileal digestible | 6.4 2 | 4.7 2 | 6.1 2 | 6.4 2 | 5.4 2 | 5.0 2 | 
Disclaimer/Publisher’s Note: The statements, opinions and data contained in all publications are solely those of the individual author(s) and contributor(s) and not of MDPI and/or the editor(s). MDPI and/or the editor(s) disclaim responsibility for any injury to people or property resulting from any ideas, methods, instructions or products referred to in the content.  | 
© 2023 by the authors. Licensee MDPI, Basel, Switzerland. This article is an open access article distributed under the terms and conditions of the Creative Commons Attribution (CC BY) license (https://creativecommons.org/licenses/by/4.0/).
Share and Cite
Marín-García, P.J.; Ródenas, L.; Martínez-Paredes, E.; Moya, V.J.; Cambra-López, M.; Blas, E.; Pascual, J.J. Effect of Increasing the Methionine Level and Reducing the Threonine Level in the Diet of Fast-Growing Rabbits. Animals 2023, 13, 1471. https://doi.org/10.3390/ani13091471
Marín-García PJ, Ródenas L, Martínez-Paredes E, Moya VJ, Cambra-López M, Blas E, Pascual JJ. Effect of Increasing the Methionine Level and Reducing the Threonine Level in the Diet of Fast-Growing Rabbits. Animals. 2023; 13(9):1471. https://doi.org/10.3390/ani13091471
Chicago/Turabian StyleMarín-García, Pablo Jesús, Luís Ródenas, Eugenio Martínez-Paredes, Vicente Javier Moya, María Cambra-López, Enrique Blas, and Juan José Pascual. 2023. "Effect of Increasing the Methionine Level and Reducing the Threonine Level in the Diet of Fast-Growing Rabbits" Animals 13, no. 9: 1471. https://doi.org/10.3390/ani13091471
APA StyleMarín-García, P. J., Ródenas, L., Martínez-Paredes, E., Moya, V. J., Cambra-López, M., Blas, E., & Pascual, J. J. (2023). Effect of Increasing the Methionine Level and Reducing the Threonine Level in the Diet of Fast-Growing Rabbits. Animals, 13(9), 1471. https://doi.org/10.3390/ani13091471
        
