Changes in Calprotectin (S100A8-A9) and Aldolase in the Saliva of Horses with Equine Gastric Ulcer Syndrome
Abstract
Simple Summary
Abstract
1. Introduction
2. Materials and Methods
2.1. Animals
- EGUS groups: animals with compatible signs according to the criteria established previously [6] were further divided into the different types of EGUS:
- ○
- ESGD group: horses with a score ≥ 1 on the 4-point ESGD gradation scale at gastroscopy according to the European College of Equine Internal Medicine (ECEIM) Consensus Statement [3].
- ○
- EGGD group: since a validated grading system for EGGD is not widely accepted, the description of the anatomical lesions compatible with the disease determined by gastroscopy was used for diagnosis, as recommended by ECEIM [3].
- ○
- Combination of ESGD and EGGD: horses that presented a positive diagnosis for ESGD and EGGD at the same time.
- Non-EGUS group: In the case of animals with compatible signs of EGUS but without compatible gastroscopic images. In this group, further diagnostic exams were assessed in those cases required. These exams were per rectum exploration, transabdominal ultrasonography, intestinal biopsies, abdominocentesis or exploratory laparotomy.
- Healthy control group: Only animals with no signs of any pathology were included in this group. These horses showed no alteration during the physical examination and haematological, biochemical, and gastroscopic analysis.
2.2. Saliva Sampling
2.3. Measurements of Calprotectin Concentration and Aldolase Activity
- Precision: The intra- and inter-assay coefficient of variation (CV) were obtained from two saliva samples with high and low values, respectively.
- Accuracy: This was assessed through the study of linearity after serial dilutions of a saliva sample with a high level of the analyte diluted with ultrapure water. In addition, recovery studies in which purified CALP or aldolase using the control material of the assays were spiked with a saliva sample to reach three different analyte concentrations were performed.
- Limit of quantification (LoQ): based on the lowest CALP concentration and aldolase activity that had an imprecision lower than 20%.
- Limit of detection (LD): This was determined by the lowest concentration of CALP and activity of aldolase that could be distinguished from a specimen of zero value, calculated as a mean value plus 2 standard deviations of 12 replicate determinations of the zero standards (ultrapure water).
2.4. Statistical Analysis
3. Results
3.1. Population Included
3.2. Assays Validation
3.3. Changes in Calprotectin in the Saliva of Horses with EGUS
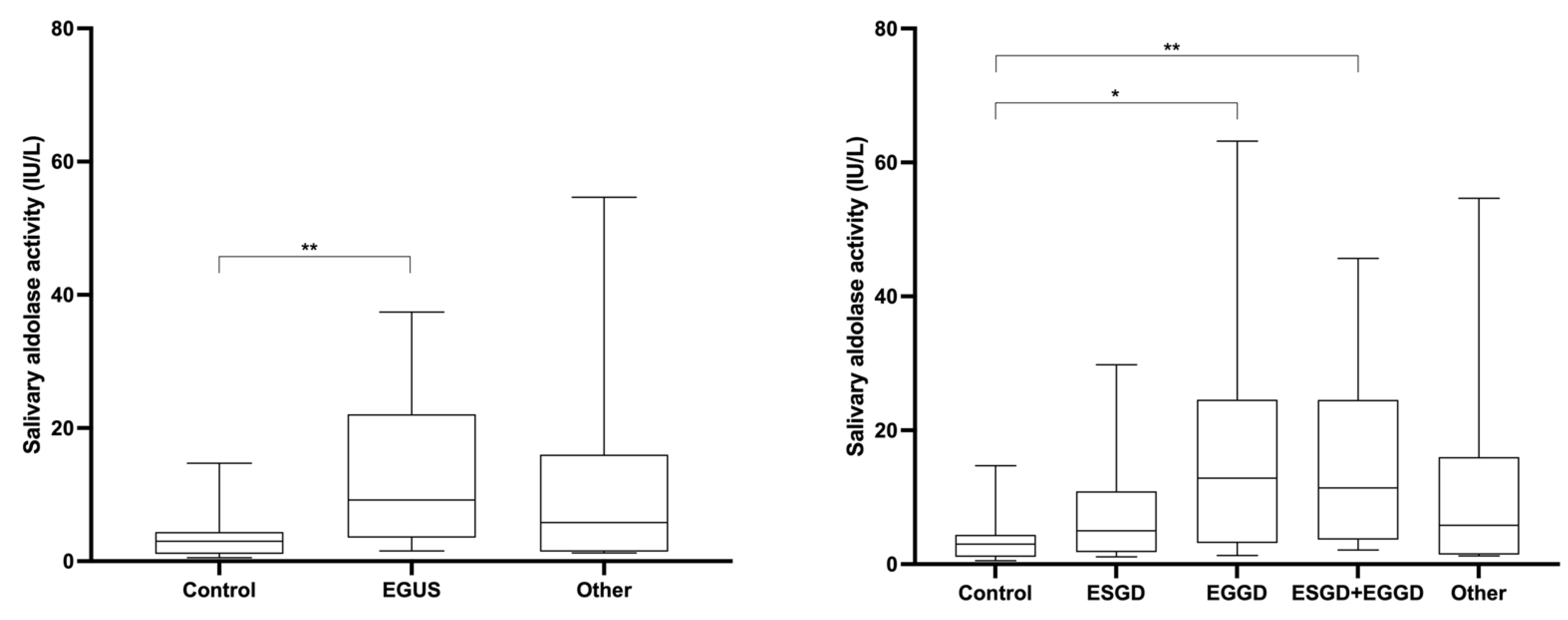
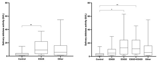
3.4. Changes in Aldolase in the Saliva of Horses with EGUS
4. Discussion
5. Conclusions
Supplementary Materials
Author Contributions
Funding
Institutional Review Board Statement
Data Availability Statement
Conflicts of Interest
References
- Van den Boom, R. Equine Gastric Ulcer Syndrome in Adult Horses. Vet. J. 2022, 283–284, 105830. [Google Scholar] [CrossRef] [PubMed]
- Merritt, A.M. Appeal for Proper Usage of the Term ‘EGUS’: Equine Gastric Ulcer Syndrome. Equine Vet. J. 2009, 41, 616. [Google Scholar] [CrossRef]
- Sykes, B.W.; Hewetson, M.; Hepburn, R.J.; Luthersson, N.; Tamzali, Y. European College of Equine Internal Medicine Consensus Statement-Equine Gastric Ulcer Syndrome in Adult Horses. J. Vet. Intern. Med. 2015, 29, 1288–1299. [Google Scholar] [CrossRef]
- Camacho-Luna, P.; Buchanan, B.; Andrews, F.M. Advances in Diagnostics and Treatments in Horses and Foals with Gastric and Duodenal Ulcers. Vet. Clin. N. Am. Equine Pract. 2018, 34, 97–111. [Google Scholar] [CrossRef] [PubMed]
- Niedźwiedź, A.; Kubiak, K.; Nicpoń, J. Endoscopic Findings of the Stomach in Pleasure Horses in Poland. Acta Vet. Scand. 2013, 55, 45. [Google Scholar] [CrossRef] [PubMed]
- Muñoz-Prieto, A.; Cerón, J.J.; Rubio, C.P.; Contreras-Aguilar, M.D.; Pardo-Marín, L.; Ayala-de la Peña, I.; Martín-Cuervo, M.; Holm Henriksen, I.-M.; Arense-Gonzalo, J.J.; Tecles, F.; et al. Evaluation of a Comprehensive Profile of Salivary Analytes for the Diagnosis of the Equine Gastric Ulcer Syndrome. Animals 2022, 12, 3261. [Google Scholar] [CrossRef] [PubMed]
- Contreras-Aguilar, M.D.; Rubio, C.P.; González-Arostegui, L.G.; Martín-Cuervo, M.; Cerón, J.J.; Ayala, I.; Henriksen, I.M.H.; Jacobsen, S.; Hansen, S. Changes in Oxidative Status Biomarkers in Saliva and Serum in the Equine Gastric Ulcer Syndrome and Colic of Intestinal Aetiology: A Pilot Study. Animals 2022, 12, 667. [Google Scholar] [CrossRef] [PubMed]
- Cerón, J.J.; Contreras-Aguilar, M.D.; Escribano, D.; Martínez-Miró, S.; López-Martínez, M.J.; Ortín-Bustillo, A.; Franco-Martínez, L.; Rubio, C.P.; Muñoz-Prieto, A.; Tvarijonaviciute, A.; et al. Basics for the Potential Use of Saliva to Evaluate Stress, Inflammation, Immune System, and Redox Homeostasis in Pigs. BMC Vet. Res. 2022, 18, 81. [Google Scholar] [CrossRef]
- Muñoz-Prieto, A.; Escribano, D.; Contreras-Aguilar, M.D.; Horvatić, A.; Guillemin, N.; Jacobsen, S.; Cerón, J.J.; Mrljak, V. Tandem Mass Tag (TMT) Proteomic Analysis of Saliva in Horses with Acute Abdominal Disease. Animals 2021, 11, 1304. [Google Scholar] [CrossRef] [PubMed]
- Jukic, A.; Bakiri, L.; Wagner, E.F.; Tilg, H.; Adolph, T.E. Calprotectin: From Biomarker to Biological Function. Gut 2021, 70, 1978–1988. [Google Scholar] [CrossRef]
- Manz, M.; Burri, E.; Rothen, C.; Tchanguizi, N.; Niederberger, C.; Rossi, L.; Beglinger, C.; Lehmann, F.S. Value of Fecal Calprotectin in the Evaluation of Patients with Abdominal Discomfort: An Observational Study. BMC Gastroenterol. 2012, 12, 5. [Google Scholar] [CrossRef] [PubMed]
- Kim, J.W.; Jung, J.Y.; Lee, S.W.; Baek, W.Y.; Kim, H.A.; Suh, C.H. S100A8 in Serum, Urine, and Saliva as a Potential Biomarker for Systemic Lupus Erythematosus. Front. Immunol. 2022, 13, 886209. [Google Scholar] [CrossRef]
- Ananda Rao, G.; Abraham, S. Triglyceride Synthesis from Dihydroxyacetone Phosphate and Palmitate by Microsomes from Mammary Glands of Lactating Mice. Lipids 1978, 13, 95–98. [Google Scholar] [CrossRef] [PubMed]
- Yamamoto, T.; Kudo, M.; Peng, W.X.; Takata, H.; Takakura, H.; Teduka, K.; Fujii, T.; Mitamura, K.; Taga, A.; Uchida, E.; et al. Identification of Aldolase A as a Potential Diagnostic Biomarker for Colorectal Cancer Based on Proteomic Analysis Using Formalin-Fixed Paraffin-Embedded Tissue. Tumor Biol. 2016, 37, 13595–13606. [Google Scholar] [CrossRef] [PubMed]
- Faleiros, R.R.; Nuovo, G.J.; Belknap, J.K. Calprotectin in Myeloid and Epithelial Cells of Laminae from Horses with Black Walnut Extract-Induced Laminitis. J. Vet. Intern. Med. 2009, 23, 174–181. [Google Scholar] [CrossRef] [PubMed]
- Grosche, A.; Morton, A.J.; Polyak, M.M.R.; Matyjaszek, S.; Freeman, D.E. Detection of Calprotectin and Its Correlation to the Accumulation of Neutrophils within Equine Large Colon during Ischaemia and Reperfusion. Equine Vet. J. 2008, 40, 393–399. [Google Scholar] [CrossRef]
- Garnett, E.; Pagaduan, J.; Rajapakshe, D.; Tam, E.; Kellermayer, R.; Devaraj, S. Validation of the Newly FDA-Approved Buhlmann FCal Turbo Assay for Measurement of Fecal Calprotectin in a Pediatric Population. Pract. Lab. Med. 2020, 22, e00178. [Google Scholar] [CrossRef]
- López-Martínez, M.J.; Cerón, J.J.; Ortín-Bustillo, A.; Escribano, D.; Kuleš, J.; Beletić, A.; Rubić, I.; González-Sánchez, J.C.; Mrljak, V.; Martínez-Subiela, S.; et al. A Proteomic Approach to Elucidate the Changes in Saliva and Serum Proteins of Pigs with Septic and Non-Septic Inflammation. Int. J. Mol. Sci. 2022, 23, 6738. [Google Scholar] [CrossRef] [PubMed]
- Henneke, D.R.; Potter, G.D.; Kreider, J.L.; Yeates, B.F. Relationship between Condition Score, Physical Measurements and Body Fat Percentage in Mares. Equine Vet. J. 1983, 15, 371–372. [Google Scholar] [CrossRef] [PubMed]
- Contreras-Aguilar, M.D.; Hevia, M.L.; Escribano, D.; Lamy, E.; Tecles, F.; Cerón, J.J. Effect of Food Contamination and Collection Material in the Measurement of Biomarkers in Saliva of Horses. Res. Vet. Sci. 2020, 129, 90–95. [Google Scholar] [CrossRef]
- Perkins, N.J.; Schisterman, E.F. The Inconsistency of “Optimal” Cutpoints Obtained Using Two Criteria Based on the Receiver Operating Characteristic Curve. Am. J. Epidemiol. 2006, 163, 670–675. [Google Scholar] [CrossRef]
- Altschul, S. Gapped BLAST and PSI-BLAST: A New Generation of Protein Database Search Programs. Nucleic Acids Res. 1997, 25, 3389–3402. [Google Scholar] [CrossRef] [PubMed]
- Banse, H.E.; Andrews, F.M. Equine Glandular Gastric Disease: Prevalence, Impact and Management Strategies. Vet. Med. Res. Rep. 2019, 10, 69–76. [Google Scholar] [CrossRef] [PubMed]
- Muñoz-Prieto, A.; Contreras-Aguilar, M.D.; Cerón, J.J.; Ayala, I.; Martin-Cuervo, M.; Gonzalez-Sanchez, J.C.; Jacobsen, S.; Kuleš, J.; Beletić, A.; Rubić, I.; et al. Changes in Proteins in Saliva and Serum in Equine Gastric Ulcer Syndrome Using a Proteomic Approach. Animals 2022, 12, 1169. [Google Scholar] [CrossRef] [PubMed]
- Ryckman, C.; Vandal, K.; Rouleau, P.; Talbot, M.; Tessier, P.A. Proinflammatory Activities of S100: Proteins S100A8, S100A9, and S100A8/A9 Induce Neutrophil Chemotaxis and Adhesion. J. Immunol. 2003, 170, 3233–3242. [Google Scholar] [CrossRef]
- Leach, S.T.; Mitchell, H.M.; Geczy, C.L.; Sherman, P.M.; Day, A.S. S100 Calgranulin Proteins S100A8, S100A9 and S100A12 Are Expressed in the Inflamed Gastric Mucosa of Helicobacter Pylori -Infected Children. Can. J. Gastroenterol. 2008, 22, 461–464. [Google Scholar] [CrossRef]
- Huang, J.A.; Huang, H.D.; Peng, Q.B.; Zhu, Z.J.; Yu, X.R. S100 Protein-Positive Dendritic Cells and the Significance of Their Density in Gastric Precancerous Lesions. Proc. Chin. Acad. Med. Sci. Peking Union Med. Coll. 1990, 5, 93–96. [Google Scholar] [PubMed]
- Shabani, F.; Farasat, A.; Mahdavi, M.; Gheibi, N. Calprotectin (S100A8/S100A9): A Key Protein between Inflammation and Cancer. Inflamm. Res. 2018, 67, 801–812. [Google Scholar] [CrossRef] [PubMed]
- Jiang, Z.; Wang, X.; Li, J.; Yang, H.; Lin, X. Aldolase A as a Prognostic Factor and Mediator of Progression via Inducing Epithelial–Mesenchymal Transition in Gastric Cancer. J. Cell. Mol. Med. 2018, 22, 4377–4386. [Google Scholar] [CrossRef]
- Gunaletchumy, S.P.; Seevasant, I.; Tan, M.H.; Croft, L.J.; Mitchell, H.M.; Goh, K.L.; Loke, M.F.; Vadivelu, J. Helicobacter Pylori Genetic Diversity and Gastro-Duodenal Diseases in Malaysia. Sci. Rep. 2014, 4, 7431. [Google Scholar] [CrossRef] [PubMed]
- Contreras-Aguilar, M.D.; Escribano, D.; Martínez-Subiela, S.; Martínez-Miró, S.; Rubio, M.; Tvarijonaviciute, A.; Tecles, F.; Cerón, J.J. Influence of the Way of Reporting Alpha-Amylase Values in Saliva in Different Naturalistic Situations: A Pilot Study. PLoS ONE 2017, 12, e0180100. [Google Scholar] [CrossRef] [PubMed]
- Nilsen, T.; Sunde, K.; Larsson, A. A New Turbidimetric Immunoassay for Serum Calprotectin for Fully Automatized Clinical Analysers. J. Inflamm. 2015, 12, 45. [Google Scholar] [CrossRef] [PubMed]
- Eckersall, P.D. Calibration of Novel Protein Biomarkers for Veterinary Clinical Pathology: A Call for International Action. Front. Vet. Sci. 2019, 6, 210. [Google Scholar] [CrossRef] [PubMed]
- Muñoz-Prieto, A.; Tvarijonaviciute, A.; Escribano, D.; Martínez-Subiela, S.; Cerón, J.J. Use of Heterologous Immunoassays for Quantification of Serum Proteins: The Case of Canine C-Reactive Protein. PLoS ONE 2017, 12, e0172188. [Google Scholar] [CrossRef] [PubMed]





| Method | Comparison | Samples | Mean | SD | CV (%) |
|---|---|---|---|---|---|
| Calprotectin (mg/L) | Intra-assay | High | 38.8 | 6.04 | 0.38 |
| Low | 3.2 | 0.04 | 1.31 | ||
| Inter-assay | High | 43.2 | 8.98 | 6.85 | |
| Low | 4.64 | 0.38 | 4.38 | ||
| Aldolase (U/L) | Intra-assay | High | 92.38 | 6.50 | 7.03 |
| Low | 7.14 | 0.25 | 3.52 | ||
| Inter-assay | High | 89.74 | 8.92 | 9.98 | |
| Low | 5.89 | 1.12 | 8.52 |
| Calprotectin Concentration | Aldolase Activity | ||||||
|---|---|---|---|---|---|---|---|
| % Analyte | Expected (mg/L) | Observed (mg/L) | Recovery (%) | Expected (U/L) | Observed (U/L) | Recovery (%) | |
| 100 | 0 | 65 | 65 | 100 | 35 | 35 | 100 |
| 75 | 25 | 51.5 | 53.9 | 104.8 | 31.6 | 31.2 | 98.5 |
| 50 | 50 | 36.1 | 41.3 | 114.4 | 28.3 | 28 | 98.8 |
| 25 | 75 | 24.9 | 20.8 | 119.5 | 24.7 | 25 | 100.9 |
| 0 | 100 | 5.5 | 4.9 | 89.8 | 21.4 | 21.4 | 100 |
Disclaimer/Publisher’s Note: The statements, opinions and data contained in all publications are solely those of the individual author(s) and contributor(s) and not of MDPI and/or the editor(s). MDPI and/or the editor(s) disclaim responsibility for any injury to people or property resulting from any ideas, methods, instructions or products referred to in the content. |
© 2023 by the authors. Licensee MDPI, Basel, Switzerland. This article is an open access article distributed under the terms and conditions of the Creative Commons Attribution (CC BY) license (https://creativecommons.org/licenses/by/4.0/).
Share and Cite
Muñoz-Prieto, A.; Contreras-Aguilar, M.D.; Cerón, J.J.; Ayala de la Peña, I.; Martín-Cuervo, M.; Eckersall, P.D.; Holm Henriksen, I.-M.; Tecles, F.; Hansen, S. Changes in Calprotectin (S100A8-A9) and Aldolase in the Saliva of Horses with Equine Gastric Ulcer Syndrome. Animals 2023, 13, 1367. https://doi.org/10.3390/ani13081367
Muñoz-Prieto A, Contreras-Aguilar MD, Cerón JJ, Ayala de la Peña I, Martín-Cuervo M, Eckersall PD, Holm Henriksen I-M, Tecles F, Hansen S. Changes in Calprotectin (S100A8-A9) and Aldolase in the Saliva of Horses with Equine Gastric Ulcer Syndrome. Animals. 2023; 13(8):1367. https://doi.org/10.3390/ani13081367
Chicago/Turabian StyleMuñoz-Prieto, Alberto, María Dolores Contreras-Aguilar, José Joaquín Cerón, Ignacio Ayala de la Peña, María Martín-Cuervo, Peter David Eckersall, Ida-Marie Holm Henriksen, Fernando Tecles, and Sanni Hansen. 2023. "Changes in Calprotectin (S100A8-A9) and Aldolase in the Saliva of Horses with Equine Gastric Ulcer Syndrome" Animals 13, no. 8: 1367. https://doi.org/10.3390/ani13081367
APA StyleMuñoz-Prieto, A., Contreras-Aguilar, M. D., Cerón, J. J., Ayala de la Peña, I., Martín-Cuervo, M., Eckersall, P. D., Holm Henriksen, I.-M., Tecles, F., & Hansen, S. (2023). Changes in Calprotectin (S100A8-A9) and Aldolase in the Saliva of Horses with Equine Gastric Ulcer Syndrome. Animals, 13(8), 1367. https://doi.org/10.3390/ani13081367

