A Trial Comparing Growing Rabbits Differing in 18 Generations of Selection for Growth Rate Reveals a Potential Lack of Effectiveness in the Genetic Selection Progress
Abstract
Simple Summary
Abstract
1. Introduction
2. Materials and Methods
2.1. Animals
2.2. Experimental Procedure
2.3. Digestibility Trial
2.4. Statistical Analysis
3. Results
4. Discussion
5. Conclusions
Author Contributions
Funding
Institutional Review Board Statement
Informed Consent Statement
Data Availability Statement
Acknowledgments
Conflicts of Interest
References
- Baselga, M. Genetic Improvement of Meat Rabbits. Programmes and Diffusion. In Proceedings of the 8th World Rabbit Congress, Pueblo, Mexico, 7–10 September 2004; World Rabbit Science Association (WRSA): Castanet-Tolosans, France, 2005; pp. 1–13. [Google Scholar]
- Estany, J.; Camacho, J.; Baselga, M.; Blasco, A. Selection Response of Growth Rate in Rabbits for Meat Production. Genet. Sel. Evol. 1992, 24, 527. [Google Scholar] [CrossRef]
- Cartuche, L.; Pascual, M.; Gómez, E.A.; Blasco, A. Economic Weights in Rabbit Meat Production. World Rabbit Sci. 2014, 22, 165. [Google Scholar] [CrossRef]
- Sánchez, J.P.; Theilgaard, P.; Mínguez, C.; Baselga, M. Constitution and Evaluation of a Long-Lived Productive Rabbit Line1. J. Anim. Sci. 2008, 86, 515–525. [Google Scholar] [CrossRef] [PubMed]
- Cifre, J.; Vicente, J.S.; Baselga, M.; García-Ximénez, F. Ovulation Rate in Lines of Rabbits Selected on Different Criteria. In Rabbit Production in Hot Climates; Cahiers Options Méditerranéennes, Baselga, M., Marai, I.F.M., Eds.; Zaragoza: Ciheam, Spain, 1994; pp. 247–251. [Google Scholar]
- Blasco, A. Genética y Nutrición Del Conejo. In Ediciones Mundi; Alimentación Del Conejo, d.B.C., Ed.; Prensa: Madrid, Spain, 1989. [Google Scholar]
- Hartcher, K.M.; Lum, H.K. Genetic Selection of Broilers and Welfare Consequences: A Review. World’s Poult. Sci. J. 2020, 76, 154–167. [Google Scholar] [CrossRef]
- Mrode, R.A.; Kennedy, B.W. Genetic Variation in Measures of Food Efficiency in Pigs and Their Genetic Relationships with Growth Rate and Backfat. Anim. Sci. 1993, 56, 225–232. [Google Scholar] [CrossRef]
- García-Quirós, A.; Arnau-Bonachera, A.; Penadés, M.; Cervera, C.; Martínez-Paredes, E.; Ródenas, L.; Selva, L.; Viana, D.; Corpa, J.M.; Pascual, J.J. A Robust Rabbit Line Increases Leucocyte Counts at Weaning and Reduces Mortality by Digestive Disorder during Fattening. Vet. Immunol. Immunopathol. 2014, 161, 123–131. [Google Scholar] [CrossRef]
- Quevedo, F.; Cervera, C.; Blas, E.; Baselga, M.; Pascual, J.J. Long-Term Effect of Selection for Litter Size and Feeding Programme on the Performance of Reproductive Rabbit Does 2. Lactation and Growing Period. Anim. Sci. 2006, 82, 751–762. [Google Scholar] [CrossRef]
- Costa, C.; Baselga, M.; Lobera, J.; Cervera, C.; Pascual, J.J. Evaluating Response to Selection and Nutritional Needs in a Three-Way Cross of Rabbits. J. Anim. Breed. Genet. 2004, 121, 186–196. [Google Scholar] [CrossRef]
- Fernández-Carmona, J.; Blas, E.; Pascual, J.J.; Maertens, L.; Gidenne, T.; Xiccato, G. García Recommendations and Guidelines for Applied Nutrition Experiments in Rabbits. World Rabbit Sci. 2010, 13, 209–228. [Google Scholar] [CrossRef]
- Marco-Jiménez, F.; Baselga, M.; Vicente, J.S. Successful Re-Establishment of a Rabbit Population from Embryos Vitrified 15 Years Ago: The Importance of Biobanks in Livestock Conservation. PLoS ONE 2018, 13, e0199234. [Google Scholar] [CrossRef]
- Vicente, J.S.; García-Ximénez, F. Effects of Strain and Embryo Transfer Model (Embryos from One versus Two Donor Does/Recipient) on Results of Cryopreservation in Rabbit. Reprod. Nutr. Dev. 1993, 33, 5–13. [Google Scholar] [CrossRef] [PubMed]
- Vicente, J.S.; García-Ximénez, F. Direct Transfer of Vitrified Rabbit Embryos. Theriogenology 1996, 45, 811–815. [Google Scholar] [CrossRef] [PubMed]
- Pérez, J.M.; Lebas, F.; Gidenne, T.; Maertens, L.; Xiccato, G.; Parigi-Bini, R.; Dalle Zotte, A. European reference method for in vivo determination of diet digestibility in rabbits. World Rabbit Sci. 2010, 3, 41–43. [Google Scholar] [CrossRef]
- AOAC. Official Methods of Analysis, 21st ed.; Association of Official Analytical Chemist: Rockville, MD, USA, 2019. [Google Scholar]
- Van Soest, P.J.; Robertson, J.B.; Lewis, B.A. Methods for Dietary Fiber, Neutral Detergent Fiber, and Nonstarch Polysaccharides in Relation to Animal Nutrition. J. Dairy Sci. 1991, 74, 3583–3597. [Google Scholar] [CrossRef] [PubMed]
- Littell, R.C.; Henry, P.R.; Ammerman, C.B. Statistical Analysis of Repeated Measures Data Using SAS Procedures. J. Anim. Sci. 1998, 76, 1216. [Google Scholar] [CrossRef] [PubMed]
- Gonçalves, C.; Della Badia, A.; Martínez-Paredes, E.; Ródenas, L.; Blas, E.; Pascual, J.J. Fitting Digestible Protein to Digestible Energy Ratio in Growing Rabbits Selected by Growth Rate. In Proceedings of the 12th World Rabbit Congress, Nantes, France, 3–5 November 2021; Communication N-17, 4. p. 2021. [Google Scholar]
- Marín-García, P.J.; Ródenas, L.; Martínez-Paredes, E.; Moya, V.J.; Cambra-López, M.; Blas, E.; Pascual, J.J. Effect of Increasing the Methionine Level and Reducing the Threonine Level in the Diet of Fast-Growing Rabbits. Animals 2023, 13, 1471. [Google Scholar] [CrossRef]
- Marín-García, P.J.; Ródenas, L.; Martínez-Paredes, E.; Cambra-López, M.; Blas, E.; Pascual, J.J. A Moderate Protein Diet Does Not Cover the Requirements of Growing Rabbits with High Growth Rate. Anim. Feed Sci. Technol. 2020, 264, 114495. [Google Scholar] [CrossRef]
- Rashwan, A.A.; Marai, I.F.M. Mortality in young rabbits: A review. World Rabbit Sci. 2010, 8, 111–124. [Google Scholar] [CrossRef][Green Version]
- Lukefahr, S.; Hohenboken, W.D.; Cheeke, P.R.; Patton, N.M. Genetic Effects on Maternal Performance and Litter Pre-Weaning and Post-Weaning Traits in Rabbits. Anim. Sci. 1984, 38, 293–300. [Google Scholar] [CrossRef]
- Al-Dobaib, S.N. Effect of Diets on Growth, Digestibility, Carcass and Meat Quality Characteristics of Four Rabbit Breeds. Saudi J. Biol. Sci. 2010, 17, 83–93. [Google Scholar] [CrossRef]
- Marín-García, P.J.; López-Luján, M.C.; Ródenas, L.; Martínez-Paredes, E.; Cambra-López, M.; Blas, E.; Pascual, J.J. Do Growing Rabbits with a High Growth Rate Require Diets with High Levels of Essential Amino Acids? A Choice-Feeding Trial. Animals 2021, 11, 824. [Google Scholar] [CrossRef] [PubMed]
- Savietto, D.; Blas, E.; Cervera, C.; Baselga, M.; Friggens, N.C.; Larsen, T.; Pascual, J.J. Digestive Efficiency in Rabbit Does According to Environment and Genetic Type. World Rabbit Sci. 2012, 20, 131–139. [Google Scholar] [CrossRef][Green Version]
- Pascual, J.J.; Ródenas, L.; Martínez, E.; Cervera, C.; Blas, E.; Baselga, M. Genetic Selection of Maternal Lines and Digestive Efficiency in Rabbits: Long Term Selection for Litter Size at Weaning versus Hyper Selection for Reproductive Longevity. World Rabbit Sci. 2010, 16, 165–171. [Google Scholar] [CrossRef][Green Version]
- Maertens, L.; De Groote, G. Étude de La Variabilité Des Coefficients de Digestibilité Des Lapins Suite Aux Différences d’âge, de Sexe, de Race et d’origine. Rev. Agric. 1982, 35, 2787–2797. [Google Scholar]
- Sartor, C.; Hauschild, L.; Carvalho, A.D.Á.; Garcia, G.G.; Kunrath, M.A.; Lovatto, P.A. Digestibilidade Aparente Da Dieta e Balanço Do Nitrogênio Em Suínos de Diferentes Grupos Genéticos Com Ou Sem Restrição Alimentar. Cienc. Rural 2006, 36, 617–623. [Google Scholar] [CrossRef]
- Marín-García, P.J.; López-Luján, M.C.; Ródenas, L.; Martínez-Paredes, E.M.; Blas, E.; Pascual, J.J. Plasmatic Urea Nitrogen in Growing Rabbits with Different Combinations of Dietary Levels of Lysine, Sulphur Amino Acids and Threonine. Animals 2020, 10, 946. [Google Scholar] [CrossRef] [PubMed]
- Marín-García, P.J.; López-Luján, M.D.C.; Ródenas, L.; Martínez-Paredes, E.M.; Blas, E.; Pascual, J.J. Plasma Urea Nitrogen as an Indicator of Amino Acid Imbalance in Rabbit Diets. World Rabbit Sci. 2020, 28, 63. [Google Scholar] [CrossRef]
- Torres, C.; Baselga, M.; Gómez, E. Effect of Weight Daily Gain Selection on Gross Efficiency in Rabbits. J. Appl. Rabbit Res. 1992, 15, 884. [Google Scholar]
- Feki, S.; Baselga, M.; Blas, E.; Cervera, C.; Gómez, E.A. Comparison of Growth and Feed Efficiency among Rabbit Lines Selected for Different Objectives. Livest. Prod. Sci. 1996, 45, 87–92. [Google Scholar] [CrossRef]
- Pascual, M.; Pla, M. Changes in Carcass Composition and Meat Quality When Selecting Rabbits for Growth Rate. Meat Sci. 2007, 77, 474–481. [Google Scholar] [CrossRef]
- Pascual, M.; Pla, M.; Blasco, A. Effect of Selection for Growth Rate on Relative Growth in Rabbits’. J. Anim. Sci. 2008, 86, 3409–3417. [Google Scholar] [CrossRef] [PubMed]
- Gómez, E.A.; Baselga, M.; Rafel, O. Selection, Diffusion and Performances of Six Spanish Lines of Meat Rabbit. Cah. Options Méditérranéennes 1999, 41, 147–152. [Google Scholar]
- Vicente, J.S.; Llobat, L.; Viudes-de-Castro, M.P.; Lavara, R.; Baselga, M.; Marco-Jiménez, F. Gestational Losses in a Rabbit Line Selected for Growth Rate. Theriogenology 2012, 77, 81–88. [Google Scholar] [CrossRef] [PubMed]
- Piles, M.; Tusell, L. Genetic Correlation between Growth and Female and Male Contributions to Fertility in Rabbit: Genetic Correlation between Growth and Fertility. J. Anim. Breed. Genet. 2012, 129, 298–305. [Google Scholar] [CrossRef]
- Juarez, J.D.; Marco-Jiménez, F.; Lavara, R.; Vicente, J.S. Rederivation by Cryopreservation of a Paternal Line of Rabbits Suggests Exhaustion of Selection for Post-Weaning Daily Weight Gain after 37 Generations. Animals 2020, 10, 1436. [Google Scholar] [CrossRef]
- Juárez, J.D.; Marco-Jiménez, F.; Vicente, J.S. Evaluation of Foetal Growth, Litter Size and Reproductive Performance in Rabbit after 18 Generations of Selection for Growth Rate Using Cryopreserved Embryos. Livest. Sci. 2021, 253, 104702. [Google Scholar] [CrossRef]
- Koneswaran, G.; Nierenberg, D. Global Farm Animal Production and Global Warming: Impacting and Mitigating Climate Change. Environ. Health Perspect. 2008, 116, 578–582. [Google Scholar] [CrossRef]

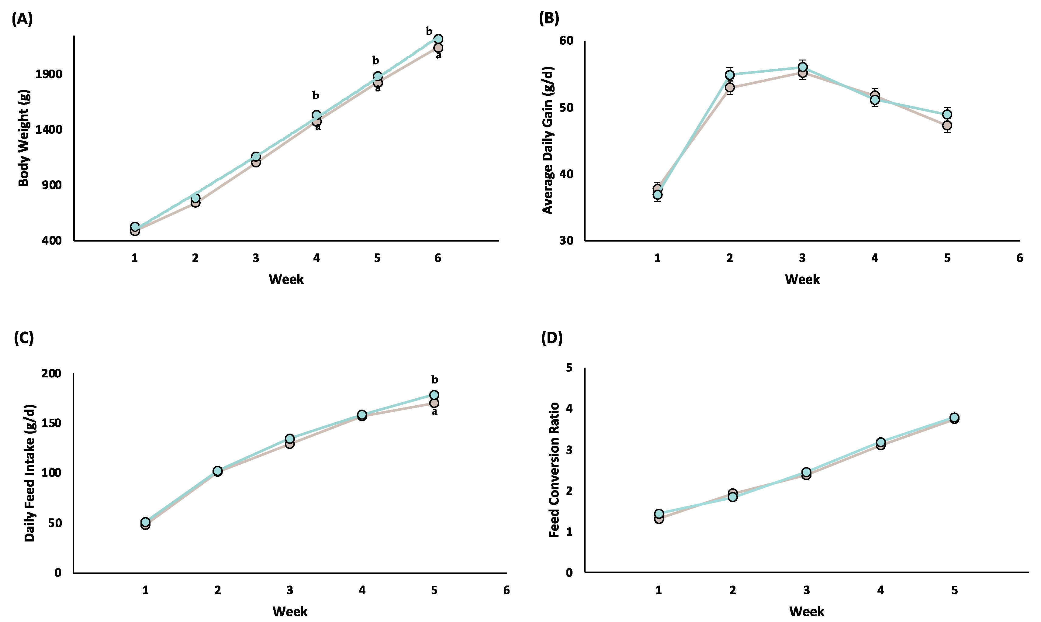
and R37V
) on body weight (A), average daily gain (B), daily feed intake (C) and feed conversion ratio (D) in function of the time. Week 1 (28–35 d); week 2 (35–42 d); week 3 (42–49 d); week 4 (49–56 d); week 5 (56–63 d). a,b Means within a row with a different letter were significantly different at p < 0.05. Only performed on healthy animals.
and R37V
) on body weight (A), average daily gain (B), daily feed intake (C) and feed conversion ratio (D) in function of the time. Week 1 (28–35 d); week 2 (35–42 d); week 3 (42–49 d); week 4 (49–56 d); week 5 (56–63 d). a,b Means within a row with a different letter were significantly different at p < 0.05. Only performed on healthy animals.
| Ingredients | |
|---|---|
| Wheat bran | 303 |
| Straw | 177 |
| Sunflower meal | 198 |
| Alfalfa hay | 105 |
| Beet pulp | 121 |
| Barley | 20 |
| Beet molasses | 29 |
| Flour cookies | 30 |
| Palm oil | 3.5 |
| Sodium chloride | 4.0 |
| Calcium carbonate | 4.5 |
| L-Threonine | 0.6 |
| DL-Methionine | 0.5 |
| Vitamin-mineral mix 1 | 3.0 |
| Chemical composition | |
| Dry matter (DM; g/kg) | 897 |
| Ashes | 76 |
| Crude protein | 153 |
| Crude fibre | 195 |
| Ether extract | 26.9 |
| Neutral detergent fibre | 365 |
| Acid detergent fibre | 204 |
| Acid detergent lignin | 42.2 |
| Starch | 156 |
| Generation of Selection | ||||||
|---|---|---|---|---|---|---|
| No. | R19V | R37V | p-Value | |||
| No. of observations at 63 d of age | 12 | 12 | ||||
| Dry matter (%): | 24 | 56.42 | ±0.82 | 57.28 | ±0.90 | 0.5397 |
| Ashes (%) | 24 | 7.52 | ±1.68 | 7.74 | ±0.60 | 0.7435 |
| Crude protein (%) | 24 | 74.43 | ±0.82 | 74.11 | ±0.84 | 0.7826 |
| Neutral detergent fibre (%) | 24 | 69.63 | ±1.87 | 68.82 | ±1.62 | 0.2697 |
| Acid detergent fibre (%) | 24 | 40.51 | ±0.41 | 39.98 | ±0.42 | 0.3742 |
| Acid detergent lignin (%) | 24 | 9.15 | ±0.23 | 9.03 | ±0.23 | 0.7334 |
| Generation of Selection | ||||||
|---|---|---|---|---|---|---|
| No. | R19V | R37V | p-Value | |||
| No. of observations at 63 d of age | 83 | 80 | ||||
| Live weight at 28 d (g) | 163 | 484.9 | ±30.4 | 523.5 | ±28.9 | 0.1818 |
| Daily feed intake (g/d) | 163 | 121.1 | ±2.5 | 125.0 | ±2.3 | 0.0875 |
| Average daily gain (g/d) | 163 | 49.00 | ±0.7132 | 49.57 | ±0.67 | 0.3745 |
| Feed conversion ratio | 163 | 2.496 | ±0.041 | 2.543 | ±0.038 | 0.2105 |
| Live weight at 63 d (g) | 163 | 2139 | ±30.4 | 2218 | ±28.6 | 0.0062 |
| Mortality (%) | 163 | 31 | 29 | 0.6578 | ||
Disclaimer/Publisher’s Note: The statements, opinions and data contained in all publications are solely those of the individual author(s) and contributor(s) and not of MDPI and/or the editor(s). MDPI and/or the editor(s) disclaim responsibility for any injury to people or property resulting from any ideas, methods, instructions or products referred to in the content. |
© 2023 by the authors. Licensee MDPI, Basel, Switzerland. This article is an open access article distributed under the terms and conditions of the Creative Commons Attribution (CC BY) license (https://creativecommons.org/licenses/by/4.0/).
Share and Cite
Marín-García, P.J.; Martínez-Paredes, E.; Ródenas, L.; Llobat, L.; Cambra-López, M.; Blas, E.; Pascual, J.J. A Trial Comparing Growing Rabbits Differing in 18 Generations of Selection for Growth Rate Reveals a Potential Lack of Effectiveness in the Genetic Selection Progress. Animals 2023, 13, 3625. https://doi.org/10.3390/ani13233625
Marín-García PJ, Martínez-Paredes E, Ródenas L, Llobat L, Cambra-López M, Blas E, Pascual JJ. A Trial Comparing Growing Rabbits Differing in 18 Generations of Selection for Growth Rate Reveals a Potential Lack of Effectiveness in the Genetic Selection Progress. Animals. 2023; 13(23):3625. https://doi.org/10.3390/ani13233625
Chicago/Turabian StyleMarín-García, Pablo Jesús, Eugenio Martínez-Paredes, Luis Ródenas, Lola Llobat, María Cambra-López, Enrique Blas, and Juan José Pascual. 2023. "A Trial Comparing Growing Rabbits Differing in 18 Generations of Selection for Growth Rate Reveals a Potential Lack of Effectiveness in the Genetic Selection Progress" Animals 13, no. 23: 3625. https://doi.org/10.3390/ani13233625
APA StyleMarín-García, P. J., Martínez-Paredes, E., Ródenas, L., Llobat, L., Cambra-López, M., Blas, E., & Pascual, J. J. (2023). A Trial Comparing Growing Rabbits Differing in 18 Generations of Selection for Growth Rate Reveals a Potential Lack of Effectiveness in the Genetic Selection Progress. Animals, 13(23), 3625. https://doi.org/10.3390/ani13233625

