Effect of Lactate Minimum Speed-Guided Training on the Fluid, Electrolyte and Acid-Base Status of Horses
Abstract
Simple Summary
Abstract
1. Introduction
2. Materials and Methods
2.1. Animals
2.2. Study Design
2.3. Effort Test
2.4. Blood Collection and Analysis
2.5. Training
2.6. Statistical Analysis
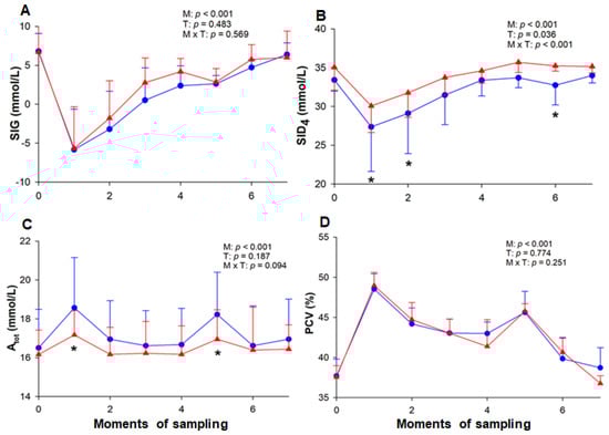
3. Results
4. Discussion
5. Conclusions
Supplementary Materials
Author Contributions
Funding
Institutional Review Board Statement
Informed Consent Statement
Data Availability Statement
Acknowledgments
Conflicts of Interest
References
- Muñoz, A.; Castejón-Riber, C.; Riber, C.; Esgueva, M.; Trigo, P.; Castejón, F. Current knowledge of pathologic mechanisms and derived practical applications to prevent metabolic disturbances and exhaustion in the endurance horse. J. Equine Vet. Sci. 2017, 51, 24–33. [Google Scholar] [CrossRef]
- Mckeever, K.H. Effect of exercise on fluid balance and renal function in horses. Vet. Clin. N. Am. Equine Pract. 1998, 14, 23–44. [Google Scholar] [CrossRef] [PubMed]
- Constable, P.D. The physicochemical approach for evaluating acid-base balance in exercising horses. Equine Vet. J. 1999, 30, 636–638. [Google Scholar] [CrossRef]
- Goachet, A.G.; Julliand, V. Implementation of field cardio-respiratory measurements to assess energy expenditure in Arabian endurance horses. Animal 2015, 9, 787–792. [Google Scholar] [CrossRef] [PubMed]
- Fazio, F.; Aragona, F.; Piccione, G.; Pino, C.; Giannetto, C. Cardiac biomarker responses to acute exercise in show jumping horses. J. Equine Vet. Sci. 2023, 128, 104882. [Google Scholar] [CrossRef]
- Hurcombre, S.D.A. Clinical pathology of the racehorse. Vet. Clin. N. Am. Equine Pract. 2020, 36, 135–145. [Google Scholar] [CrossRef]
- De Maré, L.; Boshuizen, B.; Vega, C.V.M.; Meeûs, C.; Plancke, L.; Gansemans, Y.; Van Nieuwerburgh, F.; Deforce, D.; Oliveira, J.E.; Hosotani, G.; et al. Profiling the aerobic window of horses in response to training by means of a modified lactate minimum speed test: Flatten the curve. Front. Physiol. 2022, 13, 792052. [Google Scholar] [CrossRef]
- Santos, M.M.; Ramos, G.V.; De Figueiredo, I.M.; Silva, T.C.B.; Lacerda-Neto, J.C. Cardiac changes after lactate-guided conditioning in young Purebred Arabian horses. Animals 2023, 13, 1800. [Google Scholar] [CrossRef]
- Messias, L.H.D.; Gobatto, C.A.; Beck, W.R.; Manchado-Gobatto, F.B. The lactate minimum test: Concept, methodological aspects and insights for future investigations in human and animal models. Front. Physiol. 2017, 8, 389. [Google Scholar] [CrossRef]
- Wahl, P.; Zwingmann, L.; Manunzio, C.; Wolf, J.; Bloch, W. Higher accuracy of the lactate minimum test compared to established threshold concepts to determine maximal lactate steady state in running. Int. J. Sports Med. 2018, 39, 541–548. [Google Scholar] [CrossRef]
- Lindner, A.; Mosen, H.; Kissenbeck, S.; Fuhrmann, H.; Sallmann, H.P. Effect of blood lactate-guided conditioning of horses with exercises of differing durations and intensities on heart rate and biochemical blood variables. J. Anim. Sci. 2009, 87, 3211–3217. [Google Scholar] [CrossRef][Green Version]
- Campbell, E.H. Lactate-driven equine conditioning programmes. Vet. J. 2011, 19, 199–207. [Google Scholar] [CrossRef]
- Gondim, F.J.; Zoppi, C.C.; Pereira-da-Silva, L.; de Macedo, D.V. Determination of the anaerobic threshold and maximal lactate steady state speed in equines using the lactate minimum speed protocol. Comp. Biochem. Physiol. Part A Mol. Integr. Physiol. 2007, 146, 375–380. [Google Scholar] [CrossRef] [PubMed]
- Miranda, M.C.P.C.; Queiroz-Neto, A.; Silva-Júnior, J.R.; Pereira, M.C.; Soares, O.A.B.; Borghi, R.T.; Ferraz, G.C. Comparison of the lactate minimum speed and the maximal lactate steady state to determine aerobic capacity in purebred Arabian horses. N. Z. Vet. J. 2014, 62, 15–20. [Google Scholar] [CrossRef] [PubMed]
- Soares, O.A.B.; Ferraz, G.C.; Martins, C.B.; Dias, D.P.M.; Lacerda-Neto, J.C.; Queiroz-Neto, A. Comparison of maximal lactate steady state with V2, V4, individual anaerobic threshold and lactate minimum speed in horses. Arq. Bras. Med. Vet. Zootec. 2014, 66, 39–46. [Google Scholar] [CrossRef]
- Santos, M.M.; Benvenuto, G.V.; Ramos, G.V.; Titotto, A.C.; Adão, M.S.; De Lacerda, L.C.C.; Lisbôa, J.A.N.; Lacerda-Neto, J.C. Effect of lactate minimum speed-guided conditioning on selected blood parameters of horses. J. Equine Vet. Sci. 2022, 119, 104133. [Google Scholar] [CrossRef]
- Tegtbur, U.; Busse, M.W.; Braumann, K.M. Estimation of an individual equilibrium between lactate production and catabolism during exercise. Med. Sci. Sport. Exerc. 1993, 25, 620–627. [Google Scholar] [CrossRef]
- National Research Council: Nutrient Requirements of Horses. Available online: https://nrc88.nas.edu/nrh/ (accessed on 20 November 2019).
- Pardono, E.; Sotero, R.C.; Hiyane, W.; Mota, M.R.; Campbell, C.S.G.; Nakamura, F.Y.; Simões, H.G. Maximal lactate steady-state prediction through quadratic modeling of selected stages of the lactate minimum test. J. Strength Cond. Res. 2008, 22, 1073–1080. [Google Scholar] [CrossRef]
- Constable, P.D. A simplified strong ion model for acid-base equilibria: Application to horse plasma. J. Appl. Physiol. 1997, 83, 297–311. [Google Scholar] [CrossRef]
- Constable, P.D.; Hinchcliff, K.W.; Muir, W. Comparision of anion gap and strong ion gap as predictors of unmeasured strong ion concentrion in plasma and serum from horses. Am. J. Vet. Res. 1998, 59, 881–887. [Google Scholar]
- Bland, J.M.; Altman, D.G. Measuring agrément in method comparision studies. Stat. Methods Med. Res. 1999, 8, 135–160. [Google Scholar] [CrossRef] [PubMed]
- Halestrap, A.P. Monocarboxylic acid transport. Compr. Physiol. 2013, 3, 1611–1643. [Google Scholar] [PubMed]
- Glenn, T.C.; Martin, N.A.; Horning, M.A.; McArthur, D.L.; Hovda, D.A.; Vespa, P.; Brooks, G.A. Lactate: Brain fuel in human traumatic brain injury: A comparison with normal healthy control subjects. J. Neurotrauma 2015, 32, 820–832. [Google Scholar] [CrossRef]
- Aguilera-Tejero, E.; Estepa, J.C.; López, I.; Bas, S.; Mayer-Valor, R.; Rodríguez, M. Quantitative analysis of acid-base balance in show jumpers before and after exercise. Res. Vet. Sci. 2000, 68, 103–108. [Google Scholar] [CrossRef] [PubMed]
- Kirsch, K.; Sandersen, C. Traditional and quantitative analysis of acid-base and electrolyte imbalances in horses competing in cross-country competitions at 2-star to 5-star level. J. Vet. Intern. Med. 2020, 34, 909–921. [Google Scholar] [CrossRef]
- Carter, H.; Jones, A.M.; Doust, J.H. Effect of 6 weeks of endurance training on the lactate minimum speed. J. Sports Sci. 1999, 17, 957–967. [Google Scholar] [CrossRef]
- Piccione, G.; Messina, V.; Casella, S.; Giannetto, C.; Caola, G. Blood lactate levels during exercise in athletic horses. Comp. Clin. Pathol. 2010, 19, 535–539. [Google Scholar] [CrossRef]
- Miranda, A.C.T.; Padilha, F.G.F.; Ramos, M.T.; Dimache, L.A.G.; Godoi, F.N.; Galina Filho, A.; Almeida, F.Q. Hemogasometry of eventing horses before and after intense exercise on a high speed treadmill. Livest. Sci. 2016, 186, 85–87. [Google Scholar] [CrossRef]
- Sundberg, C.W.; Fitts, R.H. Bioenergetic basis of skeletal muscle fatigue. Curr. Opin. Physiol. 2019, 10, 118–127. [Google Scholar] [CrossRef]
- Da Silva, M.A.G. Concentração de Lactato, Eletrólitos e Hemogasometria em Equinos Não Treinados e Treinados Durante Testes de Esforço Progressivo. Ph.D. Thesis, Faculdade de Ciências Agrárias e Veterinárias, Universidade Estadual Paulista “Júlio de Mesquita Filho”, Vila Industrial, Brazil, 2008. [Google Scholar]
- Rose, R.J.; Allen, J.R.; Hodgson, D.R.; Stewart, J.H.; Chan, W. Responses to submaximal treadmill exercise and training in the horse: Changes in haematology, arterial blood gas and acid base measurements, plasma biochemical values and heart rate. Vet. Rec. 1983, 113, 612–618. [Google Scholar]
- Roberts, C.A.; Marlin, D.J.; Lekeux, P. The effects of training on ventilation and blood gases in exercising thoroughbreds. Equine Vet. J. 1999, 30, 57–61. [Google Scholar] [CrossRef]
- Martins, L.P.; Di Filippo, P.A.; Meireles, M.A.D.; Peçanha, R.M.S.; Mello, L.M.; Ribeiro, L.M.F.; Viana, I.S. Effect of marcha exercise on serum electrolytes and acid–base balance in mangalarga marchador horses. J. Equine Vet. Sci. 2017, 49, 108–112. [Google Scholar] [CrossRef]
- Attenburrow, D.P.; Goss, V.A. The mechanical coupling of lung ventilation to locomotions in the horse. Med. Eng. Phys. 1994, 16, 182–192. [Google Scholar] [CrossRef] [PubMed]
- Bernardi, N.S.; Gomide, L.M.W.; Antunes, A.D.; Gravena, K.; Dias, D.P.M.; Queiroz, D.J.; Canello, V.A.; Silva, A.M.G.B.; Brandi, R.A.; Lacerda-Neto, J.C. Equilíbrio ácido-base e hidroeletrolítico em equinos submetidos à simulação de enduro FEI. Arq. Bras. Med. Vet. Zootec. 2018, 70, 359–367. [Google Scholar] [CrossRef]
- Robert, C.; Goachet, A.G.; Fraipont, A.; Votion, D.M.; Van Erck, E.; Leclerc, J.L. Hydration and electrolyte balance in horses during an endurance season. Equine Vet. J. 2010, 42, 98–104. [Google Scholar] [CrossRef]
- Assenza, A.; Bergero, D.; Congiu, F.; Tosto, F.; Giannetto, C.; Piccione, G. Evaluation of serum electrolytes and blood lactate concentration during repeated maximal exercise in horse. J. Equine Vet. Sci. 2014, 74, 1175–1180. [Google Scholar] [CrossRef]
- Masri, M.; Freestone, J.F.; Wolfsheimer, K.J.; Shoemaker, K. Alterations in plasma volume, plasma constituents, renin activity and aldosterone induced by maximal exercise in the horse. Equine Vet. J. 1990, 22, 72–77. [Google Scholar] [CrossRef]
- Prado, R.O.F.; Morales, B.J.E.; García, M.L.J.; Molina-Ochoa, J.; Valpuesta, S.G.; Hernández, R.J.A.; García, C.A.C. Effects of exercise on cations/anions in blood serum of English Thoroughbred horses. Arq. Bras. Med. Vet. Zootec. 2019, 71, 909–916. [Google Scholar] [CrossRef]
- McKeever, K.H.; Schurg, W.A.; Jarret, S.H.; Convertino, V.A. Exercise training-induced hypervolemia in the horse. Med. Sci. Sport. Exerc. 1987, 19, 21–27. [Google Scholar] [CrossRef]
- McCutcheon, L.J.; Geor, R.J.; Hare, M.J.; Kingston, J.K.; Staempfli, H.R. Sweat composition: Comparison of collection methods and effects of exercise intensity. Equine Vet. J. 1995, 27, 279–284. [Google Scholar] [CrossRef]
- Lindinger, M.I. Acid-base physiology at rest, during exercise and in response to training. In Equine Sports Medicine and Surgery: Basic and Clinical Sciences of the Equine Athlete, 1st ed.; Hinchcliff, K.W., Kaneps, A.J., Geor, R.J., Eds.; Elsevier Saunders: St. Louis, MO, USA, 2014; pp. 855–879. [Google Scholar]
- Coenen, M. Exercise and stress: Impact on adaptive processes involving water and electrolytes. Livest. Prod. Sci. 2005, 92, 131–145. [Google Scholar] [CrossRef]
- Lindinger, M.I.; Cairns, S.P. Regulation of muscle potassium: Exercise performance, fatigue and health implications. Eur. J. Appl. Physiol. 2021, 121, 721–748. [Google Scholar] [CrossRef] [PubMed]
- Rivero, J.L.L.; Piercy, R.J. Muscle physiology: Responses to exercise and training. In Equine Exercise Physiology, 1st ed.; Hinchcliff, K.W., Geor, R.J., Kaneps, A.J., Eds.; Elsevier Saunders: St. Louis, MO, USA, 2008; pp. 30–80. [Google Scholar]
- DiBartola, S.P. Fluid, Electrolyte, and Acid-Base Disorders in Small Animal Practice, 4th ed.; Elsevier Saunders: St. Louis, MO, USA, 2011. [Google Scholar]
- Jansson, A.; Lindholm, A.; Dahlborn, K. Effects of acute intravenous aldosterone administration on Na+, K+, and water excretion in the horse. J. Appl. Physiol. 2002, 82, 135–141. [Google Scholar] [CrossRef]
- Carlson, G.P. Interrelationships between fluid, electrolyte and acid-base balance during maximal exercise. Equine Vet. J. 1995, 18, 261–265. [Google Scholar] [CrossRef]
- Orozco, C.A.G. Respostas Hematológicas e Bioquímicas de Equinos da Raça Puro Sangue Árabe em Testes de Esforço Progressivo Realizados em Rsteira Rolante Durante a Fase de Treinamento e em Prova de Enduro a Campo. Ph.D. Thesis, Faculdade de Ciências Agrárias e Veterinárias, Universidade Estadual Paulista “Júlio de Mesquita Filho”, Vila Industrial, Brazil, 2007. [Google Scholar]
- Waller, A.P.; Lindinger, M.I. Tracing acid-base variables in exercising horses: Effects of horses of pre-loading oral electrolytes. Animals 2023, 13, 73. [Google Scholar] [CrossRef] [PubMed]
- Constable, P.D.; Hinchcliff, K.W.; Done, S.H.; Grünberg, W. Veterinary Medicine: A Textbook of the Disease of Cattle, Horses, Sheep, Pigs, and Goats, 11th ed.; Elsevier Ltd.: St. Louis, MO, USA, 2017. [Google Scholar]




| Phase | Moment | Speed (m/s) | Duration | Treadmill Grade (%) |
|---|---|---|---|---|
| Rest | M0 | ... | ... | ... |
| Warm-up | ... | 1.4 | 10 min | 0 |
| ... | 3.5 | 5 min | 0 | |
| HLac | ... | 10 | 2 min | 10 |
| M1 | 1.7 | 2 min | 0 | |
| Incremental effort | M2 | 3 | 4 min and 27 s | 6 |
| M3 | 3.5 | 3 min and 49 s | 6 | |
| M4 | 4 | 3 min and 20 s | 6 | |
| ... | 4.5 | 2 min and 58 s | 6 | |
| ... | 5 | 2 min and 40 s | 6 | |
| ... | 5.5 | 2 min and 55 s | 6 | |
| ... | 6 | 2 min and 13 s | 6 | |
| ... | 6.5 | 2 min and 03 s | 6 | |
| ... | 7 | 1 min and 54 s | 6 | |
| M5 | 7.5 | 1 min and 47 s | 6 | |
| Cool-down | ... | 3.5 | 3 min | 0 |
| ... | 3 | 2 min | 0 | |
| M6 | 1.7 | 5 min | 0 | |
| 20 min after | M7 | ... | ... | ... |
| Phase | Moment | Lactate (mmol/L) | AG (mmol/L) | TPP (g/dL) | |||
|---|---|---|---|---|---|---|---|
| T-1 | T-2 | T-1 | T-2 | T-1 | T-2 | ||
| At rest | M0 | 0.91 ± 0.04 Ad | 0.93 ± 0.08 Ac | 7.38 ± 2.24 Ae | 7.29 ± 3.38 Ae | 7.37 ± 0.88 Ab | 7.22 ± 0.56 Aa |
| HLac | M1 | 11.59 ± 5.93 Aa | 9.95 ± 3.33 Aa | 20.85 ± 5.50 Aa | 19.91 ± 5.50 Aa | 8.29 ± 1.16 Aa | 7.67 ± 0.56 Ba |
| IE | M2 | 8.11 ± 6.13 Ab | 5.90 ± 3.72 Ab | 17.24 ± 5.88 Ab | 15.45 ± 5.01 Ab | 7.57 ± 0.89 Ab | 7.22 ± 0.62 Aa |
| M3 | 4.81 ± 4.52 Abc | 2.55 ± 2.49 Abc | 13.50 ± 5.18 Ac | 11.18 ± 3.12 Acd | 7.42 ± 0.81 Ab | 7.24 ± 0.73 Aa | |
| M4 | 2.88 ± 2.77 Acd | 1.35 ± 1.08 Ac | 11.86 ± 3.75 Acd | 9.78 ± 1.73 Acde | 7.44 ± 0.83 Ab | 7.22 ± 0.65 Aa | |
| M5 | 4.54 ± 1.81 Ac | 2.68 ± 0.98 Abc | 13.00 ± 2.39 Ac | 11.81 ± 2.16 Ac | 8.14 ± 0.97 Aa | 7.57 ± 0.68 Ba | |
| Cool-down | M6 | 1.50 ± 0.54 Acd | 0.91 ± 0.07 Ac | 9.58 ± 2.06 Ade | 8.49 ± 1.21 Ade | 7.42 ± 0.91 Ab | 7.32 ± 0.99 Aa |
| 20 min after | M7 | 1.49 ± 0.44 Acd | 1.56 ± 0.12 Ac | 8.20 ± 2.41 Ae | 7.91 ± 1.10 Ade | 7.57 ± 0.92 Ab | 7.34 ± 0.56 Aa |
| Phase | M | Na+ (mmol/L) | K+ (mmol/L) | Cl− (mmol/L) | iCa2+ (mmol/L) | ||||
|---|---|---|---|---|---|---|---|---|---|
| T-1 | T-2 | T-1 | T-2 | T-1 | T-2 | T-1 | T-2 | ||
| At rest | M0 | 135.66 ± 2.91 Acd | 136.46 ± 2.03 Acd | 3.91 ± 0.29 Ade | 3.66 ± 0.24 Bb | 105.24 ± 2.50 Aa | 104.14 ± 1.12 Aabcd | 1.53 ± 0.07 Aa | 1.51 ± 0.11 Aa |
| HLac | M1 | 139.56 ± 3.89 Aa | 139.68 ± 3.39 Aa | 4.38 ± 0.18 Aab | 4.26 ± 0.18 Aa | 104.99 ± 2.14 Aab | 103.91 ± 1.14 Aabcde | 1.47 ± 0.11 Aab | 1.43 ± 0.07 Ab |
| IE | M2 | 138.21 ± 3.20 Aab | 137.75 ± 2.41 Abc | 4.28 ± 0.13 Abc | 4.10 ± 0.21 Aa | 105.26 ± 2.28 Aa | 104.19 ± 1.48 Aabc | 1.42 ± 0.07 Abc | 1.37 ± 0.06 Abcd |
| M3 | 137.07 ± 2.95 Abc | 136.55 ± 1.60 Acd | 4.37 ± 0.15 Aabc | 4.18 ± 0.19 Aa | 105.16 ± 1.92 Aa | 104.44 ± 0.95 Aa | 1.41 ± 0.07 Abc | 1.35 ± 0.04 Abcd | |
| M4 | 136.95 ± 2.59 Abc | 136.54 ± 0.90 Acd | 4.47 ± 0.09 Aab | 4.18 ± 0.19 Ba | 105.15 ± 1.75 Aa | 104.76 ± 1.44 Aa | 1.42 ± 0.06 Abc | 1.34 ± 0.05 Bcdef | |
| M5 | 137.82 ± 2.50 Aab | 137.76 ± 1.26 Abc | 4.69 ± 0.19 Aa | 4.42 ± 0.21 Ba | 104.28 ± 2.13 Aabc | 103.81 ± 1.21 Aabcde | 1.36 ± 0.06 Acd | 1.28 ± 0.07 Bdef | |
| Cool-down | M6 | 135.38 ± 2.32 Acd | 135.41 ± 0.46 Ad | 3.54 ± 0.28 Adef | 3.39 ± 0.18 Ab | 104.69 ± 1.85 Aabc | 102.65 ± 0.76 Aef | 1.28 ± 0.11 Ae | 1.27 ± 0.06 Af |
| 20 min after | M7 | 135.78 ± 1.98 Acd | 135.95 ± 0.87 Acd | 3.26 ± 0.84 Afg | 3.22 ± 0.25 Ab | 103.56 ± 2.35 Acd | 102.84 ± 0.74 Acde | 1.39 ± 0.08 Ac | 1.34 ± 0.07 Adef |
Disclaimer/Publisher’s Note: The statements, opinions and data contained in all publications are solely those of the individual author(s) and contributor(s) and not of MDPI and/or the editor(s). MDPI and/or the editor(s) disclaim responsibility for any injury to people or property resulting from any ideas, methods, instructions or products referred to in the content. |
© 2023 by the authors. Licensee MDPI, Basel, Switzerland. This article is an open access article distributed under the terms and conditions of the Creative Commons Attribution (CC BY) license (https://creativecommons.org/licenses/by/4.0/).
Share and Cite
Titotto, A.C.; Santos, M.M.; Ramos, G.V.; Adão, M.d.S.; Benvenuto, G.V.; De Lacerda, L.C.C.; Lisbôa, J.A.N.; Lacerda-Neto, J.C. Effect of Lactate Minimum Speed-Guided Training on the Fluid, Electrolyte and Acid-Base Status of Horses. Animals 2023, 13, 3290. https://doi.org/10.3390/ani13203290
Titotto AC, Santos MM, Ramos GV, Adão MdS, Benvenuto GV, De Lacerda LCC, Lisbôa JAN, Lacerda-Neto JC. Effect of Lactate Minimum Speed-Guided Training on the Fluid, Electrolyte and Acid-Base Status of Horses. Animals. 2023; 13(20):3290. https://doi.org/10.3390/ani13203290
Chicago/Turabian StyleTitotto, Angélica C., Maíra M. Santos, Gabriel V. Ramos, Milena dos S. Adão, Guilherme V. Benvenuto, Luciana C. C. De Lacerda, Júlio A. N. Lisbôa, and José C. Lacerda-Neto. 2023. "Effect of Lactate Minimum Speed-Guided Training on the Fluid, Electrolyte and Acid-Base Status of Horses" Animals 13, no. 20: 3290. https://doi.org/10.3390/ani13203290
APA StyleTitotto, A. C., Santos, M. M., Ramos, G. V., Adão, M. d. S., Benvenuto, G. V., De Lacerda, L. C. C., Lisbôa, J. A. N., & Lacerda-Neto, J. C. (2023). Effect of Lactate Minimum Speed-Guided Training on the Fluid, Electrolyte and Acid-Base Status of Horses. Animals, 13(20), 3290. https://doi.org/10.3390/ani13203290

