A Survey on Vaccination and Disease Occurrence in Municipal and Non-Profit Animal Shelters in Portugal
Abstract
:Simple Summary
Abstract
1. Introduction
2. Materials and Methods
2.1. Questionnaire
2.2. Data Analysis
3. Results
3.1. General Aspects
3.2. Vaccination
3.2.1. Vaccine Availability
3.2.2. Vaccination Schedules
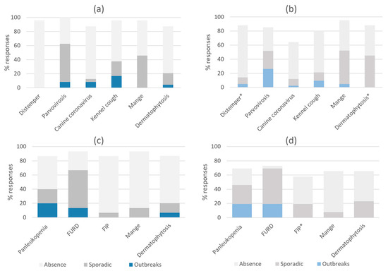
3.3. Occurrence of Infectious Disease
3.4. Main Diagnostic Methods
4. Discussion
5. Conclusions
Supplementary Materials
Author Contributions
Funding
Institutional Review Board Statement
Informed Consent Statement
Data Availability Statement
Acknowledgments
Conflicts of Interest
References
- Miller, L.; Hurley, K. Infectious Disease Management in Animal Shelters, 1st ed.; Miller, L., Hurley, K., Eds.; Wiley-Blackwell: Ames, IA, USA, 2009; ISBN 978-0-8138-1379-0. [Google Scholar]
- Burns, K. The evolution of shelter medicine. J. Am. Vet. Med. Assoc. 2006, 229, 1543–1545. [Google Scholar] [CrossRef] [PubMed]
- Nolen, R.S. A specialty whose time has come: Shelter medicine recognized as veterinary specialty. J. Am. Vet. Med. Assoc. 2014, 244, 1218–1221. [Google Scholar] [CrossRef] [PubMed]
- De Tar, L.G.; Doyle, E.; O’Quin, J.; Aziz, C.; Berliner, E.; Bradley-Siemens, N.; Bushby, P.; Cannon, S.; DiGangi, B.; Donnett, U.; et al. Association of Shelter Veterinarians (ASV) Guidelines for Standards of Care in Animal Shelters. J. Shelter Med. Community Anim. Health 2022, 1, 701–702. [Google Scholar] [CrossRef]
- Assembleia da República. Lei n.o 27/2016 de 23 de agosto. 2016, pp. 2827–2828. Available online: https://dre.pt/application/file/75171217 (accessed on 19 July 2023).
- Assembleia da República. Portaria n.o 146/2017 de 26 de abril. 2017, pp. 2056–2059. Available online: https://dre.pt/application/conteudo/106926976 (accessed on 19 July 2023).
- Assembleia da República. Decreto-Lei n.o 276/2001 de 17 de Outubro. 2001, pp. 6572–6589. Available online: https://files.dre.pt/1s/2001/10/241a00/65726589.pdf (accessed on 19 July 2023).
- Gomes-Neves, E.; Marques, S.; Alves-Pereira, A.; Osório, P.; Müller, A.; Baptista, C.S. Impact of COVID-19 Restrictions in Portugal: A Questionnaire to Municipal and Animal Association Shelters. Animals 2021, 11, 2532. [Google Scholar] [CrossRef]
- Steneroden, K.K.; Hill, A.E.; Salman, M.D. A needs-assessment and demographic survey of infection-control and disease awareness in western US animal shelters. Prev. Vet. Med. 2011, 98, 52–57. [Google Scholar] [CrossRef]
- Möstl, K.; Egberink, H.; Addie, D.; Frymus, T.; Boucraut-Baralon, C.; Truyen, U.; Hartmann, K.; Lutz, H.; Gruffydd-Jones, T.; Radford, A.D.; et al. Prevention of infectious diseases in cat shelters: ABCD guidelines. J. Feline Med. Surg. 2013, 15, 546–554. [Google Scholar] [CrossRef]
- Assembleia da República. Portaria n.o 264/2013 de 16 de agosto. 2013, pp. 4888–4893. Available online: https://dre.pt/application/file/499164 (accessed on 19 July 2023).
- Day, M.J.; Horzinek, M.C.; Schultz, R.D.; Squires, R.A. WSAVA Guidelines for the vaccination of dogs and cats. J. Small Anim. Pract. 2016, 57, E1–E45. [Google Scholar] [CrossRef]
- Stone, A.E.S.; Brummet, G.O.; Carozza, E.M.; Kass, P.H.; Petersen, E.P.; Sykes, J.; Westman, M.E. 2020 AAHA/AAFP Feline Vaccination Guidelines. J. Am. Anim. Hosp. Assoc. 2020, 56, 249–265. [Google Scholar] [CrossRef]
- Ellis, J.; Marziani, E.; Aziz, C.; Brown, C.M.; Cohn, L.A.; Lea, C.; Moore, G.E.; Taneja, N. 2022 AAHA Canine Vaccination Guidelines. J. Am. Anim. Hosp. Assoc. 2022, 58, 213–230. [Google Scholar] [CrossRef]
- Schuller, S.; Francey, T.; Hartmann, K.; Hugonnard, M.; Kohn, B.; Nally, J.E.; Sykes, J. European consensus statement on leptospirosis in dogs and cats. J. Small Anim. Pract. 2015, 56, 159–179. [Google Scholar] [CrossRef]
- Pesavento, P.A.; Murphy, B.G. Common and Emerging Infectious Diseases in the Animal Shelter. Vet. Pathol. 2014, 51, 478–491. [Google Scholar] [CrossRef] [PubMed]
- DiGangi, B.A.; Craver, C.; Dolan, E.D. Incidence and predictors of canine parvovirus diagnoses in puppies relocated for adoption. Animals 2021, 11, 1064. [Google Scholar] [CrossRef] [PubMed]
- Litster, A.; Nichols, J.; Volpe, A. Prevalence of positive antibody test results for canine parvovirus (CPV) and canine distemper virus (CDV) and response to modified live vaccination against CPV and CDV in dogs entering animal shelters. Vet. Microbiol. 2012, 157, 86–90. [Google Scholar] [CrossRef] [PubMed]
- Okonkowski, L.K.; Szlosek, D.; Ottney, J.; Coyne, M.; Carey, S.A. Asymptomatic carriage of canine infectious respiratory disease complex pathogens among healthy dogs. J. Small Anim. Pract. 2021, 62, 662–668. [Google Scholar] [CrossRef]
- Li, Y.; Gordon, E.; Idle, A.; Hui, A.; Chan, R.; Seguin, M.A.; Delwart, E. Astrovirus Outbreak in an Animal Shelter Associated With Feline Vomiting. Front. Vet. Sci. 2021, 8, 628082. [Google Scholar] [CrossRef]
- Pratelli, A.; Martella, V.; Elia, G.; Tempesta, M.; Guarda, F.; Capucchio, M.T.; Carmichael, L.E.; Buonavoglia, C. Severe enteric disease in an animal shelter associated with dual infections by canine adenovirus type 1 and canine coronavirus. J. Vet. Med. Ser. B 2001, 48, 385–392. [Google Scholar] [CrossRef]
- Köse, S.; Maden, M.; Sayın, Z. Clinical and bacteriological analysis of respiratory tract infections in sheltered dogs and determination of antibacterial treatment options*. J. Hell. Vet. Med. Soc. 2021, 72, 3491–3502. [Google Scholar] [CrossRef]
- Lavan, R.; Knesl, O. Prevalence of canine infectious respiratory pathogens in asymptomatic dogs presented at US animal shelters. Br. Small Anim. Vet. Assoc. J. Small Anim. Pract. 2015, 56, 572–576. [Google Scholar] [CrossRef]
- Tanaka, A.; Wagner, D.C.; Kass, P.H.; Hurley, K.F. Associations among weight loss, stress, and upper respiratory tract infection in shelter cats. J. Am. Vet. Med. Assoc. 2012, 240, 570–576. [Google Scholar] [CrossRef]
- Tupler, T.; Levy, J.K.; Sabshin, S.J.; Tucker, S.J.; Greiner, E.C.; Leutenegger, C.M. Enteropathogens identified in dogs entering a Florida animal shelter with normal feces or diarrhea. J. Am. Vet. Med. Assoc. 2012, 241, 338–343. [Google Scholar] [CrossRef]
- Little, S.; Levy, J.; Hartmann, K.; Hofmann-Lehmann, R.; Hosie, M.; Olah, G.; Denis, K.S. 2020 AAFP Feline Retrovirus Testing and Management Guidelines. J. Feline Med. Surg. 2020, 22, 5–30. [Google Scholar] [CrossRef] [PubMed]
- Marques, S.; Pereira, F.; Osório, P.; Alves-Pereira, A.; Baptista, C.S.; Gomes-Neves, E.; Müller, A. Excessive length of stay in animal shelters—A priority to tackle? In Proceedings of the 10° Encontro de Formação da Ordem dos Médicos Veterinários (EFOMV), Lisbon, Portugal, 14–16 April 2023; p. Poster P419. [Google Scholar]
- Alves-Pereira, A.; Marques, S.; Baptista, C.; Gomes-Neves, E.; Osório, P.; Müller, A. National survey of animal shelters—Preliminary results. In Proceedings of the SVEPM Annual Conference; Society for Veterinary Epidemiology and Preventive Medicine, Online, 24–26 March 2021. [Google Scholar]
- Gomes-Neves, E.; Marques, S.; Alves-Pereira, A.; Osório, P.; Müller, A.; Baptista, C. COVID-19 impact on animal shelter management in Portugal. In Proceedings of the ECVPH Scientific Conference and Annual General Meeting, “Transforming food systems: A new era for VPH!”, Online, 22–24 September 2021; p. Poster Abstract 16. [Google Scholar]
- MedCalc Software Ltd. Fisher Exact Probability Calculator. Available online: https://www.medcalc.org/calc/fisher.php (accessed on 7 July 2022).
- IBM Corp. SPSS Statistics for Windows; IBM Corp.: Armonk, NY, USA, 2019. [Google Scholar]
- Christley, R.M.; Murray, J.K.; Anderson, K.L.; Buckland, E.L.; Casey, R.A.; Harvey, N.D.; Harris, L.; Holland, K.E.; McMillan, K.M.; Mead, R.; et al. Impact of the first COVID-19 lockdown on management of pet dogs in the UK. Animals 2021, 11, 5. [Google Scholar] [CrossRef]
- Assembleia da República Decreto-Lei n.o 314/2003, de 17 de dezembro com as alterações introduzidas por: DL n.o 20/2019; Resolução da Assembleia da República n.o 138/2019. 2019, pp. 1–9. Available online: https://www.pgdlisboa.pt/leis/lei_mostra_articulado.php?nid=339&tabela=leis&so_miolo= (accessed on 19 July 2023).
- Agricultura–Direção-Geral de Alimentação e Veterinária. Despacho n.o 1946/2021. Diário da República no 36/2021, série II. 2021, pp. 133–135. Available online: https://dre.pt/web/guest/home/-/dre/158054497/details/4/maximized?serie=II&parte_filter=31&dreId=157996717 (accessed on 13 July 2023).
- Frymus, T.; Gruffydd-Jones, T.; Pennisi, M.G.; Addie, D.; Belák, S.; Boucraut-Baralon, C.; Egberink, H.; Hartmann, K.; Hosie, M.J.; Lloret, A.; et al. Dermatophytosis in Cats: ABCD guidelines on prevention and management. J. Feline Med. Surg. 2013, 15, 598–604. [Google Scholar] [CrossRef] [PubMed]
- Day, M.J.; Carey, S.; Clercx, C.; Kohn, B.; MarsilIo, F.; Thiry, E.; Freyburger, L.; Schulz, B.; Walker, D.J. Aetiology of Canine Infectious Respiratory Disease Complex and Prevalence of its Pathogens in Europe. J. Comp. Pathol. 2020, 176, 86–108. [Google Scholar] [CrossRef] [PubMed]
- Thayer, V.; Gogolski, S.; Felten, S.; Hartmann, K.; Kennedy, M.; Olah, G.A. 2022 AAFP/EveryCat Feline Infectious Peritonitis Diagnosis Guidelines. J. Feline Med. Surg. 2022, 24, 905–933. [Google Scholar] [CrossRef] [PubMed]
- Alfano, F.; Lanave, G.; Lucibelli, M.G.; Miletti, G.; D’Alessio, N.; Gallo, A.; Auriemma, C.; Amoroso, M.G.; Lucente, M.S.; De Carlo, E.; et al. Canine Distemper Virus in Autochtonous and Imported Dogs, Southern Italy (2014–2021). Animals 2022, 12, 2852. [Google Scholar] [CrossRef]
- Ricci, I.; Cersini, A.; Manna, G.; Marcario, G.A.; Conti, R.; Brocherel, G.; Grifoni, G.; Eleni, C.; Scicluna, M.T. A canine distemper virus retrospective study conducted from 2011 to 2019 in central italy (Latium and tuscany regions). Viruses 2021, 13, 272. [Google Scholar] [CrossRef]
- Decaro, N.; Buonavoglia, C.; Barrs, V.R. Canine parvovirus vaccination and immunisation failures: Are we far from disease eradication? Vet. Microbiol. 2020, 247, 108760. [Google Scholar] [CrossRef]
- Thiry, E.; Addie, D.; Belák, S.; Boucraut-Baralon, C.; Egberink, H.; Frymus, T.; Gruffydd-Jones, T.; Hartmann, K.; Hosie, M.J.; Lloret, A.; et al. Feline herpesvirus infection ABCD guidelines on prevention and management. J. Feline Med. Surg. 2009, 11, 547–555. [Google Scholar] [CrossRef]
- Epstein, J.; Dowling-Guyer, S.; McCobb, E.; Glotzer, C.; Dodman, N.H. Addressing stress in dogs in shelters through a novel visual and auditory enrichment device. Appl. Anim. Behav. Sci. 2021, 236, 105215. [Google Scholar] [CrossRef]
- Westman, M.; Norris, J.; Malik, R.; Hofmann-Lehmann, R.; Harvey, A.; McLuckie, A.; Perkins, M.; Schofield, D.; Marcus, A.; McDonald, M.; et al. The diagnosis of feline leukaemia virus (FeLV) infection in owned and group-housed rescue cats in Australia. Viruses 2019, 11, 503. [Google Scholar] [CrossRef] [PubMed]
- Studer, N.; Lutz, H.; Saegerman, C.; Gönczi, E.; Meli, M.L.; Boo, G.; Hartmann, K.; Hosie, M.J.; Moestl, K.; Tasker, S.; et al. Pan-European Study on the Prevalence of the Feline Leukaemia Virus Infection—Reported by the European Advisory Board on Cat Diseases (ABCD Europe). Viruses 2019, 11, 993. [Google Scholar] [CrossRef] [PubMed]
- Turras, M.C.C.D. Estudo da Prevalência de FIV/FeLV Numa População de 88 Gatos Errantes da Região Metropolitana de Lisboa; Universidade Lusófona de Humanidades e Tecnologias Lisboa: Lisboa, Portugal, 2014. [Google Scholar]
- Fernandes, A.P.R.P. Prevalência do Vírus da Imunodeficiência Felina (FIV) e do Vírus da Leucemia Felina (FeLV) e Fatores de Risco Associados à Seropositividade em Gatos Domésticos do Distrito de Lisboa; Universidade de Tras-os-Montes e Alto Douro: Vila Real, Portugal, 2015. [Google Scholar]
- Rodrigues, C. Prevalência de Vírus da Imunodeficiência Felina, Vírus da Leucemia Felina, Calicivírus Felino, Herpesvírus Felino Tipo 1 e Candida spp. em Felinos Errantes e Possível Associação a Gengivo-Estomatite Crónica Felina e a Doença Respiratória Felina; Universidade Técnica de Lisboa: Lisboa, Portugal, 2012. [Google Scholar]







| Animal Species | Response Category | Response Rate | |
|---|---|---|---|
| Associations % | Municipal % | ||
| Dogs | <5% | 8 (2/24) | 12(5/42) |
| 5 to 10% | 4 (1/24) | 10 (4/42) | |
| >10 to 25% | 21 (5/24) | 14 (6/42) | |
| >25 to 50% | 13 (3/24) | 31 (13/42) | |
| >50% | 54 (13/24) | 33 (14/42) | |
| Cats | <5% | 13 (2/15) | 42 (11/26) |
| 5 to 10% | 7 (1/15) | 8 (2/26) | |
| >10 to 25% | 13 (2/15) | 12 (3/26) | |
| >25 to 50% | 7 (1/15) | 15 (4/26) | |
| >50% * | 60 (9/15) | 12 (3/26) | |
| n.a. ** | 0 (0/15) | 12 (3/26) | |
Disclaimer/Publisher’s Note: The statements, opinions and data contained in all publications are solely those of the individual author(s) and contributor(s) and not of MDPI and/or the editor(s). MDPI and/or the editor(s) disclaim responsibility for any injury to people or property resulting from any ideas, methods, instructions or products referred to in the content. |
© 2023 by the authors. Licensee MDPI, Basel, Switzerland. This article is an open access article distributed under the terms and conditions of the Creative Commons Attribution (CC BY) license (https://creativecommons.org/licenses/by/4.0/).
Share and Cite
Marques, S.; Gomes-Neves, E.; Baptista, C.S.; Pereira, F.R.; Alves-Pereira, A.; Osório, P.; Müller, A. A Survey on Vaccination and Disease Occurrence in Municipal and Non-Profit Animal Shelters in Portugal. Animals 2023, 13, 2723. https://doi.org/10.3390/ani13172723
Marques S, Gomes-Neves E, Baptista CS, Pereira FR, Alves-Pereira A, Osório P, Müller A. A Survey on Vaccination and Disease Occurrence in Municipal and Non-Profit Animal Shelters in Portugal. Animals. 2023; 13(17):2723. https://doi.org/10.3390/ani13172723
Chicago/Turabian StyleMarques, Sara, Eduarda Gomes-Neves, Cláudia S. Baptista, Francisca R. Pereira, Adélia Alves-Pereira, Pedro Osório, and Alexandra Müller. 2023. "A Survey on Vaccination and Disease Occurrence in Municipal and Non-Profit Animal Shelters in Portugal" Animals 13, no. 17: 2723. https://doi.org/10.3390/ani13172723
APA StyleMarques, S., Gomes-Neves, E., Baptista, C. S., Pereira, F. R., Alves-Pereira, A., Osório, P., & Müller, A. (2023). A Survey on Vaccination and Disease Occurrence in Municipal and Non-Profit Animal Shelters in Portugal. Animals, 13(17), 2723. https://doi.org/10.3390/ani13172723

