In Vitro Evaluations and Comparison of the Efficacy of Two Commercial Products Containing Condensed Tannins and of Saifoin (Onobrychis viciifolia Scop.) Hay against Gastrointestinal Nematodes of Goats
Abstract
Simple Summary
Abstract
1. Introduction
2. Materials and Methods
2.1. Plant and Products Collection
2.2. Sample Preparation and Chemical Profiling
HPLC—High-Resolution Mass-Spectrometric Profiling
2.3. Recovery of GIN Eggs and Larvae for In Vitro Anthelmintic Assays
2.3.1. Egg Hatch Test (EHT)
2.3.2. Larval Migration Inhibition Test (LMIT)
2.4. Data Analysis
3. Results
4. Discussion
5. Conclusions
Supplementary Materials
Author Contributions
Funding
Institutional Review Board Statement
Informed Consent Statement
Data Availability Statement
Conflicts of Interest
References
- Di Cerbo, A.R.; Manfredi, M.T.; Zanzani, S.; Stradiotto, K. Gastrointestinal infection in goat farms in Lombardy (Northern Italy): Analysis on community and spatial distribution of parasites. Small Rumin. Res. 2010, 88, 102–112. [Google Scholar] [CrossRef]
- Alberti, E.; Zanzani, S.; Ferrari, N.; Bruni, G.; Manfredi, M. Effects of gastrointestinal nematodes on milk productivity in three dairy goat breeds. Small Rumin. Res. 2012, 106, S12–S17. [Google Scholar] [CrossRef]
- Vineer, H.R.; Morgan, E.R.; Hertzberg, H.; Bartley, D.J.; Bosco, A.; Charlier, J.; Chartier, C.; Claerebout, E.; De Waal, T.; Hendrickx, G.; et al. Increasing importance of anthelmintic resistance in European livestock: Creation and meta-analysis of an open database. Parasite 2020, 27, 69. [Google Scholar] [CrossRef]
- Zanzani, S.A.; Gazzonis, A.L.; Di Cerbo, A.; Varady, M.; Manfredi, M.T. Gastrointestinal nematodes of dairy goats, anthelmintic resistance and practices of parasite control in Northern Italy. BMC Vet. Res. 2014, 10, 114. [Google Scholar] [CrossRef] [PubMed]
- Bosco, A.; Kießler, J.; Amadesi, A.; Varady, M.; Hinney, B.; Ianniello, D.; Maurelli, M.P.; Cringoli, G.; Rinaldi, L. The threat of reduced efficacy of anthelmintics against gastrointestinal nematodes in sheep from an area considered anthelmintic resistance-free. Parasites Vectors 2020, 13, 1–12. [Google Scholar] [CrossRef]
- Hoste, H.; Jackson, F.; Athanasiadou, S.; Thamsborg, S.M.; Hoskin, S.O. The effects of tannin-rich plants on parasitic nematodes in ruminants. Trends Parasitol. 2006, 22, 253–261. [Google Scholar] [CrossRef]
- Athanasiadou, S.; Kyriazakis, I.; Jackson, F.; Coop, R. Direct anthelmintic effects of condensed tannins towards different gastrointestinal nematodes of sheep: In vitro and in vivo studies. Vet. Parasitol. 2001, 99, 205–219. [Google Scholar] [CrossRef] [PubMed]
- Kommuru, D.; Barker, T.; Desai, S.; Burke, J.; Ramsay, A.; Mueller-Harvey, I.; Miller, J.; Mosjidis, J.; Kamisetti, N.; Terrill, T. Use of pelleted sericea lespedeza (Lespedeza cuneata) for natural control of coccidia and gastrointestinal nematodes in weaned goats. Vet. Parasitol. 2014, 204, 191–198. [Google Scholar] [CrossRef]
- Saratsis, A.; Regos, I.; Tzanidakis, N.; Voutzourakis, N.; Stefanakis, A.; Treuter, D.; Joachim, A.; Sotiraki, S. In vivo and in vitro efficacy of sainfoin (Onobrychis viciifolia) against Eimeria spp in lambs. Vet. Parasitol. 2012, 188, 1–9. [Google Scholar] [CrossRef]
- Terrill, T.; Mosjidis, J.; Moore, D.; Shaik, S.; Miller, J.; Burke, J.; Muir, J.; Wolfe, R. Effect of pelleting on efficacy of sericea lespedeza hay as a natural dewormer in goats. Vet. Parasitol. 2007, 146, 117–122. [Google Scholar] [CrossRef]
- Niezen, J.H.; Waghorn, T.S.; Charleston, W.A.G.; Waghorn, G.C. Growth and gastrointestinal nematode parasitism in lambs grazing either lucerne (Medicago sativa) or sulla (Hedysarum coronarium) which contains condensed tannins. J. Agric. Sci. 1995, 125, 281–289. [Google Scholar] [CrossRef]
- Fraquelli, C.; Zanzani, S.; Gazzonis, A.L.; Rizzi, R.; Manfredi, M. Effects of condensed tannin on natural coccidian infection in goat kids. Small Rumin. Res. 2015, 126, 19–24. [Google Scholar] [CrossRef]
- Maurizio, A.; Stancampiano, L.; Tessarin, C.; Pertile, A.; Pedrini, G.; Asti, C.; Terfa, W.; di Regalbono, A.F.; Cassini, R. Survey on Endoparasites of Dairy Goats in North-Eastern Italy Using a Farm-Tailored Monitoring Approach. Vet. Sci. 2021, 8, 69. [Google Scholar] [CrossRef]
- Zanzani, S.A.; Gazzonis, A.L.; Olivieri, E.; Villa, L.; Fraquelli, C.; Manfredi, M.T. Gastrointestinal nematodes of goats: Host–parasite relationship differences in breeds at summer mountain pasture in northern Italy. J. Vet. Res. 2019, 63, 519–526. [Google Scholar] [CrossRef]
- Grabber, J.H.; Zeller, W.E.; Mueller-Harvey, I. Acetone enhances the direct analysis of procyanidin- and prodelphinidin-based condensed tannins in lotus species by the butanol-HCl-iron assay. J. Agric. Food Chem. 2013, 61, 2669–2678. [Google Scholar] [CrossRef]
- Leoni, V.; Giupponi, L.; Pavlovic, R.; Gianoncelli, C.; Cecati, F.; Ranzato, E.; Martinotti, S.; Pedrali, D.; Giorgi, A.; Panseri, S. Multidisciplinary analysis of Italian Alpine wildflower honey reveals criticalities, diversity and value. Sci. Rep. 2021, 11, 19316. [Google Scholar] [CrossRef] [PubMed]
- Coles, G.C.; Jackson, F.; Pomroy, W.E.; Prichard, R.K.; von Samson-Himmelstjerna, G.; Silvestre, A.; Taylor, M.A.; Vercruysse, J. The detection of anthelmintic resistance in nematodes of veterinary importance. Vet. Parasitol. 2006, 136, 167–185. [Google Scholar] [CrossRef] [PubMed]
- Zangueu, C.B.; Olounlade, A.P.; Ossokomack, M.; Djouatsa, Y.N.N.; Alowanou, G.G.; Azebaze, A.G.B.; Llorent-Martínez, E.J.; De Córdova, M.L.F.; Dongmo, A.B.; Hounzangbe-Adote, M.S. In vitro effects of aqueous extract from Maytenus senegalensis (Lam.) Exell stem bark on egg hatching, larval migration and adult worms of Haemonchus contortus. BMC Vet. Res. 2018, 14, 147. [Google Scholar] [CrossRef]
- MAFF (Ministry of Agriculture, Fisheries and Food). Manual of Veterinary Parasitological Laboratory Techniques; H.M.S.O.: London, UK, 1986; p. 152.
- van Wyk, J.; Cabaret, J.; Michael, L. Morphological identification of nematode larvae of small ruminants and cattle simplified. Vet. Parasitol. 2004, 119, 277–306. [Google Scholar] [CrossRef] [PubMed]
- Smeriglio, A.; Barreca, D.; Bellocco, E.; Trombetta, D. Proanthocyanidins and hydrolysable tannins: Occurrence, dietary intake and pharmacological effects. Br. J. Pharmacol. 2017, 174, 1244–1262. [Google Scholar] [CrossRef]
- Barrau, E.; Fabre, N.; Fouraste, I.; Hoste, H. Effect of bioactive compounds from Sainfoin (Onobrychis viciifolia Scop.) on the in vitro larval migration of Haemonchus contortus: Role of tannins and flavonol glycosides. Parasitology 2005, 131, 531–538. [Google Scholar] [CrossRef] [PubMed]
- Acharya, M.; Burke, J.M.; Miller, J.E.; Terrill, T.H.; Wood, E.L.; Muir, J.P. Quebracho tannins aid in the control of Eimeria spp. and gastrointestinal nematodes in lambs and goat kids. Vet. Parasitol. 2020, 288, 109295. [Google Scholar] [CrossRef]
- Paolini, V.; Frayssines, A.; De La Farge, F.; Dorchies, P.; Hoste, H. Effects of condensed tannins on established populations and on incoming larvae of Trichostrongylus colubriformis and Teladorsagia circumcincta in goats. Vet. Res. 2003, 34, 331–339. [Google Scholar] [CrossRef] [PubMed]
- Molan, A.L.; Waghorn, G.C.; McNabb, W.C. Effect of condensed tannins on egg hatching and larval development of Trichostrongylus colubriformis in vitro. Vet. Rec. 2002, 150, 65–69. [Google Scholar] [CrossRef]
- Paolini, V.; Fouraste, I.; Hoste, H. In vitro effects of three woody plant and sainfoin extracts on 3rd-stage larvae and adult worms of three gastrointestinal nematodes. Parasitology 2004, 129, 69–77. [Google Scholar] [CrossRef]
- Zanzani, S.A.; Gazzonis, A.L.; Alberti, E.; Neilly, T.M.; Villa, L.; Manfredi, M.T. Gastrointestinal nematode infections in goats: Differences between strongyle faecal egg counts and specific antibody responses to Teladorsagia circumcincta in Nera di Verzasca and Alpine goats. Parasitol. Res. 2020, 119, 2539–2548. [Google Scholar] [CrossRef] [PubMed]




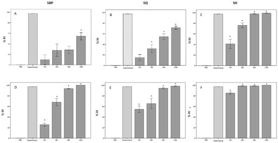
| Extract Concentration (μg/mL) | SBP Extract | SQ Extract | SH Extract | |||
|---|---|---|---|---|---|---|
| H2O | EtOH | H2O | EtOH | H2O | EtOH | |
| mean ± s.e. | mean ± s.e. | mean ± s.e. | mean ± s.e. | mean ± s.e. | mean ± s.e. | |
| 150 | 9.8 ± 9.51 | 25.4 ± 3.03 | 14.9 ± 5.77 | 54.4 ± 6.07 | 40.9 ± 8.88 | 85.1 ± 2.00 |
| 300 | 27.7 ± 11.77 | 67.9 ± 6.87 | 31.8 ± 7.85 | 65.2 ± 9.41 | 76.0 ± 4.59 | 98.6 ± 0.55 |
| 600 | 28.4 ± 6.86 | 93.6 ± 0.65 | 54.1 ± 5.44 | 94.2 ± 1.28 | 97.6 ± 0.64 | 98.6 ± 0.55 |
| 1200 | 54.1 ± 6.91 | 100.0 ± 0.00 | 71.3 ± 2.73 | 98.3 ± 0.86 | 99.0 ± 0.35 | 100.0 ± 0.00 |
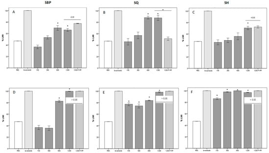
| Extract Concentration (μg/mL) | SBP Extract | SQ Extract | SH Extract | |||
|---|---|---|---|---|---|---|
| H2O | EtOH | H2O | EtOH | H2O | EtOH | |
| mean ± s.e. | mean ± s.e. | mean ± s.e. | mean ± s.e. | mean ± s.e. | mean ± s.e. | |
| 150 | 36.6 ± 3.21 | 36.8 ± 3.72 | 45.9 ± 5.70 | 77.2 ± 2.61 | 45.4 ± 4.37 | 86.2 ± 1.50 |
| 300 | 53.1 ± 2.86 | 35.6 ± 3.98 | 56.9 ± 5.82 | 74.2 ± 3.56 | 48.9 ± 3.92 | 98.0 ± 0.64 |
| 600 | 69.7 ± 4.14 | 82.5 ± 1.68 | 88.0 ± 2.45 | 83.7 ± 0.63 | 55.9 ± 6.00 | 100.0 ± 0.00 |
| 1200 | 66.2 ± 2.45 | 99.7 ± 0.19 | 87.5 ± 4.53 | 98.2 ± 0.98 | 70.4 ± 2.95 | 97.0 ± 0.31 |
| 1200 with PVPP | 77.4 ± 0.43 | 100.0 ± 0.00 | 51.1 ± 3.03 | 100.0 ± 0.00 | 72.2 ± 1.89 | 100.0 ± 0.00 |
Disclaimer/Publisher’s Note: The statements, opinions and data contained in all publications are solely those of the individual author(s) and contributor(s) and not of MDPI and/or the editor(s). MDPI and/or the editor(s) disclaim responsibility for any injury to people or property resulting from any ideas, methods, instructions or products referred to in the content. |
© 2023 by the authors. Licensee MDPI, Basel, Switzerland. This article is an open access article distributed under the terms and conditions of the Creative Commons Attribution (CC BY) license (https://creativecommons.org/licenses/by/4.0/).
Share and Cite
Gazzonis, A.L.; Panseri, S.; Pavlovic, R.; Zanzani, S.A.; Chiesa, L.; Rapetti, L.; Battelli, M.; Villa, L.; Manfredi, M.T. In Vitro Evaluations and Comparison of the Efficacy of Two Commercial Products Containing Condensed Tannins and of Saifoin (Onobrychis viciifolia Scop.) Hay against Gastrointestinal Nematodes of Goats. Animals 2023, 13, 547. https://doi.org/10.3390/ani13030547
Gazzonis AL, Panseri S, Pavlovic R, Zanzani SA, Chiesa L, Rapetti L, Battelli M, Villa L, Manfredi MT. In Vitro Evaluations and Comparison of the Efficacy of Two Commercial Products Containing Condensed Tannins and of Saifoin (Onobrychis viciifolia Scop.) Hay against Gastrointestinal Nematodes of Goats. Animals. 2023; 13(3):547. https://doi.org/10.3390/ani13030547
Chicago/Turabian StyleGazzonis, Alessia L., Sara Panseri, Radmila Pavlovic, Sergio A. Zanzani, Luca Chiesa, Luca Rapetti, Marco Battelli, Luca Villa, and Maria Teresa Manfredi. 2023. "In Vitro Evaluations and Comparison of the Efficacy of Two Commercial Products Containing Condensed Tannins and of Saifoin (Onobrychis viciifolia Scop.) Hay against Gastrointestinal Nematodes of Goats" Animals 13, no. 3: 547. https://doi.org/10.3390/ani13030547
APA StyleGazzonis, A. L., Panseri, S., Pavlovic, R., Zanzani, S. A., Chiesa, L., Rapetti, L., Battelli, M., Villa, L., & Manfredi, M. T. (2023). In Vitro Evaluations and Comparison of the Efficacy of Two Commercial Products Containing Condensed Tannins and of Saifoin (Onobrychis viciifolia Scop.) Hay against Gastrointestinal Nematodes of Goats. Animals, 13(3), 547. https://doi.org/10.3390/ani13030547

