Stakeholders’ Perceptions of Biosecurity Implementation in Italian Poultry Farms
Abstract
:Simple Summary
Abstract
1. Introduction
2. Materials and Methods
2.1. Target Population and Data Collection
2.2. Data Analysis
3. Results
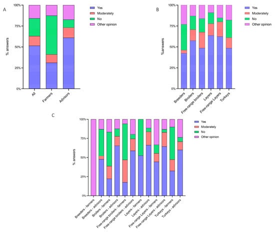
3.1. Level of Implementation of BMs as Perceived by Farmers and Advisors
3.2. Reasons for Not Implementing BMs According to the Farmers’ and Advisors’ Perceptions
3.3. Opinion of Farmers and Advisors on the Effectiveness of BMs Not Implemented in Poultry Farms
4. Discussion
5. Conclusions
Supplementary Materials
Author Contributions
Funding
Institutional Review Board Statement
Informed Consent Statement
Data Availability Statement
Acknowledgments
Conflicts of Interest
References
- Koutsoumanis, K.; Allende, A.; Álvarez-Ordóñez, A.; Bolton, D.; Bover-Cid, S.; Chemaly, M.; Davies, R.; De Cesare, A.; Herman, L.; Hilbert, F.; et al. Role Played by the Environment in the Emergence and Spread of Antimicrobial Resistance (AMR) through the Food Chain. EFSA J. 2021, 19, 6651. [Google Scholar] [CrossRef]
- Abd El-Hack, M.E.; El-Saadony, M.T.; Shehata, A.M.; Arif, M.; Paswan, V.K.; Batiha, G.E.S.; Khafaga, A.F.; Elbestawy, A.R. Approaches to Prevent and Control Campylobacter Spp. Colonization in Broiler Chickens: A Review. Environ. Sci. Pollut. Res. 2021, 28, 4989–5004. [Google Scholar] [CrossRef] [PubMed]
- Machado, P.C., Jr.; Chung, C.; Hagerman, A. Modeling Salmonella Spread in Broiler Production: Identifying Determinants and Control Strategies. Front. Vet. Sci. 2020, 7, 564. [Google Scholar] [CrossRef] [PubMed]
- Hulme, P.E. One Biosecurity: A Unified Concept to Integrate Human, Animal, Plant, and Environmental Health. Emerg. Top. Life Sci. 2021, 4, 539–549. [Google Scholar] [CrossRef]
- Renault, V.; Humblet, M.F.; Saegerman, C. Biosecurity Concept: Origins, Evolution and Perspectives. Animals 2022, 12, 63. [Google Scholar] [CrossRef]
- Huber, N.; Andraud, M.; Sassu, E.L.; Prigge, C.; Zoche-Golob, V.; Käsbohrer, A.; D’Angelantonio, D.; Viltrop, A.; Żmudzki, J.; Jones, H.; et al. What Is a Biosecurity Measure? A Definition Proposal for Animal Production and Linked Processing Operations. One Health 2022, 15, 433. [Google Scholar] [CrossRef]
- Racicot, M.; Venne, D.; Durivage, A.; Vaillancourt, J.P. Evaluation of the Relationship between Personality Traits, Experience, Education and Biosecurity Compliance on Poultry Farms in Québec, Canada. Prev. Vet. Med. 2012, 103, 201–207. [Google Scholar] [CrossRef]
- Scott, A.B.; Singh, M.; Groves, P.; Hernandez-Jover, M.; Barnes, B.; Glass, K.; Moloney, B.; Black, A.; Toribio, J.A. Biosecurity Practices on Australian Commercial Layer and Meat Chicken Farms: Performance and Perceptions of Farmers. PLoS ONE 2018, 13, e0195582. [Google Scholar] [CrossRef]
- World Organisation for Animal Health. Terrestrial Animal Health Code. In Biosecurity Procedures in Poultry Production; World Organisation for Animal Health: Paris, France, 2023; Chapter 6. [Google Scholar]
- Dewulf, J.; Immerseel, F.V. General Principles of Biosecurity in Animal Production and Veterinary Medicine; CABI: Wallingford, UK, 2023. [Google Scholar]
- Gelaude, P.; Schlepers, M.; Verlinden, M.; Laanen, M.; Dewulf, J. Biocheck.UGent: A Quantitative Tool to Measure Biosecurity at Broiler Farms and the Relationship with Technical Performances and Antimicrobial Use. Poult. Sci. 2014, 93, 2740–2751. [Google Scholar] [CrossRef]
- Collett, S.R.; Smith, J.A.; Boulianne, M.; Owen, R.L.; Gingerich, E.; Singer, R.S.; Johnson, T.J.; Hofacre, C.L.; Berghaus, R.D.; Stewart-Brown, B. Principles of Disease Prevention, Diagnosis, and Control. In Diseases of Poultry; Wiley Online Library: Hoboken, NJ, USA, 2020; pp. 1–78. ISBN 9781119371199. [Google Scholar]
- Racicot, M.; Cardinal, A.M.; Tremblay, D.; Vaillancourt, J.P. Technologies Monitoring and Improving Biosecurity Compliance in Barn Anterooms. Front. Vet. Sci. 2022, 9, 5144. [Google Scholar] [CrossRef]
- Delpont, M.; Racicot, M.; Durivage, A.; Fornili, L.; Guerin, J.L.; Vaillancourt, J.P.; Paul, M.C. Determinants of Biosecurity Practices in French Duck Farms after a H5N8 Highly Pathogenic Avian Influenza Epidemic: The Effect of Farmer Knowledge, Attitudes and Personality Traits. Transbound. Emerg. Dis. 2021, 68, 51–61. [Google Scholar] [CrossRef]
- Racicot, M.; Venne, D.; Durivage, A.; Vaillancourt, J.P. Description of 44 Biosecurity Errors While Entering and Exiting Poultry Barns Based on Video Surveillance in Quebec, Canada. Prev. Vet. Med. 2011, 100, 193–199. [Google Scholar] [CrossRef]
- Tilli, G.; Laconi, A.; Galuppo, F.; Mughini-Gras, L.; Piccirillo, A. Assessing Biosecurity Compliance in Poultry Farms: A Survey in a Densely Populated Poultry Area in North East Italy. Animals 2022, 12, 1409. [Google Scholar] [CrossRef] [PubMed]
- Fornasiero, D.; Fusaro, A.; Zecchin, B.; Mazzucato, M.; Scolamacchia, F.; Manca, G.; Terregino, C.; Dorotea, T.; Mulatti, P. Integration of Epidemiological and Genomic Data to Investigate H5N1 HPAI Outbreaks in Northern Italy in 2021–2022. Pathogens 2023, 12, 100. [Google Scholar] [CrossRef] [PubMed]
- Nespeca, R.; Vaillancourt, J.P.; Morgan Morrow, W.E. Validation of a Poultry Biosecurity Survey. Prev. Vet. Med. 1997, 31, 73–86. [Google Scholar] [CrossRef]
- Busani, L.; Pozza, M.D.; Bonfanti, L.; Toson, M.; Ferrè, N.; Marangon, S. Intervention Strategies for Low-Pathogenic Avian Influenza Control in Italy. Avian Dis. 2007, 51, 470–473. [Google Scholar] [CrossRef]
- Van Limbergen, T.; Dewulf, J.; Klinkenberg, M.; Ducatelle, R.; Gelaude, P.; Méndez, J.; Heinola, K.; Papasolomontos, S.; Szeleszczuk, P.; Maes, D. Scoring Biosecurity in European Conventional Broiler Production. Poult. Sci. 2018, 97, 74–83. [Google Scholar] [CrossRef]
- Kleven, S.H. Control of Avian Mycoplasma Infections in Commercial Poultry. Avian Dis. 2008, 52, 367–374. [Google Scholar] [CrossRef]
- Sivaramalingam, T.; Pearl, D.L.; McEwen, S.A.; Ojkic, D.; Guerin, M.T. A Temporal Study of Salmonella serovars from Fluff Samples from Poultry Breeder Hatcheries in Ontario between 1998 and 2008. Can. J. Vet. Res. 2013, 77, 12–23. [Google Scholar]
- Hertogs, K.; Haegeman, A.; Schaumont, D.; Gelaude, P.; De Zutter, L.; Dewulf, J.; Heyndrickx, M.; Rasschaert, G. Contamination Sources and Transmission Routes for Campylobacter on (Mixed) Broiler Farms in Belgium, and Comparison of the Gut Microbiota of Flocks Colonized and Uncolonized with Campylobacter. Pathogens 2021, 10, 66. [Google Scholar] [CrossRef]
- Silva, C.; Calva, E.; Maloy, S. One Health and Food-Borne Disease: Salmonella Transmission between Humans, Animals, and Plants. Microbiol. Spectr. 2014, 2. [Google Scholar] [CrossRef]
- Piccirillo, A.; Giacomelli, M.; Niero, G.; De Luca, C.; Carraro, L.; Ortali, G.; Mughini-Gras, L. Multilocus Sequence Typing of Campylobacter Jejuni and Campylobacter Coli to Identify Potential Sources of Colonization in Commercial Turkey Farms. Avian Pathol. 2018, 47, 455–466. [Google Scholar] [CrossRef] [PubMed]
- Wade, D.; Ashton-Butt, A.; Scott, G.; Reid, S.M.; Coward, V.; Hansen, R.D.E.; Banyard, A.C.; Ward, A.I. High Pathogenicity Avian Influenza: Targeted Active Surveillance of Wild Birds to Enable Early Detection of Emerging Disease Threats. Epidemiol. Infect. 2023, 151, 1856. [Google Scholar] [CrossRef]
- Ssematimba, A.; Hagenaars, T.J.; de Wit, J.J.; Ruiterkamp, F.; Fabri, T.H.; Stegeman, J.A.; de Jong, M.C.M. Avian Influenza Transmission Risks: Analysis of Biosecurity Measures and Contact Structure in Dutch Poultry Farming. Prev. Vet. Med. 2013, 109, 106–115. [Google Scholar] [CrossRef]
- Bauzile, B.; Sicard, G.; Guinat, C.; Andraud, M.; Rose, N.; Hammami, P.; Durand, B.; Paul, M.C.; Vergne, T. Unravelling Direct and Indirect Contact Patterns between Duck Farms in France and Their Association with the 2016–2017 Epidemic of Highly Pathogenic Avian Influenza (H5N8). Prev. Vet. Med. 2022, 198, 105548. [Google Scholar] [CrossRef] [PubMed]
- Gosling, R.J.; Martelli, F.; Wintrip, A.; Sayers, A.R.; Wheeler, K.; Davies, R.H. Assessment of Producers’ Response to Salmonella Biosecurity Issues and Uptake of Advice on Laying Hen Farms in England and Wales. Br. Poult. Sci. 2014, 55, 559–568. [Google Scholar] [CrossRef] [PubMed]
- Mota-Gutierrez, J.; Lis, L.; Lasagabaster, A.; Nafarrate, I.; Ferrocino, I.; Cocolin, L.; Rantsiou, K. Campylobacter Spp. Prevalence and Mitigation Strategies in the Broiler Production Chain. Food Microbiol. 2022, 104, 103998. [Google Scholar] [CrossRef] [PubMed]
- Hald, B.; Wedderkopp, A.; Madsen, M. Thermophilic Campylobacter Spp. in Danish Broiler Production: A Cross-Sectional Survey and a Retrospective Analysis of Risk Factors for Occurrence in Broiler Flocks. Avian Pathol. 2000, 29, 123–131. [Google Scholar] [CrossRef] [PubMed]
- Van Steenwinkel, S.; Ribbens, S.; Ducheyne, E.; Goossens, E.; Dewulf, J. Assessing Biosecurity Practices, Movements and Densities of Poultry Sites across Belgium, Resulting in Different Farm Risk-Groups for Infectious Disease Introduction and Spread. Prev. Vet. Med. 2011, 98, 259–270. [Google Scholar] [CrossRef]





| Farmers | Advisors | Total | |
|---|---|---|---|
| Demographics | No. (%) | No. (%) | No. (%) |
| Gender | |||
| Male | 27 (90.0) | 30 (81.1) | 57 (85.1) |
| Female | 3 (10.0) | 7 (18.9) | 10 (14.9) |
| Age group | |||
| <35 years | 5 (16.7) | 3 (8.1) | 8 (11.9) |
| 35–55 years | 18 (60.0) | 22 (59.5) | 40 (59.7) |
| >55 years | 7 (23.3) | 12 (32.4) | 19 (28.4) |
| Poultry sectors | |||
| Breeders | 3 (10.0) | 4 (10.8) | 7 (10.4) |
| Broilers | 5 (16.7) | 8 (21.6) | 13 (19.4) |
| Free-range broilers | 3 (10.0) | 5 (13.5) | 8 (11.9) |
| Layers | 6 (20.0) | 7 (18.9) | 13 (19.4) |
| Free-range layers | 3 (10.0) | 7 (18.9) | 10 (14.9) |
| Turkeys | 7 (23.3) | 6 (16.2) | 13 (19.4) |
| Ducks | 3 (10.0) | - | 3 (4.5) |
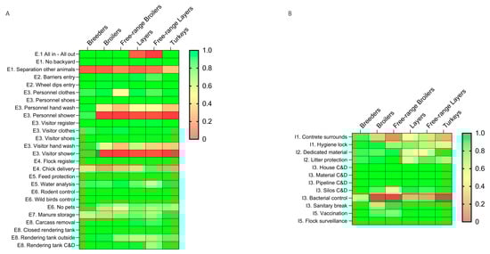
| Total | Breeders | Broilers | Free-Range Broilers | Layers | Free-Range Layers | Turkeys | Farmers | Advisors | |
|---|---|---|---|---|---|---|---|---|---|
| (%, 95% CI) | |||||||||
| External biosecurity | |||||||||
| Item E1—animal production on site | |||||||||
| “All-in/all-out” poultry production on site * | 68.7 (57.3–80.1) | 100 | 100 | 100 | 15.4 (0–38.1) | 0 | 100 | 76.7 (60.6–92.7) | 68 (48.3–87.7) |
| No backyard on site * | 97 (92.8–100) | 100 | 100 | 100 | 91.7 (73.3–100) | 90 (67.4–100) | 100 | 100 | 95.5 (86–100) |
| If other animal production occurs on the site (cattle and pigs); sanitary barriers with poultry (personal, material, etc.) | 20.9 (10.9–30.9) | 14.3 (0–49.2) | 15.4 (0–38.1) | 25 (0–63.7) | 16.7 (0–41.4) | 20 (0–50.2) | 38.5 (7.9–69.1) | 3.3 (0–10.1) | 40.9 (18.6–63.2) ^ |
| Item E2—structure and circulation on site | |||||||||
| Delimitation with a barrier or the closure of a professionally secured area with only necessary vehicles accessing the poultry house (transport vehicles for feed, chicks, poultry or eggs) * | 85.1 (76.3–93.8) | 100 | 86.4 (61.9–100) | 87.5 (57.9–100) | 75 (46.3–100) | 70 (35.4–100) | 92.3 (75.5–100) | 100 ^ | 72.7 (52.5–92.9) |
| Wheel dips for the disinfection of the vehicles or pulverization before entering on the site * | 95.5 (90.4–100) | 100 | 86.4 (61.9–100) | 87.5 (57.9–100) | 100 | 100 | 100 | 100 | 90.9 (77.9–100) |
| Item E3—personnel, visitors or teams | |||||||||
| Personnel—specific clothes used before entering the house | 74.6 (63.9–85.3) | 71.4 (26.3–100) | 76.9 (50.4–100) | 50 (5.3–94.7) | 75 (46.3–100) | 70 (35.4–100) | 84.6 (61.9–100) | 90 (78.6–100) ^ | 63.3 (41.8–85.5) |
| Personnel—specific shoes used before entering the house * | 97.0 (92.8–100) | 100 | 100 | 100 | 91.7 (73.3–100) | 90 (67.4–100) | 100 | 100 | 95.5 (86–100) |
| Personnel—hands washed before entering the house * | 52.2 (40–64.5) | 85.7 (50.8–100) | 46.2 (14.8–77.5) | 37.5 (0–80.8) | 50 (16.8–83.2) | 50 (12.3–87.7) | 38.5 (7.9–69.1) | 80 (64.8–95.2) ^ | 27.3 (7.1–47.5) |
| Personnel—showering before entering the house | 10.4 (2.9–18) | 71.4 (26.3–100) | 0 | 0 | 8.3 (0–26.7) | 10 (0–32.6) | 0 | 13.3 (0.4–26.2) | 13.6 (0–29.2) |
| Visitors or teams—registration for visitors and teams * | 94 (88.2–99.9) | 100 | 100 | 100 | 83.3 (58.6–100) | 80 (49.8–100) | 100 | 100 | 90.9 (77.9–100) |
| Visitors or teams—specific clothes worn before entering the house | 85.1 (76.3–93.8) | 71.4 (26.3–100) | 84.6 (61.9–100) | 75 (36.3–100) | 91.7 (73.3–100) | 90 (67.4–100) | 84.6 (61.9–100) | 100 | 72.7 (52.5–92.9) |
| Visitors or teams—specific shoes worn before entering the house * | 97 (92.8–100) | 100 | 100 | 100 | 91.7 (73.3–100) | 90 (67.4–100) | 100 | 100 | 95.5 (86–100) |
| Visitors or teams— hands washed before entering the house * | 52.2 (40–64.5) | 85.7 (50.8–100) | 53.8 (22.5–85.2) | 37.5 (0–80.8) | 58.3 (25.6–91.1) | 40 (3.1–76.9) | 38.5 (7.9–69.1) | 80 (64.8–95.2) ^ | 27.3 (7.1–47.5) |
| Visitors or teams—showering before entering the house | 11.9 (4–19.9) | 85.7 (50.8–100) | 0 | 0 | 8.3 (0–26.7) | 10 (0–32.6) | 0 | 16.7 (2.5–30.8) | 13.6 (0–29.2) |
| Item E4—the poultry upon arrival | |||||||||
| Flock registration (origin, number of poultry, etc.) * | 100 | 100 | 100 | 100 | 100 | 100 | 100 | 100 | 100 |
| If the chick deliverer enters in the house, whether specific clothes and shoes are worn * | 40.3 (28.2–52.3) | 42.9 (0–92.3) | 30.8 (1.7–59.8) | 37.5 (0–80.8) | 41.7 (8.9–74.4) | 70 (35.4–100) | 30.8 (1.7–59.8) | 33.3 (15.4–51.2) | 50 (27.3–72.7) |
| Item E5—the feed and drinking water of the poultry | |||||||||
| Feed storage protection | 100 | 100 | 100 | 100 | 100 | 100 | 100 | 100 | 100 |
| End-line drinking water analysis performed each year | 68.7 (57.3–80.1) | 71.4 (26.3–100) | 69.2 (40.2–98.3) | 75 (36.3–100) | 66.7 (35.4–98) | 50 (12.3–87.7) | 76.9 (50.4–100) | 83.3 (69.2–97.5) ^ | 50 (27.3–72.7) ^ |
| Item E6—biological vector control | |||||||||
| Rodent control (deratting or other measures) * | 100 | 100 | 100 | 100 | 100 | 100 | 100 | 100 | 100 |
| Wild bird control (protecting the ventilation circuit or other measures) * | 100 | 100 | 100 | 100 | 100 | 100 | 100 | 100 | 100 |
| No domestic animals on site (pets, dogs or cats) | 65.7 (54–77.3) | 85.7 (50.8–100) | 61.5 (30.9–92.1) | 50 (5.3–94.7) | 66.7 (35.4–98) | 60 (23.1–96.9) | 65.1 (30.9–92.1) | 90 (78.6–100) ^ | 45.5 (22.9–68.1) |
| Item E7—the management of poultry manure | |||||||||
| Manure is stored in a specific isolated area outside of the secured professional area (or if there is no secured area, away from the house) | 58.2 (46.1–70.3) | 42.9 (0–92.3) | 38.5 (7.9–69.1) | 62.5 (19.2–100) | 66.7 (35.4–98) | 60 (23.1–96.9) | 76.9 (50.4–100) | 66.7 (48.8–84.6) | 54.6 (31.9–77.1) |
| Item E8—the management of dead animals | |||||||||
| Carcasses are removed at least twice a day * | 86.6 (78.2–95) | 85.7 (50.8–100) | 92.3 (75.5–100) | 100 | 75 (46.3–100) | 70 (35.4–100) | 92.3 (75.5–100) | 90 (78.6–100) | 81.8 (64.3–99.3) |
| The presence of a closed and protected rendering tank * | 97 (92.8–100) | 100 | 100 | 100 | 91.7 (73.3–100) | 90 (67.4–100) | 100 | 100 | 95.5 (86–100) |
| The rendering tank is located outside of the secured area (or if there is no secured area, away from the house), allowing for the passage of the truck away from the house * | 68.7 (57.3–80.1) | 85.7 (50.8–100) | 76.9 (50.4–100) | 62.5 (19.2–100) | 58.3 (25.6–91.1) | 60 (23.1–96.9) | 69.2 (40.2–98.3) | 80 (64.8–95.2) | 68.2 (47–89.4) |
| The rendering tanks is cleaned and disinfected after each collection | 86.6 (78.2–95) | 100 | 92.3 (75.5–100) | 87.5 (57.9–100) | 83.3 (58.6–100) | 60 (23.1–96.9) | 92.3 (75.5–100) | 93.3 (83.9–100) | 81.8 (64.3–99.3) |
| Internal biosecurity | |||||||||
| Item I1—structure and circulation in the poultry house | |||||||||
| Concrete surrounds around the house * | 47.8 (35.5–60) | 71.4 (26.3–100) | 38.5 (7.9–69.1) | 25 (0–63.7) | 50 (16.8–83.2) | 60 (23.1–96.9) | 33.3 (2.4–64.6) | 66.7 (48.8–84.6) ^ | 36. (14.5–58.2) |
| Hygiene lock with two separated zones (clean and dirty area) * | 67.2 (55.6–78.7) | 85.7 (50.8–100) | 76.9 (50.4–100) | 62.5 (19.2–100) | 66.7 (35.4–98) | 60 (23.1–96.9) | 46.2 (14.8–77.5) | 86.7 (73.8–99.6) ^ | 54.5 (31.9–77.1) |
| Item I2—the management of the material or litter in the poultry house | |||||||||
| Recognizable separate material only for the poultry house | 70.2 (58.9–81.4) | 71.4 (26.3–100) | 69.2 (40.2–98.3) | 75 (36.3–100) | 50 (16.8–83.2) | 50 (12.3–87.7) | 92.3 (75.5–100) | 93.3 (83.9–100) ^ | 50 (27.3–72.7) |
| The protection of the litter (in a closed shed or other protection, from birds or vermin, etc.) * | 67.2 (55.6–78.7) | 71.4 (26.3–100) | 76.9 (50.4–100) | 100 | 50 (16.8–83.2) | 70 (35.4–100) | 61.5 (30.9–92.1) | 43.3 (24.5–62.2) | 86.4 (70.8–100) ^ |
| Item I3—Cleaning and disinfection of the house and material | |||||||||
| The house is cleaned and disinfected between each flock * | 100 | 100 | 100 | 100 | 100 | 100 | 100 | 100 | 100 |
| The material between each flock (feeders, drinkers, nests, material for the management of eggs, etc.) is cleaned and disinfected * | 100 | 100 | 100 | 100 | 100 | 100 | 100 | 100 | 100 |
| The drinking water pipeline is cleaned and disinfected between each flock * | 95.5 (90.4–100) | 100 | 92.3 (75.5–100) | 100 | 91.7 (73.3–100) | 90 (67.4–100) | 100 | 100 | 90.9 (77.9–100) |
| The feed silo is cleaned and disinfected between each flock * | 74.6 (63.9–85.3) | 100 | 69.2 (40.2–98.3) | 50 (5.3–94.7) | 75 (46.3–100) | 70 (35.4–100) | 84.6 (61.9–100) | 86.7 (73.8–99.6) | 63.6 (41.8–85.5) |
| There is bacterial auto-control of the cleaning and disinfection of the house between each flock * | 16.4 (7.3–25.5) | 57.1 (7.7–100) | 0 | 0 | 33.3 (2–64.6) | 30 (0–64.6) | 0 | 20 (4.8–35.2) | 13.6 (0–29.2) |
| There is a sanitary break period > 15 days between each flock * | 86.6 (78.2–95) | 100 | 65.1 (30.9–92.1) | 75 (36.3–100) | 91.7 (73.3–100) | 90 (67.4–100) | 100 | 96.7 (89.8–100) ^ | 72.7 (52.5–92.9) |
| Item I5—the management of the poultry | |||||||||
| Vaccination protocol of each poultry flock | 86.6 (78.2–95) | 100 | 69.2 (40.2–98.3) | 62.5 (19.2–100) | 91.7 (73.3–100) | 90 (67.4–100) | 100 | 96.7 (89.8–100) | 77.3 (58.3–96.3) |
| Daily surveillance with clinical alert criteria (water and feed consummation, mortality and egg production) | 100 | 100 | 100 | 100 | 100 | 100 | 100 | 100 | 100 |
Disclaimer/Publisher’s Note: The statements, opinions and data contained in all publications are solely those of the individual author(s) and contributor(s) and not of MDPI and/or the editor(s). MDPI and/or the editor(s) disclaim responsibility for any injury to people or property resulting from any ideas, methods, instructions or products referred to in the content. |
© 2023 by the authors. Licensee MDPI, Basel, Switzerland. This article is an open access article distributed under the terms and conditions of the Creative Commons Attribution (CC BY) license (https://creativecommons.org/licenses/by/4.0/).
Share and Cite
Laconi, A.; Tilli, G.; Galuppo, F.; Grilli, G.; Souillard, R.; Piccirillo, A. Stakeholders’ Perceptions of Biosecurity Implementation in Italian Poultry Farms. Animals 2023, 13, 3246. https://doi.org/10.3390/ani13203246
Laconi A, Tilli G, Galuppo F, Grilli G, Souillard R, Piccirillo A. Stakeholders’ Perceptions of Biosecurity Implementation in Italian Poultry Farms. Animals. 2023; 13(20):3246. https://doi.org/10.3390/ani13203246
Chicago/Turabian StyleLaconi, Andrea, Giuditta Tilli, Francesco Galuppo, Guido Grilli, Rozenn Souillard, and Alessandra Piccirillo. 2023. "Stakeholders’ Perceptions of Biosecurity Implementation in Italian Poultry Farms" Animals 13, no. 20: 3246. https://doi.org/10.3390/ani13203246
APA StyleLaconi, A., Tilli, G., Galuppo, F., Grilli, G., Souillard, R., & Piccirillo, A. (2023). Stakeholders’ Perceptions of Biosecurity Implementation in Italian Poultry Farms. Animals, 13(20), 3246. https://doi.org/10.3390/ani13203246

