Quantitative Associations between Season, Month, and Temperature-Humidity Index with Milk Yield, Composition, Somatic Cell Counts, and Microbial Load: A Comprehensive Study across Ten Dairy Farms over an Annual Cycle
Abstract
:Simple Summary
Abstract
1. Introduction
2. Materials and Methods
2.1. Experimental Farm Conditions
2.2. Data Collection
2.3. Laboratory Analysis
2.4. Statistical Analysis
3. Results
3.1. Climatic Conditions
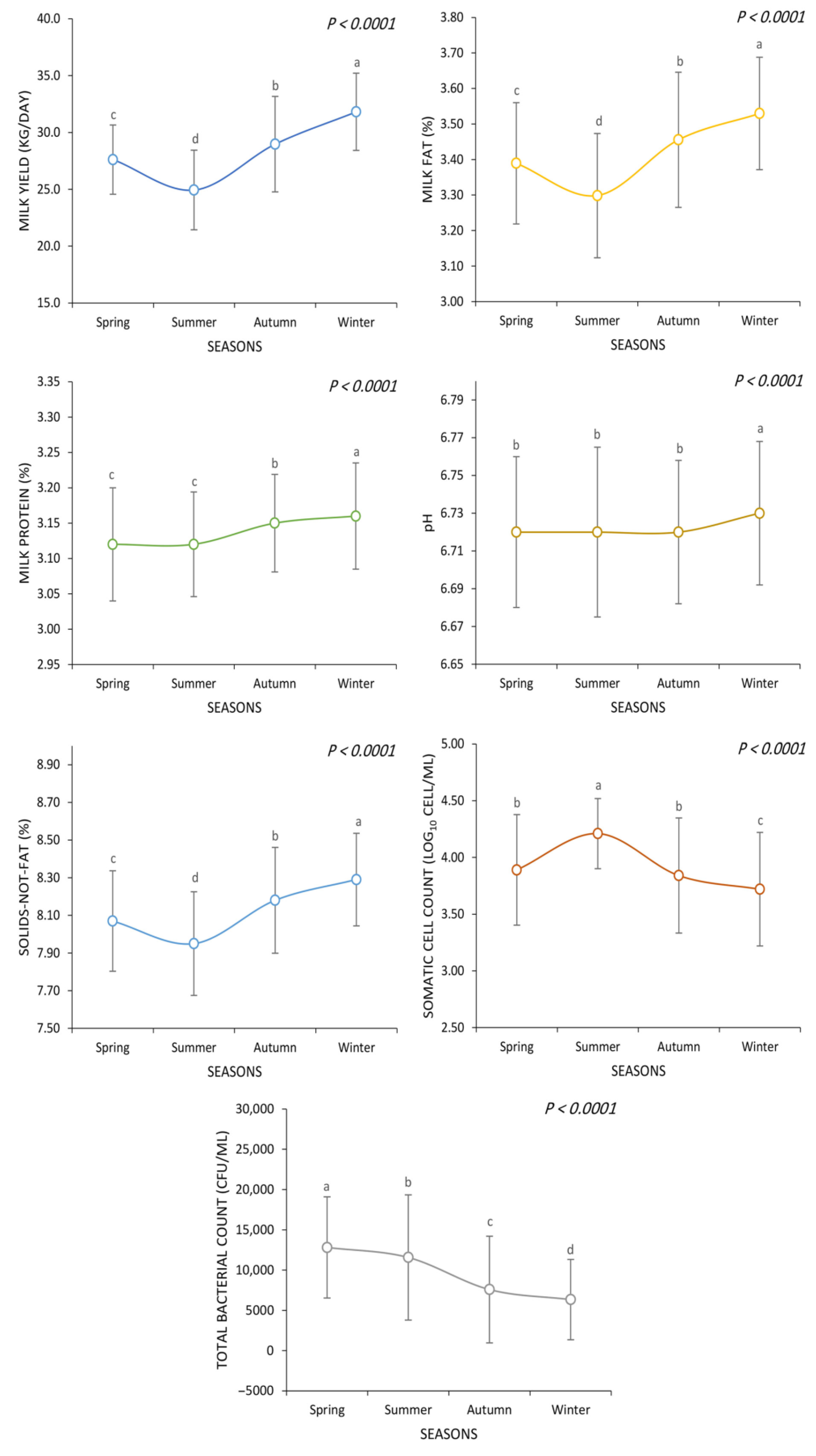
3.2. Effect of Seasons
3.3. Effect of Months
3.4. Effect of THI
4. Discussion
4.1. Seasonal Trends in Milk Yield and Quality
4.2. Monthly Trends in Milk Yield and Quality
4.3. Effect of Temperature-Humidity Index
5. Conclusions
Author Contributions
Funding
Institutional Review Board Statement
Informed Consent Statement
Data Availability Statement
Acknowledgments
Conflicts of Interest
References
- Muehlhoff, E.; Bennett, A. Milk and Dairy Products in Human Nutrition; FAO: Rome, Italy, 2013. [Google Scholar]
- Guzmán-Luna, P.; Mauricio-Iglesias, M.; Flysjö, A.; Hospido, A. Analysing the interaction between the dairy sector and climate change from a life cycle perspective: A review. Trends Food Sci. Technol. 2022, 126, 168–179. [Google Scholar] [CrossRef]
- Herbut, P.; Angrecka, S.; Walczak, J. Environmental parameters to assessing of heat stress in dairy cattle-a review. Int. J. Biometeorol. 2018, 62, 2089–2097. [Google Scholar] [CrossRef] [PubMed]
- Bohmanova, J.; Misztal, I.; Cole, J.B. Temperature-Humidity Indices as Indicators of Milk Production Losses due to Heat Stress. J. Dairy Sci. 2007, 90, 1947–1956. [Google Scholar] [CrossRef] [PubMed]
- Shi, R.; Brito, L.F.; Liu, A.; Luo, H.; Chen, Z.; Liu, L.; Guo, G.; Mulder, H.; Ducro, B.; van der Linden, A.; et al. Genotype-by-environment interaction in Holstein heifer fertility traits using single-step genomic reaction norm models. BMC Genom. 2021, 22, 193. [Google Scholar] [CrossRef]
- Dikmen, S.; Hansen, P.J. Is the temperature-humidity index the best indicator of heat stress in lactating dairy cows in a subtropical environment? J. Dairy Sci. 2009, 92, 109–116. [Google Scholar] [CrossRef]
- Ataallahi, M.; Cheon, S.N.; Park, G.-W.; Nugrahaeningtyas, E.; Jeon, J.H.; Park, K.-H. Assessment of Stress Levels in Lactating Cattle: Analyzing Cortisol Residues in Commercial Milk Products in Relation to the Temperature-Humidity Index. Animals 2023, 13, 2407. [Google Scholar] [CrossRef]
- Bokharaeian, M.; Toghdory, A.; Ghoorchi, T. Effects of dietary curcumin nano-micelles on growth performance, blood metabolites, antioxidant status, immune and physiological responses of fattening lambs under heat-stress conditions. J. Therm. Biol. 2023, 114, 103585. [Google Scholar] [CrossRef]
- Cartwright, S.L.; Schmied, J.; Karrow, N.; Mallard, B.A. Impact of heat stress on dairy cattle and selection strategies for thermotolerance: A review. Front. Vet. Sci. 2023, 10, 1198697. [Google Scholar] [CrossRef]
- Geary, U.; Lopez-Villalobos, N.; O’Brien, B.; Garrick, D.J.; Shalloo, L. Meta-analysis to investigate relationships between somatic cell count and raw milk composition, Cheddar cheese processing characteristics and cheese composition. Ir. J. Agric. Food Res. 2013, 52, 119–133. [Google Scholar]
- Berhe, G.; Wasihun, A.G.; Kassaye, E.; Gebreselasie, K. Milk-borne bacterial health hazards in milk produced for commercial purpose in Tigray, northern Ethiopia. BMC Public Health 2020, 20, 894. [Google Scholar] [CrossRef]
- Soleimani-Rahimabad, F.; Sadeghi-Sefidmazgi, A.; Pakdel, A.; Rahbar, R.; Bewley, J. Farm Management and Economic Factors Associated with Bulk Tank Total Bacterial Count in Holstein Dairy Herds in Iran. J. Dairy Res. 2022, 2022, 1–7. [Google Scholar] [CrossRef] [PubMed]
- Khastayeva, A.Z.; Zhamurova, V.S.; Mamayeva, L.A.; Kozhabergenov, A.T.; Karimov, N.Z.; Muratbekova, K.M. Qualitative indicators of milk of Simmental and Holstein cows in different seasons of lactation. Vet. World 2021, 14, 956–963. [Google Scholar] [CrossRef] [PubMed]
- Zhao, X.-J.; Li, Z.-P.; Wang, J.-H.; Xing, X.-M.; Wang, Z.-Y.; Wang, L.; Wang, Z.-H. Effects of chelated Zn/Cu/Mn on redox status, immune responses and hoof health in lactating Holstein cows. J. Vet. Sci. 2015, 16, 439–446. [Google Scholar] [CrossRef]
- Carabaño, M.J.; Ramón, M.; Díaz, C.; Molina, A.; Pérez-Guzmán, M.D.; Serradilla, J.M. Breeding and genetics symposium: Breeding for resilience to heat stress effects in dairy ruminants. A comprehensive review. J. Anim. Sci. 2017, 95, 1813–1826. [Google Scholar] [CrossRef] [PubMed]
- Herbut, P.; Angrecka, S. Forming of temperature-humidity index (THI) and milk production of cows in the free-stall barn during the period of summer heat. Anim. Sci. Pap. Rep. 2012, 30, 363–372. [Google Scholar]
- Rodriguez-Venegas, R.; Meza-Herrera, C.A.; Robles-Trillo, P.A.; Angel-Garcia, O.; Legarreta-Gonzalez, M.A.; Sánchez-Vocanegra, H.F.; Rodriguez-Martinez, R. Effect of THI on Milk Production, Percentage of Milking Cows, and Time Lying in Holstein Cows in Northern-Arid Mexico. Animals 2023, 13, 1715. [Google Scholar] [CrossRef]
- Finocchiaro, R.; van Kaam, J.B.; Portolano, B.; Misztal, I. Effect of heat stress on production of Mediterranean dairy sheep. J. Dairy Sci. 2005, 88, 1855–1864. [Google Scholar] [CrossRef]
- Ramón, M.; Díaz, C.; Pérez-Guzman, M.D.; Carabaño, M.J. Effect of exposure to adverse climatic conditions on production in Manchega dairy sheep. J. Dairy Sci. 2016, 99, 5764–5779. [Google Scholar] [CrossRef]
- Peana, I.; Fois, G.; Cannas, A. Effects of heat stress and diet on milk production and feed and energy intake of Sarda ewes. Ital. J. Anim. Sci. 2007, 6, 577–579. [Google Scholar] [CrossRef]
- Alhussien, M.N.; Dang, A.K. Milk somatic cells, factors influencing their release, future prospects, and practical utility in dairy animals: An overview. Vet. World 2018, 11, 562–577. [Google Scholar] [CrossRef]
- Mukherjee, J.; Dang, A. Immune activity of milk leukocytes during early lactation in high and low yielding crossbred cows. Milchwissenschaft 2011, 66, 384–388. [Google Scholar]
- M’Hamdi, N.; Darej, C.; Attia, K.; El Akram Znaidi, I.; Khattab, R.; Djelailia, H.; Bouraoui, R.; Taboubi, R.; Marzouki, L.; Ayadi, M. Modelling THI effects on milk production and lactation curve parameters of Holstein dairy cows. J. Therm. Biol. 2021, 99, 102917. [Google Scholar] [CrossRef] [PubMed]
- Godden, S.; Rapnicki, P.; Stewart, S.; Fetrow, J.; Johnson, A.; Bey, R.; Farnsworth, R. Effectiveness of an internal teat seal in the prevention of new intramammary infections during the dry and early-lactation periods in dairy cows when used with a dry cow intramammary antibiotic. J. Dairy Sci. 2003, 86, 3899–3911. [Google Scholar] [CrossRef]
- Miraglia, M.; Marvin, H.J.P.; Kleter, G.A.; Battilani, P.; Brera, C.; Coni, E.; Cubadda, F.; Croci, L.; De Santis, B.; Dekkers, S.; et al. Climate change and food safety: An emerging issue with special focus on Europe. Food Chem. Toxicol. 2009, 47, 1009–1021. [Google Scholar] [CrossRef] [PubMed]
- Metzger, S.A.; Hernandez, L.L.; Skarlupka, J.H.; Walker, T.M.; Suen, G.; Ruegg, P.L. A Cohort Study of the Milk Microbiota of Healthy and Inflamed Bovine Mammary Glands From Dryoff Through 150 Days in Milk. Front. Vet. Sci. 2018, 5, 247. [Google Scholar] [CrossRef] [PubMed]
- Vithanage, N.R.; Dissanayake, M.; Bolge, G.; Palombo, E.A.; Yeager, T.R.; Datta, N. Biodiversity of culturable psychrotrophic microbiota in raw milk attributable to refrigeration conditions, seasonality and their spoilage potential. Int. Dairy J. 2016, 57, 80–90. [Google Scholar] [CrossRef]
- Woolpert, M.; Dann, H.; Cotanch, K.; Melilli, C.; Chase, L.; Grant, R.; Barbano, D. Management, nutrition, and lactation performance are related to bulk tank milk de novo fatty acid concentration on northeastern US dairy farms. J. Dairy Sci. 2016, 99, 8486–8497. [Google Scholar] [CrossRef]
- Feliciano, R.J.; Boué, G.; Membré, J.-M. Overview of the potential impacts of climate change on the microbial safety of the dairy industry. Foods 2020, 9, 1794. [Google Scholar] [CrossRef]
- AOAC. Official Methods of Analysis of the Association of Official Analytical Chemists, 21st ed.; AOAC International: Washington, DC, USA, 2019. [Google Scholar]
- Mertens, D.R. Gravimetric determination of amylase-treated neutral detergent fiber in feeds with refluxing in beakers or crucibles: Collaborative study. J. AOAC Int. 2002, 85, 1217–1240. [Google Scholar]
- Marai, I.F.M.; El-Darawany, A.A.; Fadiel, A.; Abdel-Hafez, M.A.M. Physiological traits as affected by heat stress in sheep-A review. Small Rumin. Res. 2007, 71, 1–12. [Google Scholar] [CrossRef]
- Ali, A.K.A.; Shook, G.E. An Optimum Transformation for Somatic Cell Concentration in Milk1. J. Dairy Sci. 1980, 63, 487–490. [Google Scholar] [CrossRef]
- Splittstoesser, D.F.; Vanderzant, C. Compendium of Methods for the Microbiological Examination of Foods, 3rd ed.; American Public Health Association: Washington, DC, USA, 1992. [Google Scholar]
- Zhu, X.; Wen, J.; Wang, J. Effect of environmental temperature and humidity on milk production and milk composition of Guanzhong dairy goats. Vet. Anim. Sci. 2020, 9, 100121. [Google Scholar] [CrossRef] [PubMed]
- Yoon, J.T.; Lee, J.H.; Kim, C.K.; Chung, Y.C.; Kim, C.H. Effects of Milk Production, Season, Parity and Lactation Period on Variations of Milk Urea Nitrogen Concentration and Milk Components of Holstein Dairy Cows. Asian-Australas. J. Anim. Sci. 2004, 17, 479–484. [Google Scholar] [CrossRef]
- Bernabucci, U.; Basirico, L.; Morera, P.; Dipasquale, D.; Vitali, A.; Piccioli Cappelli, F.; Calamari, L. Effect of summer season on milk protein fractions in Holstein cows. J. Dairy Sci. 2015, 98, 1815–1827. [Google Scholar] [CrossRef] [PubMed]
- Bertocchi, L.; Vitali, A.; Lacetera, N.; Nardone, A.; Varisco, G.; Bernabucci, U. Seasonal variations in the composition of Holstein cow’s milk and temperature-humidity index relationship. Animal 2014, 8, 667–674. [Google Scholar] [CrossRef]
- Lim, D.H.; Mayakrishnan, V.; Ki, K.S.; Kim, Y.; Kim, T.I. The effect of seasonal thermal stress on milk production and milk compositions of Korean Holstein and Jersey cows. Anim. Biosci. 2021, 34, 567–574. [Google Scholar] [CrossRef]
- Ali, M.A.; Sarker, M.A.H.; Hossain, M.N.; Rahman, A.; Islam, M.N.; Sumaiya, A.; Hasan Mohammad, M.; Debnath, G.K.D.; Chanda, T. Potential Impact of Temperature and Humidity on Milk Yield of Holstein Friesian Crossbred Dairy Cows. Eur. J. Agric. Food Sci. 2023, 5, 126–130. [Google Scholar] [CrossRef]
- Yang, L.; Yang, Q.; Yi, M.; Pang, Z.H.; Xiong, B.H. Effects of seasonal change and parity on raw milk composition and related indices in Chinese Holstein cows in northern China. J. Dairy Sci. 2013, 96, 6863–6869. [Google Scholar] [CrossRef]
- Barash, H.; Silanikove, N.; Shamay, A.; Ezra, E. Interrelationships Among Ambient Temperature, Day Length, and Milk Yield in Dairy Cows Under a Mediterranean Climate. J. Dairy Sci. 2001, 84, 2314–2320. [Google Scholar] [CrossRef]
- Toghdory, A.; Ghoorchi, T.; Asadi, M.; Bokharaeian, M.; Najafi, M.; Ghassemi Nejad, J. Effects of Environmental Temperature and Humidity on Milk Composition, Microbial Load, and Somatic Cells in Milk of Holstein Dairy Cows in the Northeast Regions of Iran. Animals 2022, 12, 2484. [Google Scholar] [CrossRef]
- Kljajevic, N.V.; Tomasevic, I.B.; Miloradovic, Z.N.; Nedeljkovic, A.; Miocinovic, J.B.; Jovanovic, S.T. Seasonal variations of Saanen goat milk composition and the impact of climatic conditions. J. Food Sci. Technol. 2018, 55, 299–303. [Google Scholar] [CrossRef] [PubMed]
- Lee, D.; Yoo, D.; Kim, H.; Seo, J. Negative association between high temperature-humidity index and milk performance and quality in Korean dairy system: Big data analysis. J. Anim. Sci. Technol. 2023, 65, 588–595. [Google Scholar] [CrossRef] [PubMed]
- Gálik, R.; Lüttmerding, G.; Boďo, Š.; Knížková, I.; Kunc, P. Impact of Heat Stress on Selected Parameters of Robotic Milking. Animals 2021, 11, 3114. [Google Scholar] [CrossRef] [PubMed]
- Hammami, H.; Vandenplas, J.; Vanrobays, M.L.; Rekik, B.; Bastin, C.; Gengler, N. Genetic analysis of heat stress effects on yield traits, udder health, and fatty acids of Walloon Holstein cows. J. Dairy Sci. 2015, 98, 4956–4968. [Google Scholar] [CrossRef]
- Rong, Y.; Zeng, M.; Guan, X.; Qu, K.; Liu, J.; Zhang, J.; Chen, H.; Huang, B.; Lei, C. Association of HSF1 Genetic Variation with Heat Tolerance in Chinese Cattle. Animals 2019, 9, 1027. [Google Scholar] [CrossRef]
- Bouraoui, R.; Lahmar, M.; Majdoub, A.; Djemali, M.N.; Belyea, R. The relationship of temperature-humidity index with milk production of dairy cows in a Mediterranean climate. Anim. Res. 2002, 51, 479–491. [Google Scholar] [CrossRef]
- Moallem, U.; Altmark, G.; Lehrer, H.; Arieli, A. Performance of high-yielding dairy cows supplemented with fat or concentrate under hot and humid climates. J. Dairy Sci. 2010, 93, 3192–3202. [Google Scholar] [CrossRef]
- Mukherjee, J.; De, K.; Chaudhury, M.; Dang, A.K. Seasonal variation in in vitro immune activity of milk leukocytes in elite and non-elite crossbred cows of Indian sub-tropical semi-arid climate. Biol. Rhythm. Res. 2015, 46, 425–433. [Google Scholar] [CrossRef]
- Hagiya, K.; Bamba, I.; Osawa, T.; Atagi, Y.; Takusari, N.; Itoh, F.; Yamazaki, T. Length of lags in responses of milk yield and somatic cell score on test day to heat stress in Holsteins. Anim. Sci. J. 2019, 90, 613–618. [Google Scholar] [CrossRef]




| Variable | Label | N | Mean | Std Dev | Minimum | Maximum |
|---|---|---|---|---|---|---|
| Temperature, °C | T°C | 3650 | 18.8 | 8.94 | 0.5 | 35.1 |
| Relative Humidity, % | RH | 3650 | 68.0 | 13.19 | 31.0 | 97.4 |
| Temperature-Humidity Index | THI | 3650 | 19.2 | 10.69 | −3.6 | 37.7 |
| Milk Yield, kg/day | MY | 3650 | 28.3 | 4.33 | 16.5 | 40.0 |
| Milk Fat, % | MF | 3650 | 3.42 | 0.194 | 2.89 | 4.06 |
| Milk Protein, % | MP | 3650 | 3.14 | 0.077 | 2.86 | 3.47 |
| Solids-Not-Fat, % | SNF | 3650 | 8.12 | 0.297 | 7.25 | 9.08 |
| pH | pH | 3650 | 6.72 | 0.041 | 6.30 | 7.14 |
| Somatic Cell Count, log10 cells/mL | SCC | 3650 | 3.92 | 0.493 | 2.49 | 5.12 |
| Total Bacterial Count, CFU/mL | TBC | 3650 | 9601 | 7031.8 | 100 | 31,970 |
| Items | 1 | 2 | 3 | 4 | 5 | 6 | 7 | 8 | 9 | 10 | 11 | 12 | 13 | |
|---|---|---|---|---|---|---|---|---|---|---|---|---|---|---|
| 1 | Herd | 1.00 | ||||||||||||
| 2 | Seasons | 0.00 | 1.00 | |||||||||||
| 3 | Months | 0.00 | −0.05 ** | 1.00 | ||||||||||
| 4 | AT | 0.00 | −0.65 ** | 0.23 ** | 1.00 | |||||||||
| 5 | RH | 0.00 | 0.21 ** | −0.15 ** | −0.59 ** | 1.00 | ||||||||
| 6 | THI | 0.00 | −0.65 ** | 0.23 ** | 1.00 ** | −0.58 ** | 1.00 | |||||||
| 7 | MY | −0.60 ** | 0.43 ** | −0.24 ** | −0.59 ** | 0.28 ** | −0.59 ** | 1.00 | ||||||
| 8 | Fat | 0.09 ** | 0.33 ** | −0.13 ** | −0.46 ** | 0.22 ** | −0.46 ** | 0.25 ** | 1.00 | |||||
| 9 | Protein | −0.17 ** | 0.21 ** | −0.05 ** | −0.22 ** | 0.15 ** | −0.22 ** | 0.23 ** | 0.43 ** | 1.00 | ||||
| 10 | SNF | 0.02 ns | 0.34 ** | −0.12 ** | −0.44 ** | 0.23 ** | −0.45 ** | 0.28 ** | 0.96 ** | 0.66 ** | 1.00 | |||
| 11 | pH | −0.11 ** | 0.10 ** | −0.10 ** | −0.09 ** | 0.05 ** | −0.10 ** | 0.13 ** | 0.03 ns | 0.02 ns | 0.03 * | 1.00 | ||
| 12 | SCC | −0.27 ** | −0.20 ** | 0.03 ns | 0.39 ** | −0.19 ** | 0.39 ** | −0.08 ** | −0.17 ** | 0.01 ns | −0.13 ** | 0.01 ns | 1.00 | |
| 13 | TBC | 0.17 ** | −0.37 ** | −0.07 ** | 0.36 ** | −0.11 ** | 0.36 ** | −0.32 ** | −0.23 ** | −0.11 ** | −0.22 ** | −0.04 * | 0.13 ** | 1.00 |
Disclaimer/Publisher’s Note: The statements, opinions and data contained in all publications are solely those of the individual author(s) and contributor(s) and not of MDPI and/or the editor(s). MDPI and/or the editor(s) disclaim responsibility for any injury to people or property resulting from any ideas, methods, instructions or products referred to in the content. |
© 2023 by the authors. Licensee MDPI, Basel, Switzerland. This article is an open access article distributed under the terms and conditions of the Creative Commons Attribution (CC BY) license (https://creativecommons.org/licenses/by/4.0/).
Share and Cite
Bokharaeian, M.; Toghdory, A.; Ghoorchi, T.; Ghassemi Nejad, J.; Esfahani, I.J. Quantitative Associations between Season, Month, and Temperature-Humidity Index with Milk Yield, Composition, Somatic Cell Counts, and Microbial Load: A Comprehensive Study across Ten Dairy Farms over an Annual Cycle. Animals 2023, 13, 3205. https://doi.org/10.3390/ani13203205
Bokharaeian M, Toghdory A, Ghoorchi T, Ghassemi Nejad J, Esfahani IJ. Quantitative Associations between Season, Month, and Temperature-Humidity Index with Milk Yield, Composition, Somatic Cell Counts, and Microbial Load: A Comprehensive Study across Ten Dairy Farms over an Annual Cycle. Animals. 2023; 13(20):3205. https://doi.org/10.3390/ani13203205
Chicago/Turabian StyleBokharaeian, Mostafa, Abdolhakim Toghdory, Taghi Ghoorchi, Jalil Ghassemi Nejad, and Iman Janghorban Esfahani. 2023. "Quantitative Associations between Season, Month, and Temperature-Humidity Index with Milk Yield, Composition, Somatic Cell Counts, and Microbial Load: A Comprehensive Study across Ten Dairy Farms over an Annual Cycle" Animals 13, no. 20: 3205. https://doi.org/10.3390/ani13203205
APA StyleBokharaeian, M., Toghdory, A., Ghoorchi, T., Ghassemi Nejad, J., & Esfahani, I. J. (2023). Quantitative Associations between Season, Month, and Temperature-Humidity Index with Milk Yield, Composition, Somatic Cell Counts, and Microbial Load: A Comprehensive Study across Ten Dairy Farms over an Annual Cycle. Animals, 13(20), 3205. https://doi.org/10.3390/ani13203205

