Effects of Microorganisms on Growth Performance, Body Composition, Digestive Enzyme Activity, Intestinal Bacteria Flora and Antimicrobial Peptide (AMP) Content of Black Soldier Fly Larvae (Hermetia illucens)
Abstract
:Simple Summary
Abstract
1. Introduction
2. Materials and Methods
2.1. Microbial Culture
2.2. Experimental Diet Preparation
2.3. Hermetia illucens Acclimation
2.4. Experimental Design and H. illucens Rearing
2.5. Sample Collection
2.6. Growth Performance
2.7. Proximate Composition
2.8. Digestive Ability
2.9. Intestinal Microbiota
2.10. Extraction and Determination of AMPs
2.11. Antibacterial Effect
2.12. Statistical Analysis
3. Results
3.1. First Trial: Screening Possible Microbial Strain Candidates
3.1.1. Growth Performance and Survival Rate
3.1.2. Proximate Composition
3.1.3. Digestive Ability
3.1.4. AMPs Content
3.1.5. Antibacterial Effect
3.2. Second Trial: The Evaluation of Efficiencies of Different Concentrations of the Microbial Strain
3.2.1. Growth Performance and Survival Rate
3.2.2. Proximate Composition
3.2.3. Digestive Ability
3.2.4. Antibacterial Peptide Content
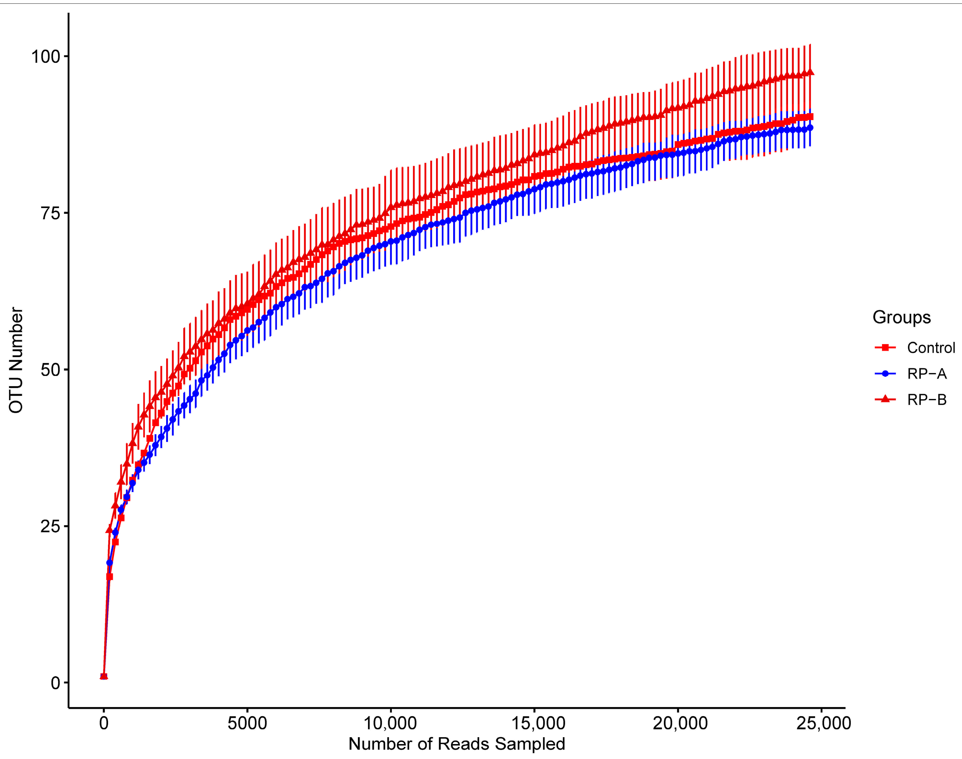
3.2.5. Intestinal Microbiota
4. Discussion
4.1. Effect of Feed Supplementation with Different Strains on H. illucens Larvae
4.1.1. Effect of Feed Supplementation with Different Strains on the Growth and Development of H. illucens Larvae
4.1.2. Effect of Feed Supplementation with Different Strains on the Body Composition of H. illucens
4.1.3. Induction of AMPs by Feed Supplementation with Different Strains
4.2. Effect of Feed Supplementation with Different Concentrations of RP on H. illucens Larvae
4.2.1. Effect of Feed Supplementation with Different Concentrations of RP on the Growth Performance of H. illucens
4.2.2. Effect of Feed Supplementation with Different Concentrations of RP on the Body Composition of H. illucens
4.2.3. Induction of AMPs by Feed Supplementation with Different Concentrations of RP
4.2.4. Effect of Feed Supplementation with RP on the Intestinal Flora of H. illucens
5. Conclusions
Supplementary Materials
Author Contributions
Funding
Institutional Review Board Statement
Informed Consent Statement
Data Availability Statement
Conflicts of Interest
References
- He, S.W.; Wang, G.H.; Yue, B. TO17: A teleost antimicrobial peptide that induces degradation of bacterial nucleic acids and inhibits bacterial infection in red drum, Sciaenops ocellatus. Fish Shellfish Immunol. 2018, 72, 639–645. [Google Scholar]
- Hansen, M.P.; Hoffmann, T.C.; McCullough, A.R.; van Driel, M.L.; Del Mar, C.B. Antibiotic resistance: What are the opportunities for primary care in alleviating the crisis? Front. Public Health 2015, 3, 35. [Google Scholar]
- Tu, J.; Wu, G.; Zuo, Y.; Zhao, L.; Wang, S. ZL-2, a cathelicidin-derived antimicrobial peptide, has a broad antimicrobial activity against gram-positive bacteria and gram-negative bacteria in vitro and in vivo. Arch. Pharmacal Res. 2015, 38, 1802–1809. [Google Scholar]
- Kraemer, S.A.; Ramachandran, A.; Perron, G.A.O. Antibiotic pollution in the environment: From microbial ecology to public policy. Microorganisms 2019, 7, 180. [Google Scholar]
- Klare, I.; Konstabel, C.; Badstübner, D.; Werner, G.; Witte, W. Occurrence and spread of antibiotic resistances in Enterococcus faecium. Int. J. Food Microbiol. 2003, 88, 269–290. [Google Scholar]
- Brorsen, B.W.; Lehenbauer, T.; Ji, D.; Connor, J. Economic impacts of banning subtherapeutic use of antibiotics in swine production. J. Agric. Appl. Econ. 2002, 34, 489–500. [Google Scholar]
- Hull, R.; Katete, R.; Ntwasa, M. Therapeutic potential of antimicrobial peptides from insects. Biotechnol. Mol. Biol. Rev. 2012, 7, 31–47. [Google Scholar]
- Natalia, G.; Andrey, Y.; Anastasia, K.; Dmitry, T.; Evdokia, P.; Tatyana, S.; Domenico, B.; Camillo, R.; Sergey, C.; Surajit, B. Natural antimicrobial peptide complexes in the fighting of antibiotic resistant biofilms: Calliphora vicina medicinal maggots. PLoS ONE 2017, 12, e0173559. [Google Scholar]
- Mouammine, A.; Pages, S.; Lanois, A.; Gaudriault, S.; Jubelin, G.; Bonabaud, M.; Cruveiller, S.; Dubois, E.; Roche, D.; Legrand, L.; et al. An antimicrobial peptide-resistant minor subpopulation of Photorhabdus luminescens is responsible for virulence. Sci. Rep. 2017, 7, 43670. [Google Scholar]
- Zhao, Y.; Xie, Z.; Feng, J.; Li, W.; Cao, Z. Pharmacological characterization of human beta-defensins 3 and 4 on potassium channels: Evidence of diversity in beta-defensin-potassium channel interactions. Peptides 2018, 108, 14–18. [Google Scholar]
- Wiesner, J.; Vilcinskas, A. Antimicrobial peptides: The ancient arm of the human immune system. Virulence 2010, 1, 440–464. [Google Scholar] [CrossRef]
- Hancock, R.E.W.; Lehrer, R. Cationic peptides: A new source of antibiotics. Trends Biotechnol. 1998, 16, 82–88. [Google Scholar] [CrossRef] [PubMed]
- Shumo, M.; Osuga, I.M.; Khamis, F.M.; Tanga, C.M.; Fiaboe, K.K.M.; Subramanian, S.; Ekesi, S.; Huis, A.V.; Borgemeister, C. The nutritive value of black soldier fly larvae reared on common organic waste streams in Kenya. Sci. Rep. 2019, 9, 10110. [Google Scholar] [CrossRef] [PubMed]
- Liu, X.; Chen, X.; Wang, H.; Yang, Q.; Rehman, K.U.; Li, W.; Cai, M.; Li, Q.; Mazza, L.; Zhang, J. Dynamic changes of nutrient composition throughout the entire life cycle of black soldier fly. PLoS ONE 2017, 12, e0182601. [Google Scholar] [CrossRef]
- Zhan, S.; Fang, G.; Cai, M.; Kou, Z.; Xu, J.; Cao, Y.; Bai, L.; Zhang, Y.; Jiang, Y.; Luo, X. Genomic landscape and genetic manipulation of the black soldier fly Hermetia illucens, a natural waste recycler. Cell Res. 2020, 30, 50–60. [Google Scholar] [CrossRef]
- Park, K.; Yun, E.Y.; Park, S.W.; Goo, T.W. The antimicrobial activity of bacterial-challenged black soldier fly, Hermetia illucens. J. Life Sci. 2016, 26, 1409–1414. [Google Scholar] [CrossRef]
- Osama, E.; Zhou, D.; Song, Q.; Aziz, S.A.; Cai, M.; Zheng, L.; Yu, Z.; Zhang, J.; Humberto, L.M. Screening, expression, purification and functional characterization of novel antimicrobial peptide genes from Hermetia illucens (L.). PLoS ONE 2017, 12, e0169582. [Google Scholar]
- Xu, J.; Luo, X.; Fang, G.; Zhan, S.; Wu, J.; Wang, D.; Huang, Y. Transgenic expression of antimicrobial peptides from black soldier fly enhance resistance against entomopathogenic bacteria in the silkworm, Bombyx mori. Insect Biochem. Mol. Biol. 2020, 127, 103487. [Google Scholar] [CrossRef]
- Alvarez, D.; Kevin, A. Treilhou, MichelTene, NathanCastillo, DenisSauvain, Michel. Prospecting peptides isolated from black soldier fly (Diptera: Stratiomyidae) with antimicrobial activity against Helicobacter pylori (Campylobacterales: Helicobacteraceae). J. Insect Sci. 2019, 19, 17. [Google Scholar] [CrossRef]
- Lee, K.S.; Yun, E.Y.; Goo, T.W. Antimicrobial activity of an extract of Hermetia illucens larvae immunized with Lactobacillus casei against Salmonella Species. Insects 2020, 11, 704. [Google Scholar] [CrossRef]
- Park, S.I.; Kim, J.W.; Yoe, S.M. Purification and characterization of a novel antibacterial peptide from black soldier fly (Hermetia illucens) larvae. Dev. Comp. Immunol. 2015, 52, 98–106. [Google Scholar] [CrossRef] [PubMed]
- Lee, D.H.; Chu, K.B.; Kang, H.J.; Lee, S.H.; Quan, F.S. Peptides in the hemolymph of Hermetia illucens larvae completely inhibit the growth of Klebsiella pneumonia in vitro and in vivo. J. Asia-Pac. Entomol. 2020, 23, 36–43. [Google Scholar] [CrossRef]
- Sheppard, D.C.; Tomberlin, J.K.; Joyce, J.A.; Kiser, B.C.; Sumner, S.M. Rearing methods for the black soldier fly (Diptera: Stratiomyidae). J. Med. Entomol. 2002, 39, 695–698. [Google Scholar] [CrossRef] [PubMed]
- Zokaeifar, H.; Balcázar, J.L.; Saad, C.R.; Kamarudin, M.S.; Sijam, K.; Arshad, A.; Nejat, N. Effects of Bacillus subtilis on the growth performance, digestive enzymes, immune gene expression and disease resistance of white shrimp, Litopenaeus vannamei. Fish Shellfish Immunol. 2012, 33, 683–689. [Google Scholar] [CrossRef]
- Yeh, S.; Chang, C.; Chang, C.; Liu, C.; Cheng, W. Dietary sodium alginate administration affects fingerling growth and resistance to Streptococcus sp. and iridovirus, and juvenile non-specific immune responses of the orange-spotted grouper, Epinephelus coioides. Fish Shellfish Immunol. 2008, 25, 19–27. [Google Scholar] [CrossRef]
- Hirwitz, W.; Latimer, G. Official methods of analysis of AOAC International (16th edn). Trends Food Sci. Technol. 1995, 6, 382. [Google Scholar]
- Bolger, A.M.; Lohse, M.; Usadel, B. Trimmomatic: A flexible trimmer for Illumina sequence data. Bioinformatics 2014, 30, 2114–2120. [Google Scholar] [CrossRef]
- Martin, M. Cut adapt removes adapter sequences from high-throughput sequencing reads. EMBnet. J. 2011, 17, 10–12. [Google Scholar] [CrossRef]
- Edgar, R.C. UPARSE: Highly accurate OTU sequences from microbial amplicon reads. Nat. Methods 2013, 10, 996–998. [Google Scholar] [CrossRef] [PubMed]
- Edgar, R.C.; Haas, B.J.; Clemente, J.C.; Quince, C.; Knight, R. UCHIME improves sensitivity and speed of chimera detection. Bioinformatics 2011, 27, 2194–2200. [Google Scholar] [CrossRef]
- Park, S.I.; Chang, B.S.; Yoe, S.M. Detection of antimicrobial substances from larvae of the black soldier fly, Hermetia illucens (Diptera: Stratiomyidae). Entomol. Res. 2014, 44, 58–64. [Google Scholar] [CrossRef]
- Xiaoqi, Z.; Caiyun, X.; Hemin, N.; Xiao, Z.; Xiaona, C.; Xiaohui, H.; Huan, S.; Jungang, W.; Hong, S. The biological properties of an antimicrobial peptide extracted from Tenebrio molitor. Chin. J. Appl. Entomol. 2015, 52, 712–720. [Google Scholar] [CrossRef]
- Schiavone, A.; Cullere, M.; De Marco, M.; Meneguz, M.; Biasato, I.; Bergagna, S.; Dezzutto, D.; Gai, F.; Dabbou, S.; Gasco, L.; et al. Partial or total replacement of soybean oil by black soldier fly larvae (Hermetia illucens L.) fat in broiler diets: Effect on growth performances, feed-choice, blood traits, carcass characteristics and meat quality. Ital. J. Anim. Sci. 2017, 16, 93–100. [Google Scholar] [CrossRef]
- Nijdam, D.; Rood, T.; Westhoek, H. The price of protein: Review of land use and carbon footprints from life cycle assessments of animal food products and their substitutes. Food Policy 2012, 37, 760–770. [Google Scholar] [CrossRef]
- Zhang, Y.; Ji, T.; Jiang, Y.; Zheng, C.; Yang, H.; Liu, Q. Long-term effects of three compound probiotics on water quality, growth performances, microbiota distributions and resistance to Aeromonas veronii in crucian carp Carassius auratus gibelio. Fish Shellfish Immunol. 2022, 120, 233–241. [Google Scholar] [CrossRef] [PubMed]
- Yu, J.; Zhou, Y.; Wen, Q.; Wang, B.; Gong, H.; Zhu, L.; Lan, H.; Wu, B.; Lang, W.; Zheng, X.; et al. Effects of faecal microbiota transplantation on the growth performance, intestinal microbiota, jejunum morphology and immune function of laying-type chicks. Anim. Prod. Sci. 2022, 62, 321–332. [Google Scholar] [CrossRef]
- Ramos, M.A.; Weber, B.; Gonçalves, J.F.; Santos, G.A.; Rema, P.; Ozório, R.O.A. Dietary probiotic supplementation modulated gut microbiota and improved growth of juvenile rainbow trout (Oncorhynchus mykiss). Comp. Biochem. Physiol. Part A Mol. Integr. Physiol. 2013, 166, 302–307. [Google Scholar] [CrossRef]
- Lee, S.H.; Ingale, S.L.; Kim, J.S.; Kim, K.H.; Lokhande, A.; Kim, E.K.; Kwon, I.K.; Kim, Y.H.; Chae, B.J. Effects of dietary supplementation with Bacillus subtilis LS 1–2 fermentation biomass on growth performance, nutrient digestibility, cecal microbiota and intestinal morphology of weanling pig. Anim. Feed Sci. Technol. 2014, 188, 102–110. [Google Scholar] [CrossRef]
- Merrifield, D.L.; Dimitroglou, A.; Bradley, G.; Baker, R.T.M.; Davies, S.J. Probiotic applications for rainbow trout (Oncorhynchus mykiss Walbaum) I. Effects on growth performance, feed utilization, intestinal microbiota and related health criteria. Aquacult. Nutr. 2010, 16, 504–510. [Google Scholar] [CrossRef]
- Kannan, M.; Vitenberg, T.; Ben-Mordechai, L.; Khatib, S.; Opatovsky, I. Effect of yeast supplementation on growth parameters and metabolomics of black soldier fly larvae, Hermetia illucens (L.) (Diptera: Stratiomyidae). J. Insects Food Feed 2023, 1–12. [Google Scholar] [CrossRef]
- Hidalgo, M.C.; Skalli, A.; AbellÁN, E.; Arizcun, M.; Cardenete, G. Dietary intake of probiotics and maslinic acid in juvenile dentex (Dentex dentex L.): Effects on growth performance, survival and liver proteolytic activities. Aquacult. Nutr. 2006, 12, 256–266. [Google Scholar] [CrossRef]
- Li, Y.; Yang, Y.; Song, L.; Wang, J.; Hu, Y.; Yang, Q.; Cheng, P.; Li, J. Effects of dietary supplementation of Lactobacillus plantarum and Bacillus subtilis on growth performance, survival, immune response, antioxidant capacity and digestive enzyme activity in olive flounder (Paralichthys olivaceus). Aquacult. Fish. 2021, 6, 283–288. [Google Scholar] [CrossRef]
- Suzer, C.; Çoban, D.; Kamaci, H.O.; Saka, Ş.; Firat, K.; Otgucuoğlu, Ö.; Küçüksari, H. Lactobacillus spp. bacteria as probiotics in gilthead sea bream (Sparus aurata, L.) larvae: Effects on growth performance and digestive enzyme activities. Aquaculture 2008, 280, 140–145. [Google Scholar] [CrossRef]
- Liu, H.; Wang, S.; Cai, Y.; Guo, X.; Cao, Z.; Zhang, Y.; Liu, S.; Yuan, W.; Zhu, W.; Zheng, Y.; et al. Dietary administration of Bacillus subtilis HAINUP40 enhances growth, digestive enzyme activities, innate immune responses and disease resistance of tilapia, Oreochromis niloticus. Fish Shellfish Immunol. 2017, 60, 326–333. [Google Scholar] [CrossRef]
- Duan, Y.; Zhang, Y.; Dong, H.; Wang, Y.; Zheng, X.; Zhang, J. Effect of dietary Clostridium butyricum on growth, intestine health status and resistance to ammonia stress in pacific white shrimp Litopenaeus vannamei. Fish Shellfish Immunol. 2017, 65, 25–33. [Google Scholar] [CrossRef]
- Hoseinifar, S.H.; Soleimani, N.; Ringoe, E. The effects of fructooligosaccharide on growth performance, haemato-immunological parameters, gut microbiota and stress resistance of common carp (Cyprinus carpio) fry. Br. J. Nutr. 2014, 112, 1296–1302. [Google Scholar] [CrossRef]
- Yu, M.C.; Li, Z.J.; Lin, H.Z.; Wen, G.L.; Ma, S. Effects of dietary medicinal herbs and Bacillus on survival, growth, body composition, and digestive enzyme activity of the white shrimp Litopenaeus vannamei. Aquacult. Int. 2009, 17, 377–384. [Google Scholar] [CrossRef]
- Seenivasan, D.C.; Subramanian, R.; Muralisankar, T.; Bhavan, P. Influence of combined probiotics Lactobacillus sporogenes and Bacillus subtilis on survival, growth, biochemical changes and energy utilization performance of Macrobrachium Rosenberger (De Man 1879) post larvae. J. Ecobiotechnol. 2012, 4, 29–34. [Google Scholar]
- Ovie, S.O.; Ibiyo, L.; Babalola, T.; Eze, S.S. The effects of varying levels of yeast (Saccharomyces cerevisiae) on the growth and body composition of Heterobranchus longifilis fingerlings. Zoologist 2013, 10, 34–39. [Google Scholar]
- Darafsh, F.; Soltani, M.; Abdolhay, H.A.; Shamsaei Mehrejan, M. Improvement of growth performance, digestive enzymes and body composition of Persian sturgeon (Acipenser persicus) following feeding on probiotics: Bacillus licheniformis, Bacillus subtilis and Saccharomyces cerevisiae. Aquacult. Res. 2020, 51, 957–964. [Google Scholar] [CrossRef]
- Rocha, I.F.; Maller, A.; de Cássia Garcia Simão, R.; Kadowaki, M.K.; Angeli Alves, L.F.; Huergo, L.F.; da Conceição Silva, J.L. Proteomic profile of hemolymph and detection of induced antimicrobial peptides in response to microbial challenge in Diatraea saccharalis (Lepidoptera: Crambidae). Biochem. Biophys. Res. Commun. 2016, 473, 511–516. [Google Scholar] [CrossRef]
- Slocinska, M.; Marciniak, P.; Rosinski, G. Insects antiviral and anticancer peptides: New leads for the future? Protein Pept. Lett. 2008, 15, 578–585. [Google Scholar] [CrossRef]
- Sahoo, A.; Swain, S.; Behera, A.; Sahoo, G.; Mahapatra, P.; Panda, S. Antimicrobial peptides derived from insects offer a novel therapeutic option to combat biofilm: A systematic review. Front. Microbiol. 2021, 12, 661195. [Google Scholar] [CrossRef] [PubMed]
- Rizzo, A.; Losacco, A.; Carratelli, C.R. Lactobacillus crispatus modulates epithelial cell defense against Candida albicans through Toll-like receptors 2 and 4, interleukin 8 and human β-defensins 2 and 3. Immunol. Lett. 2013, 156, 102–109. [Google Scholar] [CrossRef]
- Xie, X.S.; Dong, J.Z.; Li, J.; Li, Y.L.; Wang, Y.Y.; Li, X.F.; Zhang, Y.N. Analysis of the antimicrobial activity of antimicrobial peptides extracted from immunized Tenebrio molitor induced by different microbial treatments against 26 pathogens. Agric. Sci. Technol. 2010, 11, 1–4+9. [Google Scholar] [CrossRef]
- Choi, W.; Choi, H.-J.; Goo, T.; Quan, F. Novel antibacterial peptides induced by probiotics in Hermetia illucens (Diptera: Stratiomyidae) larvae. Entomol. Res. 2017, 48, 237–247. [Google Scholar] [CrossRef]
- Zhang, W.; Tettamanti, G.; Bassal, T.; Heryanto, C.; Eleftherianos, I.; Mohamed, A. Regulators and signalling in insect antimicrobial innate immunity: Functional molecules and cellular pathways. Cell Signal. 2021, 83, 110003. [Google Scholar] [CrossRef]
- Zdbicka-Barabas, A.; Bulak, P.; Polakowski, C.; Bieganowski, A.; Waśko, A.; Cytrynska, M. Immune response in the larvae of the black soldier fly Hermetia illucens. Invertebr. Surviv. J. 2017, 14, 9–17. [Google Scholar]
- Patthawaro, S.; Lomthaisong, K.; Saejung, C. Bioconversion of agro-industrial waste to value-added product lycopene by photosynthetic bacterium Rhodopseudomonas faecalis and its carotenoid composition. Waste Biomass Valoriz. 2020, 11, 2375–2386. [Google Scholar] [CrossRef]
- Saejung, C.; Ampornpat, W. Production and nutritional performance of carotenoid-producing photosynthetic bacterium Rhodopseudomonas faecalis PA2 grown in domestic wastewater intended for animal feed production. Waste Biomass Valoriz. 2019, 10, 299–310. [Google Scholar] [CrossRef]
- Saejung, C.; Puensungnern, L. Evaluation of molasses-based medium as a low cost medium for carotenoids and fatty acid production by photosynthetic bacteria. Waste Biomass Valoriz. 2020, 11, 143–152. [Google Scholar] [CrossRef]
- Saejung, C.; Salasook, P. Recycling of sugar industry wastewater for single-cell protein production with supplemental carotenoids. Environ. Technol. 2020, 41, 59–70. [Google Scholar] [CrossRef]
- Saejung, C.; Thammaratana, T. Biomass recovery during municipal wastewater treatment using photosynthetic bacteria and prospect of production of single cell protein for feedstuff. Environ. Technol. 2016, 37, 3055–3061. [Google Scholar] [CrossRef] [PubMed]
- Delamare-Deboutteville, J.; Batstone, D.J.; Kawasaki, M.; Stegman, S.; Salini, M.; Tabrett, S.; Smullen, R.; Barnes, A.C.; Hülsen, T. Mixed culture purple phototrophic bacteria is an effective fishmeal replacement in aquaculture. Water Res. X 2019, 4, 100031. [Google Scholar] [CrossRef] [PubMed]
- Saejung, C.; Chaiyarat, A.; Sanoamuang, L.-O. Effects of algae, yeast and photosynthetic bacteria diets on survival and growth performance in the fairy shrimp, Streptocephalus sirindhornae (Branchiopoda, Anostraca). Crustaceana 2018, 91, 1505–1522. [Google Scholar] [CrossRef]
- Saejung, C.; Chaiyarat, A.; Sanoamuang, L.O. Optimization of three anoxygenic photosynthetic bacteria as feed to enhance growth, survival, and water quality in fairy shrimp (Streptocephalus sirindhornae) cultivation. Aquaculture 2021, 534, 736288. [Google Scholar] [CrossRef]
- Patthawaro, S.; Saejung, C. Production of single cell protein from manure as animal feed by using photosynthetic bacteria. MicrobiologyOpen 2019, 8, e913. [Google Scholar] [CrossRef]
- Pinoargote, G.; Flores, G.; Cooper, K.; Ravishankar, S. Effects on survival and bacterial community composition of the aquaculture water and gastrointestinal tract of shrimp (Litopenaeus vannamei) exposed to probiotic treatments after an induced infection of acute hepatopancreatic necrosis disease. Aquacult. Res. 2018, 49, 3270–3288. [Google Scholar] [CrossRef]
- Xia, Q.; Zhao, Q.F.; Liao, Y.; Zhu, W.; Yu, G.H.; Chen, Y.F.; Song, M.Y. Black soldier fly antimicrobial peptides induced conditions optimization and research of crude extracts activity. J. Environ. Entomol. 2013, 35, 44–48. [Google Scholar]
- Li, T.; Long, M.; Ji, C.; Shen, Z.; Gatesoupe, F.J.; Zhang, X.; Zhang, Q.; Zhang, L.; Zhao, Y.; Liu, X.; et al. Alterations of the gut microbiome of largemouth bronze gudgeon (Coreius guichenoti) suffering from furunculosis. Sci. Rep. 2016, 6, 30606. [Google Scholar] [CrossRef]
- Daniels, C.; Hoseinifar, S.H. Prebiotic applications in shellfish. Aquacult. Nutr. 2014, 1, 401–418. [Google Scholar] [CrossRef]
- Valipour, A.; Nedaei, S.; Noori, A.; Khanipour, A.A.; Hoseinifar, S.H. Dietary Lactobacillus plantarum affected on some immune parameters, air-exposure stress response, intestinal microbiota, digestive enzyme activity and performance of narrow clawed crayfish (Astacus leptodactylus, Eschscholtz). Aquaculture 2019, 504, 121–130. [Google Scholar] [CrossRef]
- Callegari, M.; Jucker, C.; Fusi, M.; Leonardi, M.; Daffonchio, D.; Borin, S.; Savoldelli, S.; Crotti, E. Hydrolytic profile of the culturable gut bacterial community associated with Hermetia illucens. Front. Microbiol. 2020, 11, 1965. [Google Scholar] [CrossRef] [PubMed]
- Stackebrandt, E.; Murray, R.G.E.; Trüper, H.G. Proteobacteria classis nov., a name for the phylogenetic taxon including the “purple bacteria and their relatives”. Int. J. Syst. Bacteriol. 1988, 42, 281–295. [Google Scholar]
- Mohapatra, S.; Chakraborty, T.; Kumar, V.; DeBoeck, G.; Mohanta, K.N. Aquaculture and stress management: A review of probiotic intervention. J. Anim. Physiol. Anim. Nutr. 2013, 97, 405–430. [Google Scholar] [CrossRef]
- Liu, R.; Wu, W.; Xu, X.; Wang, Y.; Yu, T.; Wang, J.; Zheng, Q.; Changru, X.; Wu, P. Rhodopseudomonas palustris in effluent enhances the disease resistance, TOR and NF-κB signalling pathway, intestinal microbiota and aquaculture water quality of Pelteobagrus vachelli. Aquacult. Res. 2020, 51, 3959–3971. [Google Scholar] [CrossRef]
- Batalla, A.S.; Blanchardière, A.; Vergnaud, M.; Dargère, S.; Verdon, R. Endocardite recidivante a Corynebacterium striatum compliquant une osteite. Med. Mal. Infect. 2010, 41, 160–163. [Google Scholar] [CrossRef]
- Wong, K.Y.; Chan, Y.C.; Wong, C.Y. Corynebacterium striatum as an emerging pathogen. J. Hosp. Infect. 2010, 76, 371–372. [Google Scholar] [CrossRef]
- Petrás, G.; Lányi, B.; Bognár, S.; Tóth, L. Microflora of the department of acute respiratory diseases and the spreading of Proteus strains. Orv. Hetil. 1972, 113, 1399–1403. [Google Scholar]
- Sánchez, F.; Herranz, P.; Gil, J.; Peréz-Navarro, A. The efficacy of oral ciprofloxacin in the treatment of Proteus mirabilis infections of the lower respiratory tract. Ann. Med. Intern 1989, 6, 605. [Google Scholar]
- Bahrani, F.K.; Massad, G.; Lockatell, C.V.; Johnson, D.E.; Russell, R.G.; Warren, J.W.; Mobley, H.L. Construction of an MR/P fimbrial mutant of Proteus mirabilis: Role in virulence in a mouse model of ascending urinary tract infection. Infect. Immun. 1994, 62, 3363–3371. [Google Scholar] [CrossRef] [PubMed]






| Ingredients | Content (%) | Proximate Composition | Content (%) |
|---|---|---|---|
| Wheat bran | 50 | Crude protein | 22.68 |
| Soybean meal | 30 | Crude lipid | 3.71 |
| Corn meal | 20 | Ash | 2.38 |
| Parameter | WGR (%) | SGR (%/d) |
|---|---|---|
| Control | 416.67 ± 47.26 c | 32.79 ± 1.80 d |
| EC | 426.67 ± 25.17 c | 33.21 ± 0.96 cd |
| SA | 686.67 ± 80.21 ab | 41.18 ± 2.03 ab |
| BS | 443.33 ± 20.82 c | 33.84 ± 0.77 cd |
| RP | 730.00 ± 43.59 a | 42.31 ± 1.04 a |
| SC | 693.33 ± 80.21 ab | 41.35 ± 2.04 ab |
| LP | 546.67 ± 51.32 bc | 37.29 ± 1.61 bc |
| Parameter | Crude Protein (%) | Crude Lipid (%) | Ash (%) |
|---|---|---|---|
| Control | 53.74 ± 2.08 | 14.40 ± 2.57 b | 2.61 ± 0.10 b |
| EC | 55.13 ± 3.04 | 14.69 ± 0.52 ab | 2.68 ± 0.09 ab |
| SA | 55.36 ± 4.02 | 15.93 ± 1.18 ab | 2.64 ± 0.05 b |
| BS | 58.16 ± 3.72 | 13.96 ± 0.30 b | 2.70 ± 0.10 ab |
| RP | 56.15 ± 3.17 | 15.59 ± 0.62 ab | 2.78 ± 0.12 ab |
| SC | 55.77 ± 3.15 | 17.90 ± 0.33 a | 2.88 ± 0.02 a |
| LP | 56.31 ± 4.11 | 16.34 ± 1.19 ab | 2.76 ± 0.01 ab |
| Parameter | α-Amylase (U/mgprot) | Lipase (U/gprot) | Trypsin (U/gprot) |
|---|---|---|---|
| Control | 5.68 ± 1.26 cd | 10.04 ± 1.87 d | 476.40 ± 62.90 c |
| EC | 3.53 ± 0.85 d | 7.39 ± 1.41 d | 424.60 ± 59.40 c |
| SA | 6.59 ± 1.29 bc | 14.47 ± 2.47 bc | 1458.44 ± 274.45 b |
| BS | 6.27 ± 1.09 bc | 10.29 ± 0.71 d | 1620.73 ± 107.55 ab |
| RP | 12.16 ± 1.75 a | 22.07 ± 3.31 a | 1869.22 ± 201.88 a |
| SC | 8.41 ± 1.08 b | 17.57 ± 2.56 b | 1386.38 ± 255.78 b |
| LP | 5.40 ± 1.38 cd | 11.03 ± 2.65 cd | 712.85 ± 127.94 c |
| Parameter | Antibacterial Peptide (mg/mL) |
|---|---|
| Control | 0.03 ± 0.01 c |
| EC | 0.05 ± 0.01 ab |
| SA | 0.05 ± 0.01 b |
| BS | 0.04 ± 0.01 bc |
| RP | 0.06 ± 0.01 a |
| SC | 0.05 ± 0.01 ab |
| LP | 0.04 ± 0.01 bc |
| Parameter | Diameter (mm) |
|---|---|
| NC | 0 |
| PC | 15.47 ± 0.96 a |
| Control | 8.07 ± 0.91 e |
| EC | 11.50 ± 1.30 bcd |
| SA | 11.53 ± 0.93 bc |
| BS | 9.10 ± 0.92 cde |
| RP | 12.80 ± 0.66 b |
| SC | 11.47 ± 0.95 bcd |
| LP | 8.93 ± 0.47 de |
| Parameter | WGR (%) | SGR (%/d) |
|---|---|---|
| R0 | 858.00 ± 50.63 c | 45.18 ± 1.07 c |
| R1 | 992.22 ± 40.05 bc | 47.81 ± 0.73 bc |
| R2 | 1031.11 ± 40.73 b | 48.51 ± 0.73 b |
| R3 | 1067.78 ± 103.94 ab | 49.10 ± 1.82 ab |
| R4 | 1202.44 ± 13.83 a | 51.34 ± 0.21 a |
| R5 | 1213.33 ± 24.04 a | 51.50 ± 0.37 a |
| Parameter | Crude Protein (%) | Crude Lipid (%) | Ash (%) |
|---|---|---|---|
| R0 | 56.52 ± 2.11 | 21.39 ± 1.57 c | 2.96 ± 0.14 |
| R1 | 54.71 ± 2.37 | 23.25 ± 0.56 bc | 2.93 ± 0.05 |
| R2 | 54.10 ± 2.07 | 24.93 ± 0.46 ab | 2.88 ± 0.05 |
| R3 | 52.88 ± 1.16 | 25.11 ± 0.60 ab | 2.92 ± 0.01 |
| R4 | 54.05 ± 1.54 | 26.19 ± 0.56 a | 3.22 ± 0.68 |
| R5 | 53.44 ± 2.78 | 26.59 ± 0.51 a | 2.83 ± 0.04 |
| Parameter | α-Amylase (U/mgprot) | Lipase (U/gprot) | Trypsin (U/gprot) |
|---|---|---|---|
| R0 | 5.24 ± 0.46 b | 30.54 ± 5.06 c | 928.28 ± 39.35 c |
| R1 | 5.07 ± 0.75 b | 39.32 ± 6.14 bc | 1158.97 ± 79.30 bc |
| R2 | 7.40 ± 0.76 a | 41.07 ± 6.14 bc | 1258.97 ± 108.69 abc |
| R3 | 6.84 ± 0.79 a | 42.53 ± 4.19 b | 1224.84 ± 189.44 bc |
| R4 | 7.23 ± 0.95 a | 48.98 ± 9.57 ab | 1559.56 ± 268.55 a |
| R5 | 6.84 ± 1.08 a | 59.98 ± 7.41 a | 1464.06 ± 298.10 ab |
| Parameter | Antibacterial Peptide (mg/mL) |
|---|---|
| R0 | 0.04 ± 0.01 c |
| R1 | 0.07 ± 0.01 b |
| R2 | 0.07 ± 0.01 b |
| R3 | 0.09 ± 0.02 b |
| R4 | 013 ± 0.01 a |
| R5 | 0.14 ± 0.02 a |
| Group | Shannon | Simpson | Chao | Ace |
|---|---|---|---|---|
| Control | 1.71 ± 0.11 b | 0.36 ± 0.04 a | 107.29 ± 5.87 a | 107.90 ± 8.21 b |
| RP-A | 1.83 ± 0.08 b | 0.34 ± 0.03 a | 107.43 ± 6.35 a | 109.71 ± 5.22 b |
| RP-B | 2.49 ± 0.23 a | 0.16 ± 0.06 b | 124.56 ± 9.16 a | 135.32 ± 11.39 a |
Disclaimer/Publisher’s Note: The statements, opinions and data contained in all publications are solely those of the individual author(s) and contributor(s) and not of MDPI and/or the editor(s). MDPI and/or the editor(s) disclaim responsibility for any injury to people or property resulting from any ideas, methods, instructions or products referred to in the content. |
© 2023 by the authors. Licensee MDPI, Basel, Switzerland. This article is an open access article distributed under the terms and conditions of the Creative Commons Attribution (CC BY) license (https://creativecommons.org/licenses/by/4.0/).
Share and Cite
Meng, Y.; Zhang, X.; Zhang, Z.; Li, J.; Zheng, P.; Li, J.; Xu, J.; Xian, J.; Lu, Y. Effects of Microorganisms on Growth Performance, Body Composition, Digestive Enzyme Activity, Intestinal Bacteria Flora and Antimicrobial Peptide (AMP) Content of Black Soldier Fly Larvae (Hermetia illucens). Animals 2023, 13, 2722. https://doi.org/10.3390/ani13172722
Meng Y, Zhang X, Zhang Z, Li J, Zheng P, Li J, Xu J, Xian J, Lu Y. Effects of Microorganisms on Growth Performance, Body Composition, Digestive Enzyme Activity, Intestinal Bacteria Flora and Antimicrobial Peptide (AMP) Content of Black Soldier Fly Larvae (Hermetia illucens). Animals. 2023; 13(17):2722. https://doi.org/10.3390/ani13172722
Chicago/Turabian StyleMeng, Yongqi, Xiuxia Zhang, Zelong Zhang, Jiajun Li, Peihua Zheng, Juntao Li, Jiarui Xu, Jianan Xian, and Yaopeng Lu. 2023. "Effects of Microorganisms on Growth Performance, Body Composition, Digestive Enzyme Activity, Intestinal Bacteria Flora and Antimicrobial Peptide (AMP) Content of Black Soldier Fly Larvae (Hermetia illucens)" Animals 13, no. 17: 2722. https://doi.org/10.3390/ani13172722
APA StyleMeng, Y., Zhang, X., Zhang, Z., Li, J., Zheng, P., Li, J., Xu, J., Xian, J., & Lu, Y. (2023). Effects of Microorganisms on Growth Performance, Body Composition, Digestive Enzyme Activity, Intestinal Bacteria Flora and Antimicrobial Peptide (AMP) Content of Black Soldier Fly Larvae (Hermetia illucens). Animals, 13(17), 2722. https://doi.org/10.3390/ani13172722

