Longitudinal Training and Workload Assessment in Young Friesian Stallions in Relation to Fitness: Part 1
Abstract
Simple Summary
Abstract
1. Introduction
2. Materials and Methods
2.1. Study Design
2.1.1. Preparation Period and Selection Days
2.1.2. 70-Day Test
2.1.3. Horses
2.2. Equipment
2.3. Data Collection
2.3.1. Preparation Period
2.3.2. 70-Day Test
2.3.3. Standardized Exercise Tests
2.4. Data Analysis
2.4.1. Number of Training Sessions
2.4.2. Selection Days, Workload and SET Data
3. Results
3.1. Selection Days
3.2. The 70-Day Test
3.2.1. External Workload
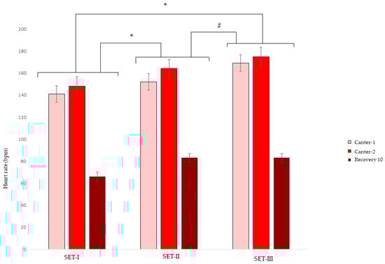
3.2.2. Standardised Exercise Tests (SETs)
4. Discussion
5. Conclusions
Author Contributions
Funding
Institutional Review Board Statement
Informed Consent Statement
Data Availability Statement
Acknowledgments
Conflicts of Interest
References
- Hinchcliff, K.W. The horse as an athlete. In Equine Sports Medicine & Surgery, 2nd ed.; Hinchcliff, K.W., Kaneps, A.J., Geor, R.J., Eds.; Elsevier: London, UK, 2014; pp. 3–9. [Google Scholar]
- Rivero, J.L.L.; van Breda, E.; Rogers, C.W.; Lindner, A.; Sloet van Oldruitenborgh-Oosterbaan, M.M. Unexplained underperformance syndrome in sport horses: Classification, potential causes and recognition. Equine Vet. J. 2008, 40, 611–618. [Google Scholar] [CrossRef]
- Soligard, T.; Schwellnus, M.; Alonso, J.-M.; Bahr, R.; Clarsen, B.; Dijkstra, H.P.; Gabbett, T.; Gleeson, M.; Hägglund, M.; Hutchinson, M.R.; et al. Consensus statement: How much is too much? (Part 1) International Olympic Committee consensus statement on load in sport and risk of injury. Br. J. Sports Med. 2016, 50, 1030–1041. [Google Scholar] [CrossRef] [PubMed]
- De Graaf-Roelfsema, E.; Keizer, H.A.; van Breda, E.; Wijnberg, I.D.; van der Kolk, J.H. Hormonal responses to acute exercise, training and overtraining. A review with emphasis on the horse. Vet. Q. 2007, 29, 82–101. [Google Scholar] [CrossRef] [PubMed]
- Meeusen, R.; Duclos, M.; Foster, C.; Fry, A.; Gleeson, M.; Nieman, D.; Raglin, J.; Rietjes, G.; Steinacker, J.; Urhausen, A. Prevention, Diagnosis and Treatment of the Overtraining Syndrome: Joint consensus statement of the European college of sport science and the American college of Sports Medicine. Med. Sci. Sports Exerc. 2013, 45, 186–205. [Google Scholar] [CrossRef] [PubMed]
- Carrard, J.; Rigort, A.; Appenzeller-Herzog, C.; Colledge, C.; Königstein, K.; Hinrichs, T.; Schmidt-Trucksäss, A. Diagnosing Overtraining Syndrome: A scoping review. Sports Health 2022, 14, 665–673. [Google Scholar] [CrossRef]
- Bourdon, P.C.; Cardinale, M.; Murray, A.; Gastin, P.; Kellmann, M.; Varley, M.C.; Gabbett, T.J.; Coutts, A.J.; Burgess, D.J.; Gregson, W.; et al. Monitoring Athlete Training Loads: Consensus Statement. Int. J. Sports Physiol. Perform. 2017, 12, S2-161–S2-170. [Google Scholar] [CrossRef]
- Schrurs, C.; Dubois, G.; Patarin, F.; Cobb, M.; Gradner, D.S.; van Erck-Westergren, E. Cardiovascular and locomotory parameters during training in Thoroughbreds: A multinational study. Comp. Exerc. Physiol. 2022, 18, 185–199. [Google Scholar] [CrossRef]
- Gabett, T.J. The training-injury prevention paradox: Should athletes be training smarter and harder? Br. J. Sports Med. 2016, 50, 273–280. [Google Scholar] [CrossRef]
- Maupin, D.; Schram, B.; Canetti, E.; Orr, R. The relationship between Acute:Chronic Workload ratios and Injury Risk in Sports: A systematic Review. Open Access J. Sports Med. 2020, 11, 51–75. [Google Scholar] [CrossRef]
- Griffin, A.; Kenny, I.C.; Comyns, T.M.; Lyons, M. The association between the Acute:Chronic Workload Ratio and injury and its application in team sports: A systematic review. Sports Med. 2020, 50, 561–580. [Google Scholar] [CrossRef]
- Shaw, J.W.; Springham, M.; Brown, D.; Mattiussi, A.M.; Pedlar, C.R.; Tallent, J. The validity of the session rating of perceived exertion method for measuring internal load in professional ballet dancers. Front. Physiol. 2020, 11, 480. [Google Scholar] [CrossRef] [PubMed]
- Tyler-McGowan, C.M.; Golland, L.C.; Evans, D.L.; Hodgson, D.R.; Rose, R.J. Haematological and biochemical responses to training and overtraining. Equine Vet. J. 2010, 31, 621–625. [Google Scholar] [CrossRef] [PubMed]
- Lindner, A.; Lopéz, R.A.; Durante, E.; Ferreira, V.; Boffi, F.M. Conditioning horses at V10 3 times per week does not enhance V4. J. Equine Vet. Sci. 2009, 29, 828–832. [Google Scholar] [CrossRef]
- Ohmura, H.; Matsui, A.; Hada, T.; Jones, J.H. Physiological responses of young thoroughbred horses to intermittent high-intensity treadmill training. Acta. Vet. Scand. 2013, 55, 59. [Google Scholar] [CrossRef]
- Lindner, A.; Wegener, J.; Hartmann, U. Description of the training and the associated changes in some biophysical variables of Standardbred racehorses during a racing season. Pferdeheilkunde 2019, 35, 498–505. [Google Scholar] [CrossRef]
- Fenner, K.; Hyde, M.; Crean, A.; McGreevy, P. Identifying sources of potential bias when using online survey data to explore horse training, management, and behaviour: A systematic literature review. Vet. Sci. 2020, 7, 140. [Google Scholar] [CrossRef]
- Hockenhull, J.; Creighton, E. The use of equipment and training practices and the prevalence of owner-reported ridden behaviour problems in UK leisure horses. Equine Vet. J. 2013, 45, 15–19. [Google Scholar] [CrossRef]
- Lönnell, A.C.; Bröjer, J.; Nostell, K.; Hernlund, E.; Roepstorff, L.; Tranquille, C.A.; Murray, R.C.; Oomen, A.; van Weeren, R.; Bitschnau, C.; et al. Variation in training regimens in professional showjumping yards. Equine Vet. J. 2014, 46, 233–238. [Google Scholar] [CrossRef]
- Legg, K.; Gee, E.; Bolwell, C.; Bridges, J.; Rogers, C.W. A Cross-Sectional Survey of the training and management of a cohort of 2-year-old standardbred racehorses in New Zealand. J. Equine Vet. Sci. 2020, 87, 102936. [Google Scholar] [CrossRef]
- Morrice-West, A.V.; Hitchens, P.L.; Walmsley, E.A.; Stevenson, M.A.; Whitton, R.C. Training practices, speed and distances undertaken by thoroughbred racehorses in Victoria, Australia. Equine Vet. J. 2020, 52, 273–280. [Google Scholar] [CrossRef]
- Morrison, R.; Sutton, D.G.M.; Ramsoy, C.; Hunter-Blair, N.; Carnwath, J.; Horsfield, E.; Yam, P.S. Validity and practical utility of accelerometry for the measurement of in-hand physical activity in horses. BMC Vet. Res. 2015, 11, 233. [Google Scholar] [CrossRef]
- Casella, E.; Khamesi, A.R.; Silvestri, S. A framework for the recognition of horse gaits through wearable devices. Pervasive Mob. Comput. 2020, 67, 101213. [Google Scholar] [CrossRef]
- Munsters, C.C.B.M.; Kingma, B.R.M.; van den Broek, J.; Sloet van Oldruitenborgh-Oosterbaan, M.M. A prospective cohort study on the acute:chronic workload ratio in relation to injuries in high level eventing horses: A comprehensive 3-year study. Prev. Vet. Med. 2020, 179, 105010. [Google Scholar] [CrossRef] [PubMed]
- Eerdekens, A.; Deruyk, M.; Fontaine, J.; Damiaans, B.; Marten, L.; De Poorter, E.; Govaere, J.; Plets, D.; Joseph, W. Horse Jumping and Dressage Training activity detection using Accelerometer data. Animals 2021, 11, 2904. [Google Scholar] [CrossRef] [PubMed]
- Navas de Solis, C.; Gabbett, T.; King, M.R.; Keene, R.; McKenzie, E. Science in brief: The Dorothy Havemeyer International Workshop on poor performance in horses: Recent advances in technology to improve monitoring and quantification. Equine Vet. J. 2022, 54, 844–846. [Google Scholar] [CrossRef] [PubMed]
- Ter Woort, F.; Dubois, G.; Tansley, G.; Didier, M.; Verdegaal, E.; Franklin, S.; van Erck-Westergren, E. Validation of an equine fitness tracker: ECG quality and arrhythmia detection. Equine Vet. J. 2022, 55, 336–343. [Google Scholar] [CrossRef] [PubMed]
- Rogers, C.W.; Firth, E.C. Musculoskeletal responses of 2-year-old Thoroughbred horses to early training. 2. Measurement error and effect of training stage on the relationship between objective and subjective criteria of workload. N. Z. Vet. J. 2004, 52, 272–279. [Google Scholar] [CrossRef] [PubMed]
- Crawford, K.L.; Ahern, B.J.; Perkins, N.R.; Phillips, C.J.C.; Finanne, A. The effect of combined training and racing High-Speed Exercise history on musculoskeletal injuries in Thoroughbred Racehorses: A systematic review and meta-analysis of the current literature. Animals 2020, 10, 2091. [Google Scholar] [CrossRef]
- Perkins, N.R.; Reid, S.W.J.; Morris, R.S. Risk factors for musculoskeletal injuries of the lower limbs in Thoroughbred racehorses in New Zealand. N. Z. Vet. J. 2005, 53, 171–183. [Google Scholar] [CrossRef]
- Harris, P.; Marlin, D.J.; Davidson, H.; Rodgerson, J.; Gregory, A.; Harrison, D. Practical assessment of heart rate response to exercise under field conditions. Comp. Exerc. Physiol. 2007, 4, 15–21. [Google Scholar] [CrossRef]
- Munsters, C.C.B.M.; Iwaarden, A.; van Weeren, R.; Sloet van Oldruitenborgh-Oosterbaan, M.M. Exercise testing in Warmblood sport horses under field conditions. Vet. J. 2014, 202, 11–19. [Google Scholar] [CrossRef]
- Dekker, H.; Marlin, D.; Alexander, L.; Bishop, R.; Harris, P. A pilot study investigating the relationship between perceived and actual workload and estimated energy intake in riding centre horses. Comp. Exerc. Physiol 2007, 4, 7–14. [Google Scholar] [CrossRef]
- Munsters, C.C.B.M.; van den Broek, J.; van Weeren, R.; Sloet van Oldruitenborgh-Oosterbaan, M.M. A prospective study on fitness, workload and reasons for premature training ends and temporary training breaks in two groups of riding horses. Prev. Vet. Med. 2013, 108, 199–208. [Google Scholar] [CrossRef]
- Couroucé, A. Field Exercise Testing for Assessing Fitness in French Standardbred Trotters. Vet. J. 1999, 157, 112–122. [Google Scholar] [CrossRef]
- Munsters, C.C.B.M.; van den Broek, J.; Welling, E.; van Weeren, R.; Sloet van Oldruitenborgh-Oosterbaan, M.M. A prospective study on a cohort of horses and ponies selected for participation in the European Eventing Championship: Reason for withdrawal and predictive value of fitness tests. BMC Vet. Res. 2013, 9, 182. [Google Scholar] [CrossRef]
- Allen, K.K.; van Erck-Westergren, E.; Franklin, S.H. Exercise testing in the equine athlete. Equine Vet. Educ. 2016, 28, 89–98. [Google Scholar] [CrossRef]
- Van Erck-Westgren. Value of Field trails to investigate poor performance in sport horses. Equine Vet. J. 2014, 46, 2–55. [Google Scholar] [CrossRef]
- Sloet van Oldruitenborgh-Oosterbaan, M.M.; Clayton, H.M. Advantages and disadvantages of track vs. treadmill tests. Equine Vet. J. 1999, 30, 645–647. [Google Scholar] [CrossRef]
- Léguillette, R.; Bond, S.L.; Lawlor, K.; de Haan, T.; Weber, L.M. Comparison of physiological demands in Warmblood show jumping horses over a standardized 1.10 m jumping course versus a standardized exercise test on a track. BMC Vet. Res. 2020, 16, 182. [Google Scholar] [CrossRef]
- Kirsch, K.; Fercher, C.; Horstmann, S.; von Reitzenstein, C.; Augustin, J.; Lagershausen, H. Monitoring performance in show jumping horses: Validity of non-specific and discipline-specific exercise tests for a practicable assessment of aerobic performance. Front. Physiol. 2022, 12, 2541. [Google Scholar] [CrossRef]
- Schurink, A.; Shrestha, M.; Eriksson, S.; Bosse, M.; Bovenhuis, H.; Back, W.; Johansson, A.M.; Ducro, B.J. The genomic makeup of nine horse populations sampled in the Netherlands. Genes 2019, 10, 480. [Google Scholar] [CrossRef]
- Sevinga, M.; Barkema, H.W.; Stryhn, H.; Hesselink, J.W. Retained placenta in Friesian mares: Incidence, and potential risk fac.tors with special emphasis on gestational length. Theriogenology 2004, 61, 851–859. [Google Scholar] [CrossRef]
- Boerma, S.; Back, W.; Sloet van Oldruitenborgh-Oosterbaan. The Friesian horse breed: A clinical challenge to the equine veterinarian? Equine Vet. Educ. 2012, 24, 66–71. [Google Scholar] [CrossRef]
- Ploeg, M.; Gröne, A.; Saey, V.; de Bruijn, C.M.; van Weeren, R.; Scheideman, W.; Picavet, T.; Ducro, B.J.; Wijnberg, I.; Delesalle, C. Esophageal Dysfunction in Friesian Horses: Morphological Features. Vet. Path. 2015, 52, 1142–1147. [Google Scholar] [CrossRef]
- Hisey, E.A.; Hermans, H.; Lounsberry, Z.T.; Avila, F.; Grahn, R.A.; Knickelbein, K.E.; Duward-Akhurst, S.A.; McCue, M.E.; Kalbfleisch, T.S.; Lassaline, M.E.; et al. Whole genome sequencing identified a 16 kilobase deletion on ECA13 associated with distichiasis in Friesian horses. BMC Genom. 2020, 21, 843. [Google Scholar] [CrossRef]
- Sloet van Oldruitenborgh-Oosterbaan, M.M.; Wensing, T.H.; Barneveld, A.; Breukink, H.J. Value of standardized exercise tests and blood biochemistry in the selection and training of breeding stallions. Vet. Rec. 1991, 129, 356–359. [Google Scholar] [CrossRef]
- Munsters, C.C.B.M.; van den Broek, J.; van Weeren, R.; Sloet van Oldruitenborgh-Oosterbaan, M.M. Young Friesian horses show familiar aggregation in fitness response to a 7-week performance test. Vet. J. 2013, 198, 193–199. [Google Scholar] [CrossRef]
- De Bruijn, C.M.; Houterman, W.; Ploeg, M.; Ducro, B.; Boshuizen, B.; Goethals, K.; Verdegaal, E.L.; Delesalle, C. Monitoring training response in young Friesian dressage horses using two different standardized exercise tests (SETs). BMC Vet. Res. 2017, 13, 49. [Google Scholar] [CrossRef]
- De Meeûs d’Argenteuil, C.; Boshuizen, B.; Oosterlinck, M.; van de Winkel, D.; De Spiegelaere, W.; de Bruijn, C.M.; Goethals, K.; Vanderperren, K.; Delesalle, C.J.G. Flexibility of equine bioenergetics and muscle plasticity in response to different types of training: An integrative approach, questioning existing paradigms. PLoS ONE 2021, 16, e0249922. [Google Scholar] [CrossRef]
- KFPS Royal Friesian. Available online: https://www.kfps.nl (accessed on 8 December 2022).
- Almkvist, A.; Roepstorff, L.; Ringmark, S. Sensor based training registration in riding horses—A pilot study. In Proceedings of the ICEEP, Lorne, Australia, 12–16 November 2018. [Google Scholar]
- Darbandi, H.; Serra Bragança, F.; van der Zwaag, B.J.; Havinga, P. Accurate Horse Gait Event Estimation Using an Inertial Sensor Mounted on Different Body Locations. In Proceedings of the International Conference on Smart Computing, Helsinki, Finland, 20–24 June 2022. [Google Scholar]
- Rivero, J.L.L. A Scientific Background for Skeletal Muscle Conditioning in Equine Practice. J. Vet. Med. 2007, 54, 321–332. [Google Scholar] [CrossRef]
- McGowan, C.M.; Golland, L.C.; Evans, D.L.; Hodgson, D.R.; Rose, R.J. Effects of prolonged training, overtraining and detraining on skeletal muscle metabolites and enzymes. Equine Vet. J. 2002, 34, 257–263. [Google Scholar] [CrossRef] [PubMed]
- De Graaf-Roelfsema, E.; Veldhuis, P.P.; Keizer, H.A.; van Ginneken, M.E.; van Dam, K.G.; Johnson, M.L.; Barneveld, A.; Menheere, P.P.C.A.; van Breda, E.; Wijnberg, I.D.; et al. Overtrained horses alter their resting pulsatile growth hormone secretion. Am. J. Physiol. Regul. Comp. Physiol. 2009, 297, R403–R411. [Google Scholar] [CrossRef] [PubMed]
- Parkin, T.D.H. Epidemiology of Racetrack Injuries in Racehorses. Vet. Clin. N. Am. Equine Pract. 2008, 24, 1–19. [Google Scholar] [CrossRef] [PubMed]
- Murray, R.C.; Walters, J.M.; Snart, H.; Dyson, S.J.; Parkin, T.D.H. Identification of risk factors for lameness in dressage horses. Vet. J. 2010, 184, 27–36. [Google Scholar] [CrossRef]
- Eggenvall, A.; Tranquille, C.A.; Lönnell, A.C.; Bitschnau, C.; Oomen, A.; Hernlund, E.; Montavon, S.; Franko, M.A.; Murray, R.C.; Weishaupt, M.A.; et al. Days-lost to training and competition in relation to workload in 263 elite showjumping horses in four European countries. Prev. Vet. Med. 2013, 112, 387–400. [Google Scholar] [CrossRef]
- Physick-Sheard, P.; Avison, A.; Sears, W. Factors Associated with Fatality in Ontario Thoroughbred Racehorses: 2003–2015. Animals 2021, 11, 2950. [Google Scholar] [CrossRef]
- Crawford, K.L.; Finnane, A.; Phillips, C.J.C.; Greer, R.M.; Woldeyohannes, S.M.; Perkins, N.R.; Kidd, L.J.; Ahern, B.J. The risk factors for musculoskeletal injuries in thoroughbred racehorses in Queensland, Australia: How these vary for two-year-old and older horses and with type of injury. Animals 2021, 11, 270. [Google Scholar] [CrossRef]
- Munsters, C.M.; Kingma, B.; Linssen, L.; van Baardewijk, J.U.; van den Broek, J.; van Kampen, A.; Sloet van Oldruitenborgh-Oosterbaan, M.; Catoire, M. Relationship between workload and injury risk in Dutch mounted-police horses. In Proceedings of the ICEEP, Uppsala, Sweden, 26 June–22 July 2022. [Google Scholar]
- Crawford, K.L.; Finnane, A.; Greer, R.M.; Barnes, T.S.; Phillips, C.J.C.; Woldeyohannes, S.M.; Bishop, E.L.; Perkins, N.R.; Ahern, B.J. Survival analysis of training methodologies and other risk factors for musculoskeletal injury in 2-year-old thoroughbred racehorses in Queensland, Australia. Front. Vet. Sci 2021, 8, 698298. [Google Scholar] [CrossRef]
- Lindner, A.E. Maximal lactate steady state during exercise in blood of horses. J. Anim. Sci 2010, 88, 2038–2044. [Google Scholar] [CrossRef]
- De Maré, L.; Boshuizen, B.; Vidal Moreno de Vega, C.; de Meeûs, C.; Plancke, L.; Gansemans, Y.; van Nieuwerburgh, F.; Deforce, D.; de Oliveira, J.E.; Hosotani, G.; et al. Profiling the Aerobic Window of Horses in Response to Training by Means of a Modified Lactate Minimum Speed Test: Flatten the Curve. Front. Physiol. 2022, 13, 792052. [Google Scholar] [CrossRef]
- Soares, O.A.B.; Ferraz, G.C.; Martins, C.B.; Dias, D.P.M.; Lacerda-Neto, J.C.; Queiroz-Neto, A. Comparison of maximal lactate steady state with V2, V4, individual anaerobic threshold and lactate minimum speed in horses. Arq. Bras. Med. Vet. Zootec. 2014, 66, 39–46. [Google Scholar] [CrossRef]
- Miranda, M.C.P.C.; Queiroz-Neto, A.; Silva-Júnior, J.R.; Pereira, M.C.; Soares, O.A.B.; Borghi, R.T.; Ferraz, G.C. Comparison of the lactate minimum speed and the maximal lactate steady state to determine aerobic capacity in purebred Arabian horses. N. Z. Vet. J. 2014, 62, 15–20. [Google Scholar] [CrossRef] [PubMed]



| Time Table (Minutes) | Exercise | Plasma Lactate Sampling | Speed |
|---|---|---|---|
| SET | Indoor Arena under saddle | ||
| 00:00–01.00 | Trot | ||
| 01:00–05:00 | Walk | ~2 m/s | |
| 05:00–07:00 | Left trot | ~3.5 m/s | |
| 07:00–09:00 | Right trot | ~3.5 m/s | |
| 09:00–10:00 | LA | ||
| 10:00–12:00 | Canter-1 | ~5.0 m/s | |
| 12:00–13:00 | LA | ||
| 13:00–15:00 | Canter-2 | ~5.0 m/s | |
| 15:00–16:00 | LA | ||
| 16:00–26:00 | Walk | Recovery ~2 m/s | |
| 26:00–27:00 | LA |
| Stallions Not Accepted in 70-Day Test | Stallions Accepted in 70-Day Test | |||
|---|---|---|---|---|
| Selection Day-A (n = 25) | Selection Day-B (n = 21) | Selection Day-A (n = 11) | Selection Day-B (n = 11) | |
| Duration total (min) | 31 ± 9 | 29 ± 5 | 29 ± 6 | 23 ± 6 |
| Duration warm-up (min) | 16 ± 7 | 13 ± 5 | 15 ± 4 | 10 ± 6 |
| Duration test (min) | 11 ± 1 | 11 ± 1 | 10 ± 1 | 10 ± 1 |
| Mean HR total (bpm) | 99 ± 8 | 100 ± 9 | 106 ± 8 | 103 ± 10 |
| Mean HR test (bpm) | 117 ± 9 | 116 ± 11 | 122 ± 10 | 116 ± 7 |
| LA after test (mmol/L) | 1.8 ± 0.6 | 1.8 ± 0.8 | 2.0 ± 0.8 | 1.8 ± 0.4 |
| LA recovery (mmol/L) | 1.6 ± 0.3 | 1.8 ± 0.4 | 1.6 ± 0.4 | 1.8 ± 0.2 |
| Horses LA > 2.0 (n) | 11 | 11 | 3 | 4 |
| Preparation Period | 70-Day Test | ||
|---|---|---|---|
| Period between SET-I and II | Period between SET-II and III | ||
| Number of training sessions per week | |||
| Total | 4.5 ± 0.9 | 4.7 ± 0.7 | 4.7 ± 1.0 |
| Dressage | 3.1 ± 0.7 | 3.5 ± 0.5 | 2.2 ± 1.8 |
| Lunging | 1.3 ± 0.4 | 0.1 ± 0 | 0.3 ± 0.6 |
| Driving | 0.5 ± 0.11 | 0.7 ± 0 | 2.0 ± 0.5 |
| Duration (min/week) | |||
| Total | 122 ± 25 | 144 ± 21 | 131 ± 39 |
| Walk | NA | 94 ± 22 | 82 ± 28 |
| Trot | NA | 37 ± 11 | 41 ± 10 |
| Canter | NA | 10 ± 3 | 8 ± 6 |
Disclaimer/Publisher’s Note: The statements, opinions and data contained in all publications are solely those of the individual author(s) and contributor(s) and not of MDPI and/or the editor(s). MDPI and/or the editor(s) disclaim responsibility for any injury to people or property resulting from any ideas, methods, instructions or products referred to in the content. |
© 2023 by the authors. Licensee MDPI, Basel, Switzerland. This article is an open access article distributed under the terms and conditions of the Creative Commons Attribution (CC BY) license (https://creativecommons.org/licenses/by/4.0/).
Share and Cite
Siegers, E.; van Wijk, E.; van den Broek, J.; Sloet van Oldruitenborgh-Oosterbaan, M.; Munsters, C. Longitudinal Training and Workload Assessment in Young Friesian Stallions in Relation to Fitness: Part 1. Animals 2023, 13, 689. https://doi.org/10.3390/ani13040689
Siegers E, van Wijk E, van den Broek J, Sloet van Oldruitenborgh-Oosterbaan M, Munsters C. Longitudinal Training and Workload Assessment in Young Friesian Stallions in Relation to Fitness: Part 1. Animals. 2023; 13(4):689. https://doi.org/10.3390/ani13040689
Chicago/Turabian StyleSiegers, Esther, Emma van Wijk, Jan van den Broek, Marianne Sloet van Oldruitenborgh-Oosterbaan, and Carolien Munsters. 2023. "Longitudinal Training and Workload Assessment in Young Friesian Stallions in Relation to Fitness: Part 1" Animals 13, no. 4: 689. https://doi.org/10.3390/ani13040689
APA StyleSiegers, E., van Wijk, E., van den Broek, J., Sloet van Oldruitenborgh-Oosterbaan, M., & Munsters, C. (2023). Longitudinal Training and Workload Assessment in Young Friesian Stallions in Relation to Fitness: Part 1. Animals, 13(4), 689. https://doi.org/10.3390/ani13040689

