Gut Microbiome Analysis and Screening of Lactic Acid Bacteria with Probiotic Potential in Anhui Swine
Abstract
:Simple Summary
Abstract
1. Introduction
2. Materials and Methods
2.1. Samples
2.2. 16S rRNA Amplicon Sequencing
2.3. Metagenomic Sequencing of Intestinal Contents of Local Pigs from the Anhui Province
2.4. Isolation and Purification of Lactic Acid Bacteria
2.5. Determination of Acid-Production Capacity and Growth Curve
2.6. Acid-Resistance Determination
2.7. Determination of Bile Salt Resistance
2.8. Trypsin Tolerance Measurement
2.9. Surface Hydrophobicity
2.10. Self-Aggregation Capability
2.11. Co-Agglutination of Lactic Acid Bacteria with Pathogenic Bacteria
2.12. In Vitro Bacteriostatic Activity Assay
2.13. Determination of Inhibition of Pathogenic Bacteria
2.14. Data Analysis
3. Results
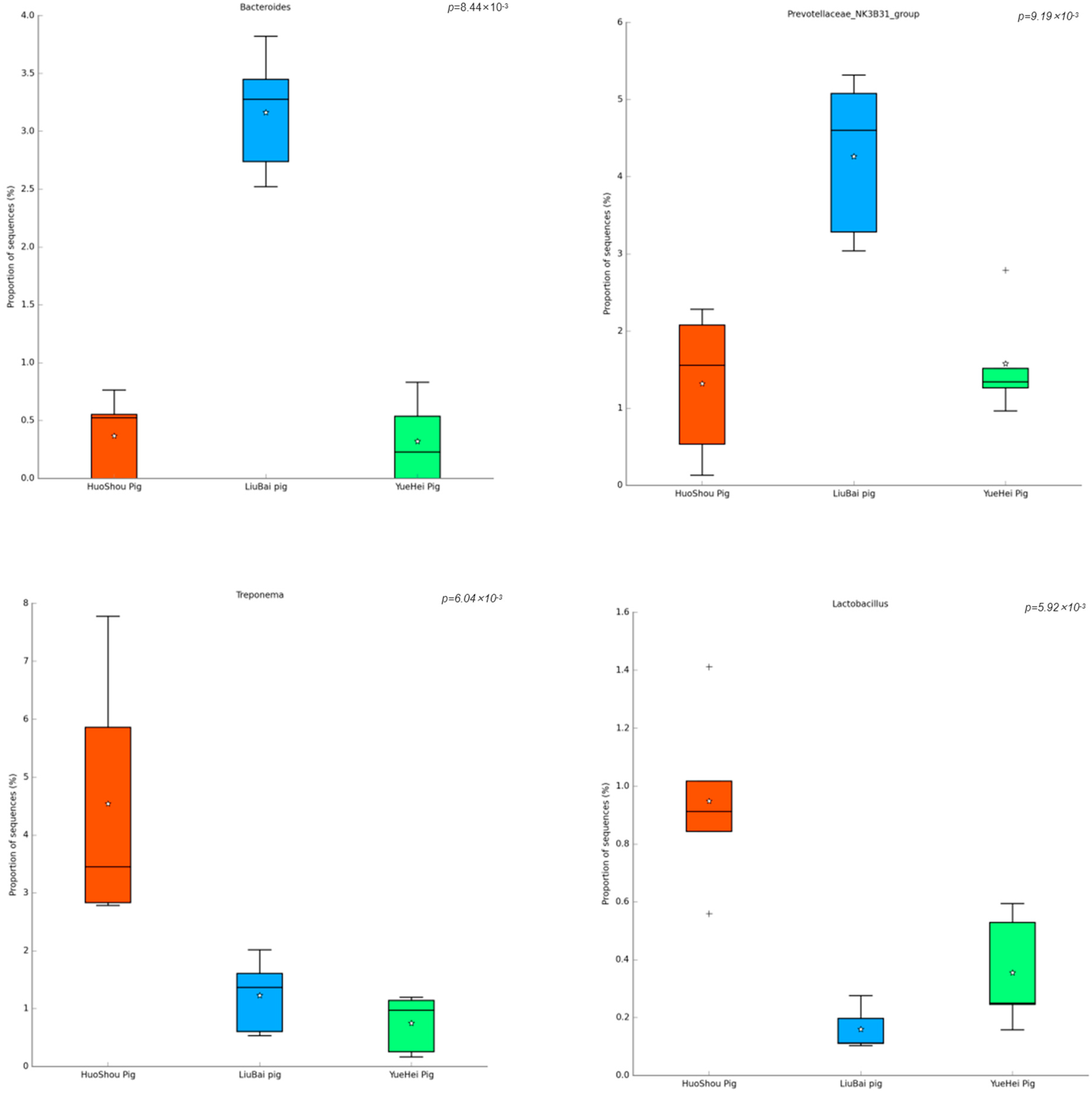
3.1. Analysis of the Intestinal Microbiota Composition of Anhui Local-Breed Pigs
3.2. Functional Analysis of the Intestinal Microbiota of Anhui Local-Breed Pigs
3.2.1. Raw Data Processing
3.2.2. COG Function Analysis of the Porcine Intestinal Microbiota
3.3. Functional Analysis of Porcine Intestinal Lactic Acid Bacteria
3.4. Isolation and Screening of Porcine Intestinal Lactic Acid Bacteria
3.5. Determination of Acid-Production Capacity and Growth Curve
3.6. Endurance Measurement Results
3.7. Surface Hydrophobicity and Self-Polymerization Ability
3.8. Co-Agglutination with Pathogenic Bacteria
3.9. In Vitro Bacteriostatic Test
3.10. Effects of L. johnsonii L5 and L. reuteri L8 on the Motility of E. coli CMCC44102
4. Discussion
5. Conclusions
Author Contributions
Funding
Institutional Review Board Statement
Informed Consent Statement
Data Availability Statement
Conflicts of Interest
References
- Mullard, A. Microbiology: The inside story. Nature 2008, 453, 578–580. [Google Scholar] [CrossRef] [PubMed]
- Pabst, R. The pig as a model for immunology research. Cell Tissue Res. 2020, 380, 287–304. [Google Scholar] [CrossRef] [PubMed]
- Dowarah, R.; Verma, A.; Agarwal, N. The use of Lactobacillus as an alternative of antibiotic growth promoters in pigs: A review. Anim. Nutr. 2017, 3, 1–6. [Google Scholar] [CrossRef]
- O’Shea, E.F.; Cotter, P.D.; Stanton, C.; Ross, R.P.; Hill, C. Production of bioactive substances by intestinal bacteria as a basis for explaining probiotic mechanisms: Bacteriocins and conjugated linoleic acid. Int. J. Food Microbiol. 2012, 152, 189–205. [Google Scholar] [CrossRef] [PubMed]
- Servin, A.L. Antagonistic activities of lactobacilli and bifidobacteria against microbial pathogens. FEMS Microbiol. Rev. 2004, 28, 405–440. [Google Scholar] [CrossRef] [PubMed]
- Svetoch, E.A.; Eruslanov, B.V.; Perelygin, V.V.; Mitsevich, E.V.; Mitsevich, I.P.; Borzenkov, V.N.; Levchuk, V.P.; Svetoch, O.E.; Kovalev, Y.N.; Stepanshin, Y.G.; et al. Diverse antlmicrobial Killing by Enterococcus faecium E 50-52 bacteriocin. J. Agric. Food Chem. 2008, 56, 1942–1948. [Google Scholar] [CrossRef]
- Lee, Y.-J.; Yu, W.-K.; Heo, T.-R. Identification and screening for antimicrobial activity against Clostridium difficile of Bifidobacterium and Lactobacillus species isolated from healthy infant faeces. Int. J. Antimicrob. Agents 2003, 21, 340–346. [Google Scholar] [CrossRef] [PubMed]
- Çetin, E.; Silici, S.; Çetin, N.; Güçlü, B. Effects of diets containing different concentrations of propolis on hematological and immunological variables in laying hens. Poult. Sci. 2010, 89, 1703–1708. [Google Scholar] [CrossRef]
- Mazziotta, C.; Tognon, M.; Martini, F.; Torreggiani, E.; Rotondo, J.C. Probiotics Mechanism of Action on Immune Cells and Beneficial Effects on Human Health. Cells 2023, 12, 184. [Google Scholar] [CrossRef]
- Dowarah, R.; Verma, A.K.; Agarwal, N.; Singh, P.; Singh, B.R. Selection and characterization of probiotic lactic acid bacteria and its impact on growth, nutrient digestibility, health and antioxidant status in weaned piglets. PLoS ONE 2018, 13, e0192978. [Google Scholar] [CrossRef]
- Ward, T.L.; Weber, B.P.; Mendoza, K.M.; Danzeisen, J.L.; Llop, K.; Lang, K.; Clayton, J.B.; Grace, E.; Brannon, J.; Radovic, I.; et al. Antibiotics and Host-Tailored Probiotics Similarly Modulate Effects on the Developing Avian Microbiome, Mycobiome, and Host Gene Expression. mBio 2019, 10, e02171-19. [Google Scholar] [CrossRef]
- Peng, J.; Tang, Y.; Huang, Y. Gut health: The results of microbial and mucosal immune interactions in pigs. Anim. Nutr. 2021, 7, 282–294. [Google Scholar] [CrossRef]
- Pereira, W.A.; Franco, S.M.; Reis, I.L.; Mendonça, C.M.; Piazentin, A.C.; Azevedo, P.O.; Tse, M.L.; De Martinis, E.C.; Gierus, M.; Oliveira, R.P. Beneficial effects of probiotics on the pig production cycle: An overview of clinical impacts and performance. Vet. Microbiol. 2022, 269, 109431. [Google Scholar] [CrossRef] [PubMed]
- Luise, D.; Bosi, P.; Raff, L.; Amatucci, L.; Virdis, S.; Trevisi, P. Bacillus spp. Probiotic Strains as a Potential Tool for Limiting the Use of Antibiotics, and Improving the Growth and Health of Pigs and Chickens. Front. Microbiol. 2022, 13, 801827. [Google Scholar] [CrossRef]
- Chen, S.; Zhou, Y.; Chen, Y.; Gu, J. fastp: An ultra-fast all-in-one FASTQ preprocessor. Bioinformatics 2018, 34, 884–890. [Google Scholar] [CrossRef] [PubMed]
- Wood, D.E.; Lu, J.; Langmead, B. Improved metagenomic analysis with Kraken 2. Genome Biol. 2019, 20, 257. [Google Scholar] [CrossRef]
- Lu, J.; Breitwieser, F.P.; Thielen, P.; Salzberg, S.L. Bracken: Estimating species abundance in metagenomics data. PeerJ Comput. Sci. 2017, 3, e104. [Google Scholar] [CrossRef]
- Cantalapiedra, C.P.; Hernández-Plaza, A.; Letunic, I.; Bork, P.; Huerta-Cepas, J. eggNOG-mapper v2: Functional Annotation, Orthology Assignments, and Domain Prediction at the Metagenomic Scale. Mol. Biol. Evol. 2021, 38, 5825–5829. [Google Scholar] [CrossRef] [PubMed]
- Huerta-Cepas, J.; Szklarczyk, D.; Heller, D.; Hernández-Plaza, A.; Forslund, S.K.; Cook, H.; Mende, D.R.; Letunic, I.; Rattei, T.; Jensen, L.J.; et al. eggNOG 5.0: A hierarchical, functionally and phylogenetically annotated orthology resource based on 5090 organisms and 2502 viruses. Nucleic Acids Res. 2019, 47, D309–D314. [Google Scholar] [CrossRef]
- Patro, R.; Duggal, G.; Love, M.I.; Irizarry, R.A.; Kingsford, C. Salmon provides fast and bias-aware quantification of transcript expression. Nat. Methods 2017, 14, 417–419. [Google Scholar] [CrossRef]
- AlKalbani, N.S.; Turner, M.S.; Ayyash, M.M. Isolation, identification, and potential probiotic characterization of isolated lactic acid bacteria and in vitro investigation of the cytotoxicity, antioxidant, and antidiabetic activities in fermented sausage. Microb. Cell Factories 2019, 18, 188. [Google Scholar] [CrossRef]
- Tang, J.; Yin, L.; Zhao, Z.; Ge, L.; Hou, L.; Liu, Y.; Chen, X.; Huang, K.; Gan, F. Isolation, identification and safety evaluation of OTA-detoxification strain Pediococcus acidilactici NJB421 and its effects on OTA-induced toxicity in mice. Food Chem. Toxicol. 2023, 172, 113604. [Google Scholar] [CrossRef] [PubMed]
- Kotzamanidis, C.; Kourelis, A.; Litopoulou-Tzanetaki, E.; Tzanetakis, N.; Yiangou, M. Evaluation of adhesion capacity, cell surface traits and immunomodulatory activity of presumptive probiotic Lactobacillus strains. Int. J. Food Microbiol. 2010, 140, 154–163. [Google Scholar] [CrossRef] [PubMed]
- Xu, H.; Jeong, H.; Lee, H.; Ahn, J. Assessment of cell surface properties and adhesion potential of selected probiotic strains. Lett. Appl. Microbiol. 2009, 49, 434–442. [Google Scholar] [CrossRef]
- Collado, M.C.; Surono, I.; Meriluoto, J.; Salminen, S. Indigenous dadih lactic acid bacteria: Cell-surface properties and interactions with pathogens. J. Food Sci. 2007, 72, M89–M93. [Google Scholar] [CrossRef] [PubMed]
- Daneshazari, R.; Khorasgani, M.R.; Hosseini-Abari, A.; Kim, J.-H. Bacillus subtilis isolates from camel milk as probiotic candidates. Sci. Rep. 2023, 13, 3387. [Google Scholar] [CrossRef] [PubMed]
- Dixon, B.; Kilonzo-Nthenge, A.; Nzomo, M.; Bhogoju, S.; Nahashon, S. Evaluation of Selected Bacteria and Yeast for Probiotic Potential in Poultry Production. Microorganisms 2022, 10, 676. [Google Scholar] [CrossRef]
- Wang, C.-Y.; Lin, P.-R.; Ng, C.-C.; Shyu, Y.-T. Probiotic properties of Lactobacillus strains isolated from the feces of breast-fed infants and Taiwanese pickled cabbage. Anaerobe 2010, 16, 578–585. [Google Scholar] [CrossRef]
- Rupa, P.; Mine, Y. Recent Advances in the Role of Probiotics in Human Inflammation and Gut Health. J. Agric. Food Chem. 2012, 60, 8249–8256. [Google Scholar] [CrossRef]
- Gadaleta, R.M.; Cariello, M.; Crudele, L.; Moschetta, A. Bile Salt Hydrolase-Competent Probiotics in the Management of IBD: Unlocking the “Bile Acid Code”. Nutrients 2022, 14, 3212. [Google Scholar] [CrossRef]
- Jiang, J.; Li, K.; Wang, Y.; Wu, Z.; Ma, H.; Zheng, S.; Li, Z. Screening, Identification and Physiological Characteristics of Lactobacillus rhamnosus M3 (1) against Intestinal Inflammation. Foods 2023, 12, 1628. [Google Scholar] [CrossRef] [PubMed]
- Zhang, L.; Yu, Q.; Han, L.; Zhang, M.; Yang, L.; Li, Y.P. Evaluation of the potential probiotic properties of Lactobacillus strains isolated from traditional fermented yak milk. J. Food Agric. Environ. 2011, 9, 18–26. [Google Scholar]
- Ru, X.; Zhang, C.-C.; Yuan, Y.-H.; Yue, T.-L.; Guo, C.-F. Bile salt hydrolase activity is present in nonintestinal lactic acid bacteria at an intermediate level. Appl. Microbiol. Biotechnol. 2019, 103, 893–902. [Google Scholar] [CrossRef] [PubMed]
- Leska, A.; Nowak, A.; Czarnecka-Chrebelska, K.H. Adhesion and Anti-Adhesion Abilities of Potentially Probiotic Lactic Acid Bacteria and Biofilm Eradication of Honeybee (Apis mellifera L.) Pathogens. Molecules 2022, 27, 8945. [Google Scholar] [CrossRef]
- Li, M.; Wang, Y.; Cui, H.; Li, Y.; Sun, Y.; Qiu, H.-J. Characterization of Lactic Acid Bacteria Isolated from the Gastrointestinal Tract of a Wild Boar as Potential Probiotics. Front. Vet. Sci. 2020, 7, 49. [Google Scholar] [CrossRef]
- Bernardeau, M.; Vernoux, J.P.; Henridubernet, S.; Guéguen, M. Safety assessment of dairy microorganisms: The Lactobacillus genus. Int. J. Food Microbiol. 2008, 126, 278–285. [Google Scholar] [CrossRef]
- Chung, W.-H.; Kang, J.; Lim, M.Y.; Lim, T.-J.; Lim, S.; Roh, S.W.; Nam, Y.-D. Complete Genome Sequence and Genomic Characterization of Lactobacillus acidophilus LA1 (11869BP). Front. Pharmacol. 2018, 9, 83. [Google Scholar] [CrossRef]










| Sample ID | Raw Reads | Clean Reads | Q20 % | Q30 % | GC % | Duplicate % |
|---|---|---|---|---|---|---|
| HS-2 | 48,343,266 | 46,295,856 | 98.54 | 94.62 | 43.40 | 10.11 |
| HS-5 | 48,798,380 | 46,749,380 | 98.56 | 94.68 | 42.40 | 10.58 |
| HS-3 | 44,748,646 | 43,054,834 | 98.63 | 94.88 | 41.42 | 9.61 |
| LB-4 | 49,869,760 | 47,902,752 | 98.69 | 95.12 | 45.71 | 10.30 |
| LB-2 | 52,068,592 | 50,317,040 | 98.76 | 95.37 | 49.00 | 10.40 |
| LB-5 | 45,744,046 | 43,907,488 | 98.61 | 94.90 | 46.82 | 9.93 |
| YH-3 | 46,639,660 | 44,777,718 | 98.66 | 95.06 | 47.69 | 9.88 |
| YH-5 | 47,181,778 | 45,330,722 | 98.69 | 95.15 | 48.60 | 10.20 |
| YH-1 | 51,067,438 | 49,143,810 | 98.76 | 95.33 | 46.27 | 10.89 |
| Sample ID | Contigs | Average (bp) | Max (bp) | N50 | N90 |
|---|---|---|---|---|---|
| HS-2 | 333,797 | 1273.38 | 194,692 | 1452 | 586 |
| HS-3 | 207,370 | 1434.83 | 461,768 | 1861 | 596 |
| HS-5 | 292,105 | 1226.07 | 283,922 | 1355 | 578 |
| LB-2 | 369,417 | 1328.48 | 380,063 | 1602 | 589 |
| LB-4 | 385,374 | 1229.60 | 312,006 | 1354 | 582 |
| LB-5 | 392,067 | 1208.52 | 184,693 | 1316 | 579 |
| YH-1 | 453,318 | 1193.34 | 355,447 | 1295 | 576 |
| YH-3 | 293,544 | 1217.91 | 197,853 | 1366 | 575 |
| YH-5 | 274,541 | 1184.62 | 176,139 | 1291 | 570 |
| Strains | Mannitol | Maltose | Sucrose | Lactose | Cellobiose | Inulin | Esculin | Sorbitol | Salicylin | Raffinose |
|---|---|---|---|---|---|---|---|---|---|---|
| L2 | + | + | + | + | + | + | + | + | − | − |
| L5 | + | + | + | + | + | + | − | + | + | + |
| L8 | − | + | + | + | + | + | + | − | + | + |
| L11 | + | + | + | + | + | + | + | − | + | + |
| L17 | − | + | + | + | + | + | + | − | + | − |
| L21 | + | + | + | + | − | + | + | + | + | − |
| L23 | + | + | + | + | + | + | − | − | + | + |
| L26 | − | + | + | + | + | + | + | − | + | + |
| Strains | Control (cfu/mL) | Survival Rate (%) | ||||
|---|---|---|---|---|---|---|
| pH | Bile Salt Concentration (%) | Trypsin Concentration (%) | ||||
| pH 2.0 | pH 3.0 | 0.10% | 0.30% | 1.0% | ||
| L2 | 4.32 × 107 | 48.3 ± 1.04 d | 67.37 ± 1.8 d | 51.17 ± 0.45 de | 24.3 ± 0.89 c | 28.48 ± 2.21 b |
| L26 | 2.93 × 108 | 55.13 ± 1.46 c | 75 ± 1.56 c | 61.57 ± 2.18 c | 32.2 ± 1.31 b | 18.4 ± 4.69 cd |
| L5 | 2.64 × 108 | 65.53 ± 1.92 a | 85.4 ± 1.71 a | 73.1 ± 2.85 a | 53.3 ± 0.89 a | 54.73 ± 3.37 a |
| L8 | 2.27 × 108 | 63.23 ± 0.2 ab | 83.27 ± 0.12 ab | 62.37 ± 0.96 bc | 51.4 ± 1.41 a | 53.33 ± 3.21 a |
| L11 | 1.82 × 108 | 63.51 ± 0.25 ab | 73.23 ± 0.25 c | 64.77 ± 1.53 b | 36.73 ± 3.21 b | 17 ± 0.63 cd |
| L17 | 2.86 × 107 | 56.13 ± 0.86 c | 68.8 ± 0.56 d | 38.63 ± 0.84 f | 17.8 ± 0.92 de | 23.33 ± 4.16 bc |
| L21 | 1.75 × 108 | 61.67 ± 1.39 b | 81.67 ± 1.39 b | 50.5 ± 0.92 e | 21.67 ± 6.75 cd | 18.33 ± 6.03 cd |
| L23 | 3.04 × 107 | 15.57 ± 1.81 e | 55.57 ± 1.81 e | 53.6 ± 0.36 d | 15.4 ± 1.65 e | 15.33 ± 1.53 d |
| Strain | Self-Polymerization Ability (%) | Surface Hydrophobicity (%) |
|---|---|---|
| L2 | 31.63 ± 2.65 b | 72.9 ± 2.76 ab |
| L26 | 23.7 ± 1.91 cd | 63.37 ± 1.62 c |
| L5 | 33.37 ± 1.04 b | 76.7 ± 4.77 a |
| L8 | 42.97 ± 2.31 a | 71.61 ± 2.29 ab |
| L11 | 21.27 ± 7.65 d | 51.27 ± 6.05 de |
| L17 | 27.7 ± 0.6 bc | 47.1 ± 0.6 f |
| L21 | 10.53 ± 1.39 e | 56.93 ± 4.57 d |
| L23 | 9.1 ± 1.75 e | 66.3 ± 3.41 bc |
| Strain | Inhibition Diameter (mm) | |||
|---|---|---|---|---|
| E. coli CMCC44102 | S. aureus ATCC25923 | |||
| Strain’s Stock Solution | Supernatant | Strain’s Stock Solution | Supernatant | |
| L2 | 13.8 ± 0.36 d | 14.63 ± 0.12 de | 16.17 ± 0.76 c | 16.37 ± 0.21 bc |
| L26 | 14.67 ± 0.4 d | 14.23 ± 0.65 de | 14.73 ± 0.76 d | 15.5 ± 1.25 c |
| L5 | 16.4 ± 0.46 b | 16.43 ± 0.15 b | 18.1 ± 0.44 a | 17.4 ± 1.08 ab |
| L8 | 17.67 ± 0.31 a | 17.77 ± 0.25 a | 17.8 ± 0.2 ab | 18.13 ± 0.61 a |
| L11 | 15.73 ± 0.45 bc | 15.93 ± 0.55 bc | 12.53 ± 0.21 e | 12.8 ± 0.78 d |
| L17 | 16.6 ± 1.18 b | 16.77 ± 0.98 b | 16.67 ± 0.21 bc | 17.53 ± 0.38 ab |
| L21 | 13.8 ± 0.1 d | 14.13 ± 0.59 e | 13.33 ± 1.6 e | 13.4 ± 1.35 d |
| L23 | 14.87 ± 0.74 cd | 15.2 ± 0.56 cd | 15.5 ± 0.26 cd | 15.83 ± 0.71 bc |
Disclaimer/Publisher’s Note: The statements, opinions and data contained in all publications are solely those of the individual author(s) and contributor(s) and not of MDPI and/or the editor(s). MDPI and/or the editor(s) disclaim responsibility for any injury to people or property resulting from any ideas, methods, instructions or products referred to in the content. |
© 2023 by the authors. Licensee MDPI, Basel, Switzerland. This article is an open access article distributed under the terms and conditions of the Creative Commons Attribution (CC BY) license (https://creativecommons.org/licenses/by/4.0/).
Share and Cite
Shao, Y.; Wu, X.; Yu, Z.; Li, M.; Sheng, T.; Wang, Z.; Tu, J.; Song, X.; Qi, K. Gut Microbiome Analysis and Screening of Lactic Acid Bacteria with Probiotic Potential in Anhui Swine. Animals 2023, 13, 3812. https://doi.org/10.3390/ani13243812
Shao Y, Wu X, Yu Z, Li M, Sheng T, Wang Z, Tu J, Song X, Qi K. Gut Microbiome Analysis and Screening of Lactic Acid Bacteria with Probiotic Potential in Anhui Swine. Animals. 2023; 13(24):3812. https://doi.org/10.3390/ani13243812
Chicago/Turabian StyleShao, Ying, Xiaoyan Wu, Zhaorong Yu, Min Li, Tingting Sheng, Zhenyu Wang, Jian Tu, Xiangjun Song, and Kezong Qi. 2023. "Gut Microbiome Analysis and Screening of Lactic Acid Bacteria with Probiotic Potential in Anhui Swine" Animals 13, no. 24: 3812. https://doi.org/10.3390/ani13243812
APA StyleShao, Y., Wu, X., Yu, Z., Li, M., Sheng, T., Wang, Z., Tu, J., Song, X., & Qi, K. (2023). Gut Microbiome Analysis and Screening of Lactic Acid Bacteria with Probiotic Potential in Anhui Swine. Animals, 13(24), 3812. https://doi.org/10.3390/ani13243812
