The Combined Use of Automated Milking System and Sensor Data to Improve Detection of Mild Lameness in Dairy Cattle
Abstract
Simple Summary
Abstract
1. Introduction
2. Materials and Methods
2.1. Farm Selection
2.2. Animal Data
2.3. On Farm Data Collection
2.3.1. Farm Management and Husbandry
2.3.2. Visual Animal Scorings
2.3.3. Interobserver Reliability
2.4. AMS and Sensor Data Collection and Transfer
2.5. Annual Milk Yield and Lactation Numbers
2.6. Farm Management and Husbandry Conditions
2.7. Statistical Analyses
2.7.1. Lameness Incidence Risk
2.7.2. Impact of LCS on Sensor and AMS Parameters
2.7.3. Lameness Detection with Random Forest
Model Parameters
Lameness Detection Model with Animal-Based Split
Lameness Detection Model with Farm-Based Split
3. Results
3.1. Lameness Incidence Risk
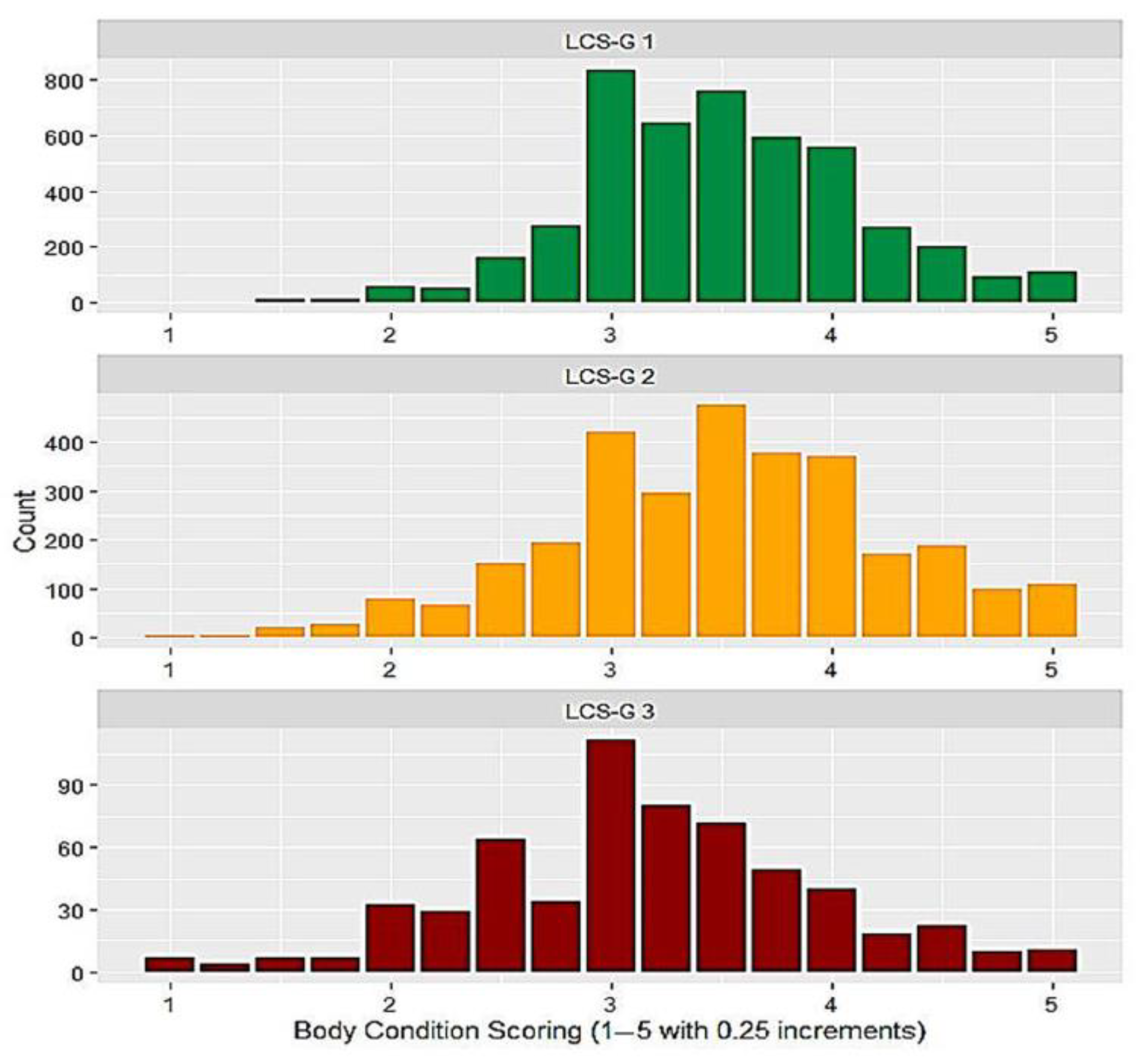
3.2. Body Condition Scoring
3.3. Claw-Position Scoring
3.4. LCS-G and AMS Data
3.5. LCS-G and Sensor Parameters
3.6. Detection of Lameness Using a Random Forest Algorithm
3.6.1. Lameness Detection Model with Animal-Based Split
3.6.2. Lameness Detection Model with Farm-Based Split
4. Discussion
5. Conclusions
Supplementary Materials
Author Contributions
Funding
Institutional Review Board Statement
Informed Consent Statement
Data Availability Statement
Acknowledgments
Conflicts of Interest
References
- Bell, M.J.; Tzimiropoulos, G. Novel Monitoring Systems to Obtain Dairy Cattle Phenotypes Associated With Sustainable Production. Front. Sustain. Food Syst. 2018, 2, 31. [Google Scholar] [CrossRef]
- Borghart, G.M.; O’Grady, L.E.; Somers, J.R. Prediction of lameness using automatically recorded activity, behavior and production data in post-parturient Irish dairy cows. Ir. Vet. J. 2021, 74, 4. [Google Scholar] [CrossRef]
- Barkema, H.W.; Von Keyserlingk, M.A.; Kastelic, J.P.; Lam, T.J.G.M.; Luby, C.; Roy, J.-P.; Leblanc, S.J.; Keefe, G.P.; Kelton, D.F. Invited review: Changes in the dairy industry affecting dairy cattle health and welfare. J. Dairy Sci. 2015, 98, 7426–7445. [Google Scholar] [CrossRef]
- Garcia, E.; Klaas, I.; Amigo, J.M.; Bro, R.; Enevoldsen, C. Lameness detection challenges in automated milking systems addressed with partial least squares discriminant analysis. J. Dairy Sci. 2014, 97, 7476–7486. [Google Scholar] [CrossRef] [PubMed]
- King, M.T.M.; Pajor, E.A.; LeBlanc, S.J.; DeVries, T.J. Associations of herd-level housing, management, and lameness prevalence with productivity and cow behavior in herds with automated milking systems. J. Dairy Sci. 2016, 99, 9069–9079. [Google Scholar] [CrossRef]
- Westin, R.; Vaughan, A.; de Passillé, A.M.; DeVries, T.; Pajor, E.A.; Pellerin, D.; Siegford, J.; Vasseur, E.; Rushen, J. Lying times of lactating cows on dairy farms with automatic milking systems and the relation to lameness, leg lesions, and body condition score. J. Dairy Sci. 2016, 99, 551–561. [Google Scholar] [CrossRef]
- Tse, C.; Barkema, H.W.; DeVries, T.J.; Rushen, J.; Pajor, E.A. Effect of transitioning to automatic milking systems on producers’ perceptions of farm management and cow health in the Canadian dairy industry. J. Dairy Sci. 2017, 100, 2404–2414. [Google Scholar] [CrossRef]
- Galon, N. The use of pedometry for estrus detection in dairy cows in Israel. J. Reprod. Dev. 2010, 56, S48–S52. [Google Scholar] [CrossRef]
- Bewley, J.M.; Schutz, M.M. Recent studies using a reticular bolus system for monitoring dairy cattle core body temperature. In Proceedings of the First North American Conference on Precision Dairy Management, Toronto, ON, Canada, 2–5 March 2010; pp. 218–219. [Google Scholar]
- Banhazi, T.M.; Lehr, H.; Black, J.L.; Crabtree, H.; Schofield, P.; Tscharke, M.; Berckmans, D. Precision livestock farming: An international review of scientific and commercial aspects. Int. J. Agric. Biol. Eng. 2012, 5, 1–9. [Google Scholar]
- Bikker, J.P.; van Laar, H.; Rump, P.; Doorenbos, J.; van Meurs, K.; Griffioen, G.M.; Dijkstra, J. Technical note: Evaluation of an ear-attached movement sensor to record cow feeding behavior and activity. J. Dairy Sci. 2014, 97, 2974–2979. [Google Scholar] [CrossRef]
- Rutten, C.J.; Kamphuis, C.; Hogeveen, H.; Huijps, K.; Nielen, M.; Steeneveld, W. Sensor data on cow activity, rumination, and ear temperature improve prediction of the start of calving in dairy cows. Comput. Electron. Agric. 2017, 132, 108–118. [Google Scholar] [CrossRef]
- Gusterer, E.; Kanz, P.; Krieger, S.; Schweinzer, V.; Süss, D.; Lidauer, L.; Kickinger, F.; Öhlschuster, M.; Auer, W.; Drillich, M.; et al. Sensor technology to support herd health monitoring: Using rumination duration and activity measures as unspecific variables for the early detection of dairy cows with health deviations. Theriogenology 2020, 157, 61–69. [Google Scholar] [CrossRef]
- Van Hertem, T.; Maltz, E.; Antler, A.; Romanini, C.E.B.; Viazzi, S.; Bahr, C.; Schlageter-Tello, A.; Lokhorst, C.; Berckmans, D.; Halachmi, I. Lameness detection based on multivariate continuous sensing of milk yield, rumination, and neck activity. J. Dairy Sci. 2013, 96, 4286–4298. [Google Scholar] [CrossRef]
- Van Nuffel, A.; Zwertvaegher, I.; Van Weyenberg, S.; Pastell, M.; Thorup, V.M.; Bahr, C.; Sonck, B.; Saeys, W. Lameness detection in dairy cows: Part 2. Use of sensors to automatically register changes in locomotion or behavior. Animals 2015, 5, 861–885. [Google Scholar] [CrossRef]
- Beer, G.; Alsaaod, M.; Starke, A.; Schuepbach-Regula, G.; Müller, H.; Kohler, P.; Steiner, A. Use of extended characteristics of locomotion and feeding behavior for automated identification of lame dairy cows. PLoS ONE 2016, 11, e0155796. [Google Scholar] [CrossRef]
- Alsaaod, M.; Fadul, M.; Steiner, A. Automatic lameness detection in cattle. Vet. J. 2019, 246, 35–44. [Google Scholar] [CrossRef]
- ZuchtData Jahresbericht. Annual Report. 2021. Available online: https://www.zar.at/Downloads/Jahresberichte/ZuchtData-Jahresberichte.html/ (accessed on 15 February 2023).
- Van De Gucht, T.; Van Weyenberg, S.; Van Nuffel, A.; Lauwers, L.; Vangeyte, J.; Saeys, W. Supporting the development and adoption of automatic lameness detection systems in dairy cattle: Effect of system cost and performance on potential market shares. Animals 2017, 7, 77. [Google Scholar] [CrossRef]
- Kaniyamattam, K.; Hertl, J.; Lhermie, G.; Tasch, U.; Dyer, R.; Gröhn, Y.T. Cost benefit analysis of automatic lameness detection systems in dairy herds: A dynamic programming approach. Prev. Vet. Med. 2020, 178, 104993. [Google Scholar] [CrossRef]
- Rouha-Mülleder, C.; Iben, C.; Wagner, E.; Laaha, G.; Troxler, J.; Waiblinger, S. Relative importance of factors influencing the prevalence of lameness in Austrian cubicle loose-housed dairy cows. Prev. Vet. Med. 2009, 92, 123–133. [Google Scholar] [CrossRef]
- Kofler, J.; Fürst-Waltl, B.; Dourakas, M.; Steininger, F.; Egger-Danner, C. Impact of lameness on milk yield in dairy cows in Austria—Results from the Efficient-Cow-project. Schweiz. Arch. Tierheilkd. 2021, 163, 123–138. [Google Scholar] [CrossRef]
- Kofler, J.; Suntinger, M.; Mayerhofer, M.; Linke, K.; Maurer, L.; Hund, A.; Fiedler, A.; Duda, J.; Egger-Danner, C. Benchmarking based on regularly recorded claw health data of Austrian dairy cattle for implementation in the Cattle-Data-Network (RDV). Animals 2022, 12, 808. [Google Scholar] [CrossRef] [PubMed]
- Murray, R.D.; Downham, D.Y.; Clarkson, M.J.; Faull, W.B.; Hughes, J.W.; Manson, F.J.; Merritt, J.B.; Russell, W.B.; Sutherst, J.E.; Ward, W.R. Epidemiology of lameness in dairy cattle: Description and analysis of foot lesions. Vet. Rec. 1996, 138, 586–591. [Google Scholar] [CrossRef] [PubMed]
- Bruijnis, M.R.N.; Beerda, B.; Hogeveen, H.; Stassen, E.N. Assessing the welfare impact of foot disorders in dairy cattle by a modeling approach. Animal 2012, 6, 962–970. [Google Scholar] [CrossRef] [PubMed]
- Whay, H.R.; Shearer, J.K. The impact of lameness on welfare of the dairy cow. Vet. Clin. Food Anim. Pract. 2017, 33, 153–164. [Google Scholar] [CrossRef]
- Bruijnis, M.R.N.; Hogeveen, H.; Stassen, E.N. Assessing economic consequences of foot disorders in dairy cattle using a dynamic stochastic simulation model. J. Dairy Sci. 2010, 93, 2419–2432. [Google Scholar] [CrossRef]
- Charfeddine, N.; Pérez-Cabal, M.A. Effect of claw disorders on milk production, fertility, and longevity, and their economic impact in Spanish Holstein cows. J. Dairy Sci. 2017, 100, 653–665. [Google Scholar] [CrossRef]
- Beggs, D.S.; Jongman, E.C.; Hemsworth, P.H.; Fisher, A.D. Lame cows on Australian dairy farms: A comparison of farmer-identified lameness and formal lameness scoring, and the position of lame cows within the milking order. J. Dairy Sci. 2019, 102, 1522–1529. [Google Scholar] [CrossRef]
- Sadiq, M.B.; Ramanoon, S.Z.; Shaik Mossadeq, W.M.; Mansor, R.; Syed Hussain, S.S. Dairy farmers’ perceptions of and actions in relation to lameness management. Animals 2019, 9, 270. [Google Scholar] [CrossRef]
- Sprecher, D.J.; Hostetler, D.E.; Kaneene, J.B. A lameness scoring system that uses posture and gait to predict dairy cattle reproductive performance. Theriogenology 1997, 47, 1179–1187. [Google Scholar] [CrossRef]
- Flower, F.C.; Weary, D.M. Effect of hoof pathologies on subjective assessments of dairy cow gait. J. Dairy Sci. 2006, 89, 139–146. [Google Scholar] [CrossRef]
- Van Nuffel, A.; Zwertvaegher, I.; Pluym, L.; Van Weyenberg, S.; Thorup, V.M.; Pastell, M.; Sonck, B.; Saeys, W. Lameness detection in dairy cows: Part 1. How to distinguish between non-lame and lame cows based on differences in locomotion or behavior. Animals 2015, 5, 838–860. [Google Scholar] [CrossRef]
- Dunthorn, J.; Dyer, R.M.; Neerchal, N.K.; McHenry, J.S.; Rajkondawar, P.G.; Steingraber, G.; Tasch, U. Predictive models of lameness in dairy cows achieve high sensitivity and specificity with force measurements in three dimensions. J. Dairy Res. 2015, 82, 391–399. [Google Scholar] [CrossRef] [PubMed]
- Viazzi, S.; Bahr, C.; Van Hertem, T.; Schlageter-Tello, A.; Romanini, C.E.B.; Halachmi, I.; Lokhorst, C.; Berckmans, D. Comparison of a three-dimensional and two-dimensional camera system for automated measurement of back posture in dairy cows. Comput. Electron. Agric. 2013, 100, 139–147. [Google Scholar] [CrossRef]
- Jabbar, K.A.; Hansen, M.F.; Smith, M.L.; Smith, L.N. Early and non-intrusive lameness detection in dairy cows using 3-dimensional video. Biosyst. Eng. 2017, 153, 63–69. [Google Scholar] [CrossRef]
- Pluk, A.; Bahr, C.; Leroy, T.; Poursaberi, A.; Song, X.; Vranken, E.; Maertens, W.; Van Nuffel, A.; Berckmans, D. Evaluation of step overlap as an automatic measure in dairy cow locomotion. Trans. ASABE 2010, 53, 1305–1312. [Google Scholar] [CrossRef]
- Van Nuffel, A.; Saeys, W.; Sonck, B.; Vangeyte, J.; Mertens, K.C.; De Ketelaere, B.; Van Weyenberg, S. Variables of gait inconsistency outperform basic gait variables in detecting mildly lame cows. Livest. Sci. 2015, 177, 125–131. [Google Scholar] [CrossRef]
- Chapinal, N.; de Passillé, A.M.; Weary, D.M.; von Keyserlingk, M.A.G.; Rushen, J. Using gait score, walking speed, and lying behavior to detect hoof lesions in dairy cows. J. Dairy Sci. 2009, 92, 4365–4374. [Google Scholar] [CrossRef]
- Lin, Y.C.; Mullan, S.; Main, D.C.J. Optimising lameness detection in dairy cattle by using handheld infrared thermometers. Vet. Med. Sci. 2018, 4, 218–226. [Google Scholar] [CrossRef]
- Van De Gucht, T.; Saeys, W.; Van Meensel, J.; Van Nuffel, A.; Vangeyte, J.; Lauwers, L. Farm-specific economic value of automatic lameness detection systems in dairy cattle: From concepts to operational simulations. J. Dairy Sci. 2018, 101, 637–648. [Google Scholar] [CrossRef]
- Poursaberi, A.; Bahr, C.; Pluk, A.; Van Nuffel, A.; Berckmans, D. Real-time automatic lameness detection based on back posture extraction in dairy cattle: Shape analysis of cow with image processing techniques. Comput. Electron. Agric. 2010, 74, 110–119. [Google Scholar] [CrossRef]
- Barker, Z.E.; Vázquez Diosdado, J.A.; Codling, E.A.; Bell, N.J.; Hodges, H.R.; Croft, D.P.; Amory, J.R. Use of novel sensors combining local positioning and acceleration to measure feeding behavior differences associated with lameness in dairy cattle. J. Dairy Sci. 2018, 101, 6310–6321. [Google Scholar] [CrossRef] [PubMed]
- Nechanitzky, K.; Starke, A.; Vidondo, B.; Müller, H.; Reckardt, M.; Friedli, K.; Steiner, A. Analysis of behavioral changes in dairy cows associated with claw horn lesions. J. Dairy Sci. 2016, 99, 2904–2914. [Google Scholar] [CrossRef] [PubMed]
- Bach, A.; Dinarés, M.; Devant, M.; Carré, X. Associations between lameness and production, feeding and milking attendance of Holstein cows milked with an automatic milking system. J. Dairy Res. 2006, 74, 40–46. [Google Scholar] [CrossRef] [PubMed]
- Miguel-Pacheco, G.G.; Kaler, J.; Remnant, J.; Cheyne, L.; Abbott, C.; French, A.P.; Pridmore, T.P.; Huxley, J.N. Behavioural changes in dairy cows with lameness in an automatic milking system. Appl. Anim. Behav. Sci. 2014, 150, 1–8. [Google Scholar] [CrossRef]
- Egger-Danner, C.; Fuerst-Waltl, B.; Obritzhauser, W.; Fuerst, C.; Schwarzenbacher, H.; Grassauer, B.; Mayerhofer, M.; Koeck, A. Recording of direct health traits in Austria-Experience report with emphasis on aspects of availability for breeding purposes. J. Dairy Sci. 2012, 95, 2765–2777. [Google Scholar] [CrossRef]
- Edmonson, A.J.; Lean, I.J.; Weaver, L.D.; Farver, T.; Webster, G. A body condition scoring chart for Holstein dairy cows. J. Dairy Sci. 1989, 72, 68–78. [Google Scholar] [CrossRef]
- Bulgarelli-Jiménez, G.; Dercks, K.; Van Amerongen, J.; Schukken, Y.H.; Nielsen, M. A hind feet position scoring system to monitor subclinical lameness in Dutch Holstein-Friesian cows. In Proceedings of the 9th International Symposium on Disorders of the Ruminant Digit and the International Conference on Lameness in Cattle, Jerusalem, Israel, 14–19 April 1996; p. 25. [Google Scholar]
- Holzhauer, M.; Middelesch, H.; Bartels, C.J.M.; Frankena, K.; Verhoeff, J.; Noordhuizen-Stassen, E.N.; Noordhuizen, J.P.T.M. Assessing the repeatability and reproducibility of the Leg Score: A Dutch claw health scoring system for dairy cattle. Tijdschr. Diergeneeskd. 2005, 130, 440–443. [Google Scholar]
- Fuerst-Waltl, B.; Egger-Danner, C.; Guggenbichler, S.; Kofler, J. Impact of lameness on fertility traits in Austrian Fleckvieh cows—Results from the Efficient-Cow-project. Schweiz. Arch. Tierheilkd. 2021, 164, 721–736. [Google Scholar] [CrossRef]
- Landis, J.R.; Koch, G.G. An application of hierarchical kappa-type statistics in the assessment of majority agreement among multiple observers. Biometrics 1977, 33, 363–374. [Google Scholar] [CrossRef]
- R Core Team. R: A Language and Environment for Statistical Computing; R Foundation for Statistical Computing: Vienna, Austria, 2021; Available online: https://www.R-project.org/ (accessed on 15 February 2023).
- Lenth, R.V. Least-Squares Means: The R Package lsmeans. J. Stat. Softw. 2016, 69, 1–33. [Google Scholar] [CrossRef]
- Blackie, N.; Amory, J.; Bleach, E.; Scaife, J. The effect of lameness on lying behaviour of zero grazed Holstein dairy cattle. Appl. Anim. Behav. Sci. 2011, 134, 85–91. [Google Scholar] [CrossRef]
- Breiman, L. Random forests. Mach. Learn. 2001, 45, 5–32. [Google Scholar] [CrossRef]
- Cutler, A.; Cutler, D.R.; Stevens, J.R. Random Forests. In Ensemble Machine Learning; Springer: Boston, MA, USA, 2012; pp. 157–175. [Google Scholar]
- Ho, T.K. Random decision forests. In Proceedings of the 3rd International Conference on Document Analysis and Recognition, Montreal, QC, Canada, 14–16 August 1995; Volume 1, pp. 278–282. [Google Scholar]
- Han, H.; Guo, X.; Yu, H. Variable selection using Mean Decrease Accuracy and Mean Decrease Gini based on Random Forest. In Proceedings of the 7th IEEE International Conference on Software Engineering and Service Science (ICSESS), Beijing, China, 26–28 August 2016; pp. 219–224. [Google Scholar]
- Wright, M.N.; Ziegler, A. Ranger: A fast implementation of random forests for high dimensional data in C++ and R. J. Stat. Softw. 2017, 77, 1–17. [Google Scholar] [CrossRef]
- Kuhn, M.; Wing, J.; Weston, S.; Williams, A.; Keefer, C.; Engelhardt, A.; Cooper, T.; Mayer, Z.; Kenkel, B.; The R Core Team; et al. Caret: Classification and Regression Training. R Package, Version 6.0-88. 2021. Available online: https://CRAN.R-project.org/package=caret (accessed on 15 February 2023).
- Coelho Ribeiro, L.A.; Bresolin, T.; Rosa, G.J.D.M.; Rume Casagrande, D.; Danes, M.D.A.C.; Dórea, J.R.R. Disentangling data dependency using cross-validation strategies to evaluate prediction quality of cattle grazing activities using machine learning algorithms and wearable sensor data. J. Anim. Sci. 2021, 99, skab206. [Google Scholar] [CrossRef] [PubMed]
- Wang, Q.; Bovenhuis, H. Validation strategy can result in an overoptimistic view of the ability of milk infrared spectra to predict methane emission of dairy cattle. J. Dairy Sci. 2019, 102, 6288–6295. [Google Scholar] [CrossRef]
- Yunta, C.; Guasch, I.; Bach, A. Short communication: Lying behavior of lactating dairy cows is influenced by lameness especially around feeding time. J. Dairy Sci. 2012, 95, 6546–6549. [Google Scholar] [CrossRef]
- King, M.T.M.; LeBlanc, S.J.; Pajor, E.A.; DeVries, T.J. Cow-level associations of lameness, behavior, and milk yield of cows milked in automated systems. J. Dairy Sci. 2017, 100, 4818–4828. [Google Scholar] [CrossRef] [PubMed]
- Foditsch, C.; Oikonomou, G.; Machado, V.S.; Bicalho, M.L.; Ganda, E.K.; Lima, S.F.; Rossi, R.; Ribeiro, B.L.; Kussler, A.; Bicalho, R.C. Lameness prevalence and risk factors in large dairy farms in upstate New York—Model development for the prediction of claw horn disruption lesions. PLoS ONE 2016, 11, e0146718. [Google Scholar] [CrossRef] [PubMed]
- Von Keyserlingk, M.A.G.; Barrientos, A.; Ito, K.; Galo, E.; Weary, D.M. Benchmarking cow comfort on North American freestall dairies: Lameness, leg injuries, lying time, facility design, and management for high-producing Holstein dairy cows. J. Dairy Sci. 2012, 95, 7399–7408. [Google Scholar] [CrossRef]
- Bell, M.J.; Wall, E.; Russell, G.; Roberts, D.J.; Simm, G. Risk factors for culling in Holstein-Friesian dairy cows. Vet. Rec. 2010, 167, 238–240. [Google Scholar] [CrossRef]
- Weigele, H.C.; Gygax, L.; Steiner, A.; Wechsler, B.; Burla, J.B. Moderate lameness leads to marked behavioral changes in dairy cows. J. Dairy Sci. 2018, 101, 2370–2382. [Google Scholar] [CrossRef] [PubMed]
- Thorup, V.M.; Nielsen, B.L.; Robert, P.-E.; Giger-Reverdin, S.; Konka, J.; Michie, C.; Friggens, N.C. Lameness affects cow feeding but not rumination behavior as characterized from sensor data. Front. Vet. Sci. 2016, 3, 37. [Google Scholar] [CrossRef]
- Norring, M.; Häggman, J.; Simojoki, H.; Tamminen, P.; Winckler, C.; Pastell, M. Short communication: Lameness impairs feeding behavior of dairy cows. J. Dairy Sci. 2014, 97, 4317–4321. [Google Scholar] [CrossRef]
- Pothmann, H.; Erlen, A.; Pichler, M.; Drillich, M. Relationship and repeatability of body condition scoring and backfat thickness measurement in dairy cows by different investigators. Berlin. Munch. Tierarztl. Wochenschr. 2015, 128, 319–325. [Google Scholar] [CrossRef]
- King, M.T.M.; Sparkman, K.J.; LeBlanc, S.J.; DeVries, T.J. Milk yield relative to supplement intake and rumination time differs by health status for fresh cows milked with automated systems. J. Dairy Sci. 2018, 101, 10168–10176. [Google Scholar] [CrossRef]
- Lasser, J.; Matzhold, C.; Egger-Danner, C.; Fuerst-Waltl, B.; Steininger, F.; Wittek, T.; Klimek, P. Integrating diverse data sources to predict disease risk in dairy cattle—A machine learning approach. J. Anim. Sci. 2021, 99, skab294. [Google Scholar] [CrossRef] [PubMed]
- Chen, T.; Guestrin, C. Xgboost: A scalable tree boosting system. In Proceedings of the 22nd acm sigkdd international conference on knowledge discovery and data mining. 13–17 August 2016; pp. 785–794.
- Werema, C.W.; Yang, D.A.; Laven, L.J.; Mueller, K.R.; Laven, R.A. Evaluating alternatives to locomotion scoring for detecting lameness in pasture-based dairy cattle in New Zealand: In-Parlour scoring. Animals 2022, 12, 703. [Google Scholar] [CrossRef] [PubMed]
- Herzberg, D.; Strobel, P.; Ramirez-Reveco, A.; Werner, M.; Bustamante, H. Chronic inflammatory lameness increases cytokine concentration in the spinal cord of dairy cows. Front. Vet. Sci. 2020, 7, 125. [Google Scholar] [CrossRef]
- Jewell, M.T.; Cameron, M.; Spears, J.; McKenna, S.L.; Cockram, M.S.; Sanchez, J.; Keefe, G.P. Prevalence of lameness and associated risk factors on dairy farms in the Maritime Provinces of Canada. J. Dairy Sci. 2019, 102, 3392–3405. [Google Scholar] [CrossRef]
- Browne, N.; Hudson, C.D.; Crossley, R.E.; Sugrue, K.; Kennedy, E.; Huxley, J.N.; Conneely, M. Cow-and herd-level risk factors for lameness in partly housed pasture-based dairy cows. J. Dairy Sci. 2022, 105, 1418–1431. [Google Scholar] [CrossRef]
- Browne, N.; Hudson, C.D.; Crossley, R.E.; Sugrue, K.; Kennedy, E.; Huxley, J.N.; Conneely, M. Lameness prevalence and management practices on Irish pasture-based dairy farms. Ir. Vet. J. 2022, 75, 14. [Google Scholar] [CrossRef] [PubMed]
- Matzhold, C.; Lasser, J.; Egger-Danner, C.; Fuerst-Waltl, B.; Wittek, T.; Kofler, J.; Steininger, F.; Klimek, P. A systematic approach to analyse the impact of farm-profiles on bovine health. Sci. Rep. 2021, 11, 21152. [Google Scholar] [CrossRef] [PubMed]

| Parameter | Description |
|---|---|
| Animal data | |
| age | In months between date of birth and scoring date |
| breed | Fleckvieh, Brown Swiss, Holstein Friesian, mixed breed |
| lac_num | Lactation number 1, 2, 3, 4, 5+ |
| DIM | Days in milk |
| calving_age | Age at first calving in months between date of birth and first calving |
| Routinely recorded performance data | |
| milk_herd | Annual herd milk performance of 2020 |
| milk_protein | Protein content in milk |
| milk_protein_prev | Protein content in milk of previous performance testing |
| milk_urea | Urea content in milk |
| milk_urea_prev | Urea content in milk of previous performance testing |
| milk_fat_protein_ratio | Fat–protein ratio in milk |
| milk_fat_protein_ratio_prev | Fat–protein ratio in milk of previous performance testing |
| BCS_diff | Difference in BCS from one scoring day to the previous scoring day |
| CPS | Claw-position score from 1 to 3 |
| AMS data | |
| ams_DMY | Daily milk yield in kg |
| ams_hourly_production | Milk production per hour |
| ams_num_milkings | Number of daily milkings |
| ams_interval_milkings | Time between milkings |
| Sensor data | |
| Rumination | Total daily rumination time, scaled by mean of herd at scoring day |
| Eating | Total daily eating time, scaled by mean of herd at scoring day |
| Rest | Total daily time with low activity, scaled by mean of herd at scoring day |
| Activity_Mid | Total daily time with medium activity, scaled by mean of herd at scoring day |
| Activity_Trend | Calculated daily mean for index Activity_Trend, scaled by mean of herd at scoring day |
| Rumination_daytime | Minutes spent ruminating during daytime, scaled by mean of herd at scoring day |
| Eating_daytime | Minutes spent eating during daytime, scaled by mean of herd at scoring day |
| Rest_daytime | Minutes with low activity during daytime, scaled by mean of herd at scoring day |
| Activity_Mid_daytime | Minutes with medium activity during daytime, scaled by mean of herd at scoring day |
| Activity_Trend_daytime | Mean Activity_Trend index during daytime, scaled by mean of herd at scoring day |
| Rumination_animal_daytime | Minutes spent ruminating during daytime, scaled by mean of individual animal at study period |
| Eating_animal_daytime | Minutes spent eating during daytime, scaled by mean of individual animal at study period |
| Rest_animal_daytime | Minutes with low activity during daytime, scaled by mean of individual animal at study period |
| Activity_Mid_animal_daytime | Minutes with medium activity during daytime, scaled by mean of individual animal at study period |
| Activity_Trend_animal_daytime | Mean Activity_Trend during daytime, scaled by mean of individual animal at study period |
| Risk factors | |
| Results from the farmer’s questionnaire were evaluated and risk factors were added to the analysis. Remaining risk factors that were used in the model are shown in the Supplementary Materials (Table S1, Figure S1). | |
| Model 1 | Model 2 | Model 3 | Model 4 | Model 5 |
|---|---|---|---|---|
| Sensor data | Animal data Milk performance records Farm risk factors AMS data | Animal data Milk performance records Farm risk factors AMS data Sensor data | Animal data Milk performance records Farm risk factors AMS data Sensor data BCS difference | Animal data Milk performance records Farm risk factors AMS data Sensor data CPS |
| Breed | Total Cows | Total Observations | LCS-G 1 (%) | LCS-G 2 (%) | LCS-G 3 (%) |
|---|---|---|---|---|---|
| Fleckvieh | 368 | 5298 | 49.62 | 41.15 | 9.23 |
| Holstein | 86 | 1096 | 69.98 | 27.19 | 2.83 |
| Brown Swiss | 50 | 713 | 71.53 | 23.56 | 4.91 |
| Mixed breed | 90 | 1178 | 61.97 | 34.29 | 3.74 |
| All breeds | 594 | 8285 | 55.93 | 36.84 | 7.23 |
| Lactation Number | Total Cows | Total Observations | LCS-G 1 (%) | LCS-G 2 (%) | LCS-G 3 (%) |
|---|---|---|---|---|---|
| 1 | 298 | 2394 | 70.97 | 25.73 | 3.30 |
| 2 | 289 | 2167 | 60.54 | 33.55 | 5.91 |
| 3 | 185 | 1268 | 48.58 | 42.43 | 8.99 |
| 4 | 122 | 912 | 45.39 | 45.51 | 9.10 |
| 5+ | 124 | 1419 | 34.11 | 52.29 | 13.60 |
| n = 1018 | n = 8160 |
| Farm | Total Cows | Total Observations | LCS-G 1 (%) | LCS-G 2 (%) | LCS-G 3 (%) |
|---|---|---|---|---|---|
| A | 65 | 790 | 71.27 | 23.92 | 4.81 |
| B | 58 | 665 | 72.93 | 24.67 | 2.40 |
| C | 55 | 913 | 51.00 | 35.33 | 13.67 |
| D | 46 | 525 | 34.48 | 60.76 | 4.76 |
| E | 84 | 1391 | 43.78 | 42.27 | 13.95 |
| F | 51 | 735 | 72.79 | 23.81 | 3.40 |
| G | 58 | 727 | 42.64 | 53.65 | 3.71 |
| H | 46 | 599 | 71.12 | 25.21 | 3.67 |
| I | 70 | 958 | 58.87 | 40.29 | 0.84 |
| J | 61 | 982 | 50.31 | 37.47 | 12.22 |
| n = 594 | n = 8285 |
| CPS in Total Numbers | ||||
|---|---|---|---|---|
| LCS-G | 1 | 2 | 3 | n |
| 1 | 451 | 132 | 5 | 588 |
| 2 | 190 | 202 | 17 | 409 |
| 3 | 54 | 116 | 19 | 189 |
| Effects | p | LS Means | SE | p-Values for LCS-G 1 | ||
|---|---|---|---|---|---|---|
| Daily milkings (n) | LCS-G | <0.0001 | ||||
| 1 | 3.24 | ±0.03 | 1 vs. 2 | 0.0291 | ||
| 2 | 3.14 | ±0.03 | 2 vs. 3 | 0.0018 | ||
| 3 | 2.93 | ±0.06 | 1 vs. 3 | <0.0001 | ||
| Farm | <0.0001 | |||||
| Breed | 0.1668 | |||||
| Lactation number | <0.0001 | |||||
| Lactation stage | <0.0001 | |||||
| First calving age | 0.1880 | |||||
| Daily milk yield (kg) | LCS-G | 0.1913 | ||||
| 1 | 26.7 | ±0.27 | 1 vs. 2 | - | ||
| 2 | 26.5 | ±0.31 | 2 vs. 3 | - | ||
| 3 | 25.7 | ±0.57 | 1 vs. 3 | - | ||
| Farm | <0.0001 | |||||
| Breed | <0.0001 | |||||
| Lactation number | <0.0001 | |||||
| Lactation stage | <0.0001 | |||||
| First calving age | 0.0253 | |||||
| Milking interval (minutes) | LCS-G | <0.0001 | ||||
| 1 | 587 | ±4.85 | 1 vs. 2 | 0.0128 | ||
| 2 | 603 | ±5.39 | 2 vs. 3 | 0.0001 | ||
| 3 | 643 | ±9.99 | 1 vs. 3 | <0.0001 | ||
| Farm | <0.0001 | |||||
| Breed | 0.1215 | |||||
| Lactation number | <0.0001 | |||||
| Lactation stage | <0.0001 | |||||
| First calving age | 0.0112 | |||||
| Average milk production per hour (kg) | LCS-G | 0.3300 | ||||
| 1 | 1.23 | ±0.01 | 1 vs. 2 | - | ||
| 2 | 1.23 | ±0.01 | 2 vs. 3 | - | ||
| 3 | 1.20 | ±0.02 | 1 vs. 3 | - | ||
| Farm | <0.0001 | |||||
| Breed | <0.0001 | |||||
| Lactation number | <0.0001 | |||||
| Lactation stage | <0.0001 | |||||
| First calving age | 0.0290 | |||||
| Effects | p | LS Means | SE | p-Values for LCS-G 1 | ||
|---|---|---|---|---|---|---|
| Rumination (min/day) | LCS-G | 0.95674 | ||||
| 1 | 560 | ±2.38 | 1 vs. 2 | - | ||
| 2 | 561 | ±2.66 | 2 vs. 3 | - | ||
| 3 | 561 | ±4.92 | 1 vs. 3 | - | ||
| Farm | <0.0001 | |||||
| Breed | <0.0001 | |||||
| Lactation number | <0.0001 | |||||
| Lactation stage | 0.0097 | |||||
| First calving age | <0.0001 | |||||
| Eating (min/day) | LCS-G | <0.0001 | ||||
| 1 | 281 | ±2.66 | 1 vs. 2 | 0.0001 | ||
| 2 | 268 | ±2.96 | 2 vs. 3 | 0.0001 | ||
| 3 | 245 | ±5.49 | 1 vs. 3 | <0.0001 | ||
| Farm | <0.0001 | |||||
| Breed | <0.0001 | |||||
| Lactation number | <0.0001 | |||||
| Lactation stage | 0.1560 | |||||
| First calving age | <0.0001 | |||||
| Rest (min/day) | LCS-G | <0.0001 | ||||
| 1 | 387 | ±3.51 | 1 vs. 2 | <0.0001 | ||
| 2 | 410 | ±3.91 | 2 vs. 3 | <0.0001 | ||
| 3 | 442 | ±7.25 | 1 vs. 3 | <0.0001 | ||
| Farm | <0.0001 | |||||
| Breed | <0.0001 | |||||
| Lactation number | <0.0001 | |||||
| Lactation stage | <0.0001 | |||||
| First calving age | 0.0473 | |||||
| Activity_Mid (min/day) | LCS-G | <0.0001 | ||||
| 1 | 148 | ±2.34 | 1 vs. 2 | 0.0062 | ||
| 2 | 140 | ±2.61 | 2 vs. 3 | 0.0426 | ||
| 3 | 128 | ±4.83 | 1 vs. 3 | 0.0001 | ||
| Farm | <0.0001 | |||||
| Breed | 0.0252 | |||||
| Lactation number | <0.0001 | |||||
| Lactation stage | 0.0081 | |||||
| First calving age | 0.0016 | |||||
| Activity_Trend (min/day) | LCS-G | <0.0001 | ||||
| 1 | 305 | ±1.74 | 1 vs. 2 | <0.0001 | ||
| 2 | 291 | ±1.94 | 2 vs. 3 | 0.0002 | ||
| 3 | 277 | ±3.59 | 1 vs. 3 | <0.0001 | ||
| Farm | <0.0001 | |||||
| Breed | <0.0001 | |||||
| Lactation number | <0.0001 | |||||
| Lactation stage | <0.0001 | |||||
| First calving age | 0.0314 | |||||
| Model 1 | Model 2 | Model 3 | Model 4 | Model 5 | |
|---|---|---|---|---|---|
| Sensitivity | 0.610 (±0.009) | 0.657 (±0.022) | 0.695 (±0.030) | 0.738 (±0.014) | 0.725 (±0.090) |
| Specificity | 0.640 (±0.005) | 0.605 (±0.020) | 0.668 (±0.041) | 0.701 (±0.031) | 0.775 (±0.025) |
| Accuracy | 0.623 (±0.006) | 0.629 (±0.020) | 0.680 (±0.014) | 0.719 (±0.010) | 0.753 (±0.046) |
| <30% | 30–50% | >50% | |
|---|---|---|---|
| Sensitivity | 0.743 (±0.021) | 0.598 (±0.055) | 0.454 (±0.034) |
| Specificity | 0.486 (±0.088) | 0.600 (±0.033) | 0.685 (±0.117) |
| Accuracy | 0.651 (±0.061) | 0.599 (±0.022) | 0.553 (±0.042) |
| <30% | 30–50% | >50% | |
|---|---|---|---|
| Sensitivity | 0.721 (±0.023) | 0.585 (±0.048) | 0.502 (±0.108) |
| Specificity | 0.564 (±0.092) | 0.603 (±0.047) | 0.645 (±0.097) |
| Accuracy | 0.687 (±0.020) | 0.591 (±0.015) | 0.574 (±0.064) |
Disclaimer/Publisher’s Note: The statements, opinions and data contained in all publications are solely those of the individual author(s) and contributor(s) and not of MDPI and/or the editor(s). MDPI and/or the editor(s) disclaim responsibility for any injury to people or property resulting from any ideas, methods, instructions or products referred to in the content. |
© 2023 by the authors. Licensee MDPI, Basel, Switzerland. This article is an open access article distributed under the terms and conditions of the Creative Commons Attribution (CC BY) license (https://creativecommons.org/licenses/by/4.0/).
Share and Cite
Lemmens, L.; Schodl, K.; Fuerst-Waltl, B.; Schwarzenbacher, H.; Egger-Danner, C.; Linke, K.; Suntinger, M.; Phelan, M.; Mayerhofer, M.; Steininger, F.; et al. The Combined Use of Automated Milking System and Sensor Data to Improve Detection of Mild Lameness in Dairy Cattle. Animals 2023, 13, 1180. https://doi.org/10.3390/ani13071180
Lemmens L, Schodl K, Fuerst-Waltl B, Schwarzenbacher H, Egger-Danner C, Linke K, Suntinger M, Phelan M, Mayerhofer M, Steininger F, et al. The Combined Use of Automated Milking System and Sensor Data to Improve Detection of Mild Lameness in Dairy Cattle. Animals. 2023; 13(7):1180. https://doi.org/10.3390/ani13071180
Chicago/Turabian StyleLemmens, Lena, Katharina Schodl, Birgit Fuerst-Waltl, Hermann Schwarzenbacher, Christa Egger-Danner, Kristina Linke, Marlene Suntinger, Mary Phelan, Martin Mayerhofer, Franz Steininger, and et al. 2023. "The Combined Use of Automated Milking System and Sensor Data to Improve Detection of Mild Lameness in Dairy Cattle" Animals 13, no. 7: 1180. https://doi.org/10.3390/ani13071180
APA StyleLemmens, L., Schodl, K., Fuerst-Waltl, B., Schwarzenbacher, H., Egger-Danner, C., Linke, K., Suntinger, M., Phelan, M., Mayerhofer, M., Steininger, F., Papst, F., Maurer, L., & Kofler, J. (2023). The Combined Use of Automated Milking System and Sensor Data to Improve Detection of Mild Lameness in Dairy Cattle. Animals, 13(7), 1180. https://doi.org/10.3390/ani13071180

