Differentiation of Hair Sheep Breeds Based on the Physiological and Blood Biochemical Changes in Response to Different Stressors Using Multivariate Analysis Techniques
Abstract
:Simple Summary
Abstract
1. Introduction
2. Materials and Methods
2.1. Animals, Housing and Diet
2.1.1. High Heat Load
2.1.2. Restricted Feed Intake
2.1.3. Restricted Water Intake
2.2. Measurements
2.3. Statistical Analyses
3. Results
3.1. Changes in Physiological Variables
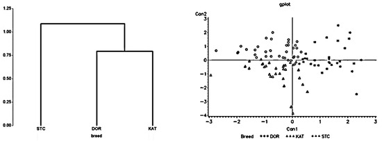
3.2. Custer Analysis
3.3. Canonical Discriminant Analysis
3.4. Stepwise Discriminant Analysis
4. Discussion
4.1. Descriptive Statistics and Breed Groups
4.2. High Heat Load
4.3. Restricted Feed Intake
4.4. Drinking Water Restriction
5. Conclusions
Author Contributions
Funding
Institutional Review Board Statement
Informed Consent Statement
Data Availability Statement
Conflicts of Interest
References
- Walthall, C.L.; Hatfield, J.; Backlund, P.; Lengnick, L.; Marshall, E.; Walsh, M.; Ziska, L.H. Climate Change and Agriculture in the United States: Effects and Adaptation; USDA Technical Bulletin 1935; USDA: Washington, DC, USA, 2012; p. 186. [Google Scholar]
- Seo, S.N.; McCarl, B.A.; Mendelsohn, R. From Beef Cattle to Sheep under Global Warming? An Analysis of Adaptation by Livestock Species Choice in South America. Ecol. Econ. 2010, 69, 2486–2494. [Google Scholar] [CrossRef]
- Seo, S.N.; Mendelsohn, R. Measuring Impacts and Adaptations to Climate Change: A Structural Ricardian Model of African Livestock Management. Agric. Econ. 2008, 38, 151–165. [Google Scholar] [CrossRef]
- Bernabucci, U.; Lacetera, N.; Baumgard, L.H.; Rhoads, R.P.; Ronchi, B.; Nardone, A. Metabolic and Hormonal Acclimation to Heat Stress in Domesticated Ruminants. Animal 2010, 4, 1167–1183. [Google Scholar] [CrossRef] [PubMed]
- Sammad, A.; Wang, Y.J.; Umer, S.; Lirong, H.; Khan, I.; Khan, A.; Ahmad, B.; Wang, Y. Nutritional Physiology and Biochemistry of Dairy Cattle under the Influence of Heat Stress: Consequences and Opportunities. Animals 2020, 10, 793. [Google Scholar] [CrossRef] [PubMed]
- Patra, A.K.; Kar, I. Heat Stress on Microbiota Composition, Barrier Integrity, and Nutrient Transport in Gut, Production Performance, and Its Amelioration in Farm Animals. J. Anim. Sci. Technol. 2021, 63, 211. [Google Scholar] [CrossRef]
- Sejian, V.; Bagath, M.; Krishnan, G.; Rashamol, V.P.; Pragna, P.; Devaraj, C.; Bhatta, R. Genes for Resilience to Heat Stress in Small Ruminants: A Review. Small Rumin. Res. 2019, 173, 42–53. [Google Scholar] [CrossRef]
- McManus, C.M.; Lucci, C.M.; Maranhao, A.Q.; Pimentel, D.; Pimentel, F.; Paiva, S.R. Response to Heat Stress for Small Ruminants: Physiological and Genetic Aspects. Livest. Sci. 2022, 263, 105028. [Google Scholar] [CrossRef]
- Hoffmann, I. Adaptation to Climate Change–Exploring the Potential of Locally Adapted Breeds. Animal 2013, 7, 346–362. [Google Scholar] [CrossRef]
- Dossa, L.H.; Wollny, C.; Gauly, M. Spatial Variation in Goat Populations from Benin as Revealed by Multivariate Analysis of Morphological Traits. Small Rumin. Res. 2007, 73, 150–159. [Google Scholar] [CrossRef]
- Yakubu, A.; Salako, A.E.; Imumorin, I.G. Comparative Multivariate Analysis of Biometric Traits of West African Dwarf and Red Sokoto Goats. Trop. Anim. Health Prod. 2011, 43, 561–566. [Google Scholar] [CrossRef]
- Legaz, E.; Cervantes, I.; Pérez-Cabal, M.A.; De la Fuente, L.F.; Martinez, R.; Goyache, F.; Gutiérrez, J.P. Multivariate Characterisation of Morphological Traits in Assaf (Assaf. E) Sheep. Small Rumin. Res. 2011, 100, 122–130. [Google Scholar] [CrossRef]
- Tadesse, D.; Patra, A.K.; Puchala, R.; Goetsch, A.L. Effects of High Heat Load Conditions on Blood Constituent Concentrations in Dorper, Katahdin, and St. Croix Sheep from Different Regions of the USA. Animals 2022, 12, 2273. [Google Scholar] [CrossRef]
- Tadesse, D.; Puchala, R.; Gipson, T.A.; Goetsch, A.L. Effects of High Heat Load Conditions on Body Weight, Feed Intake, Temperature, and Respiration of Dorper, Katahdin, and St. Croix Sheep. J. Appl. Anim. Res. 2019, 47, 492–505. [Google Scholar] [CrossRef]
- Hamzaoui, S.; Salama, A.A.K.; Albanell, E.; Such, X.; Caja, G. Physiological Responses and Lactational Performances of Late-Lactation Dairy Goats under Heat Stress Conditions. J. Dairy Sci. 2013, 96, 6355–6365. [Google Scholar] [CrossRef]
- Gaughan, J.B.; Mader, T.L.; Holt, S.M.; Sullivan, M.L.; Hahn, G.L. Assessing the Heat Tolerance of 17 Beef Cattle Genotypes. Int. J. Biometeorol. 2010, 54, 617–627. [Google Scholar] [CrossRef] [PubMed]
- Amundson, J.L.; Mader, T.L.; Rasby, R.J.; Hu, Q.S. Environmental Effects on Pregnancy Rate in Beef Cattle. J. Anim. Sci. 2006, 84, 3415–3420. [Google Scholar] [CrossRef] [PubMed]
- Tadesse, D.; Puchala, R.; Goetsch, A.L. Effects of Hair Sheep Breed and Region of Origin on Feed Dry Matter Required for Maintenance without and with a Marked Feed Restriction. Livest. Sci. 2019, 226, 114–121. [Google Scholar] [CrossRef]
- Tadesse, D.; Puchala, R.; Goetsch, A.L. Effects of Restricted Feed Intake on Blood Constituent Concentrations in Dorper, Katahdin, and St. Croix Sheep from Different Regions of the USA. Vet. Anim. Sci. 2021, 14, 100211. [Google Scholar] [CrossRef]
- Silanikove, N. Effects of Heat Stress on the Welfare of Extensively Managed Domestic Ruminants. Livest. Prod. Sci. 2000, 67, 1–18. [Google Scholar] [CrossRef]
- Hussein, A.; Puchala, R.; Portugal, I.; Wilson, B.K.; Gipson, T.A.; Goetsch, A.L. Effects of Restricted Availability of Drinking Water on Body Weight and Feed Intake by Dorper, Katahdin, and St. Croix Sheep from Different Regions of the USA. J. Anim. Sci. 2020, 98, skz367. [Google Scholar] [CrossRef]
- Hussein, A.H.; Puchala, R.; Gipson, T.A.; Tadesse, D.; Wilson, B.K.; Goetsch, A.L. Effects of water restriction on feed intake, digestion, and energy utilization by mature female St. Croix sheep. Vet. Anim. Sci. 2020, 10, 100132. [Google Scholar] [CrossRef] [PubMed]
- Eisemann, J.H.; Nienaber, J.A. Tissue and Whole-Body Oxygen Uptake in Fed and Fasted Steers. Br. J. Nutr. 1990, 64, 399–411. [Google Scholar] [CrossRef]
- SAS. SAS/STAT® 9.4 User’s Guide; SAS Inst. Inc.: Cary, NC, USA, 2011. [Google Scholar]
- Rout, P.K.; Kaushik, R.; Ramachandran, N.; Jindal, S.K. Identification of Heat Stress-Susceptible and-Tolerant Phenotypes in Goats in Semiarid Tropics. Anim. Prod. Sci. 2017, 58, 1349–1357. [Google Scholar] [CrossRef]
- Correa, M.P.C.; Dallago, B.S.L.; Paiva, S.R.; Canozzi, M.E.A.; Louvandini, H.; Barcellos, J.J.; McManus, C. Multivariate Analysis of Heat Tolerance Characteristics in Santa Inês and Crossbred Lambs in the Federal District of Brazil. Trop. Anim. Health Prod. 2013, 45, 1407–1414. [Google Scholar] [CrossRef] [PubMed]
- Ribeiro, N.L.; Pimenta Filho, E.C.; Arandas, J.K.G.; Ribeiro, M.N.; Saraiva, E.P.; Bozzi, R.; Costa, R.G. Multivariate Characterization of the Adaptive Profile in Brazilian and Italian Goat Population. Small Rumin. Res. 2015, 123, 232–237. [Google Scholar] [CrossRef]
- Hussein, A.H.; Patra, A.K.; Puchala, R.; Wilson, B.K.; Goetsch, A.L. Effects of Restricted Availability of Drinking Water on Blood Characteristics and Constituents in Dorper, Katahdin, and St. Croix Sheep from Different Regions of the USA. Animals 2022, 12, 3167. [Google Scholar] [CrossRef]
- Gil, M.G.; Gomez-Raya, L.; Torres, O.; Cigarroa-Vazquez, F.A.; Davila, S.G.; Rauw, W.M. Heterophil/Lymphocyte Response of Local Spanish Breeds of Laying Hens to Cold Stress, Heat Stress, and Water Restriction. J. Therm. Biol. 2023, 113, 103542. [Google Scholar] [CrossRef]
- Wildeus, S. Hair Sheep Genetic Resources and Their Contribution to Diversified Small Ruminant Production in the United States. J. Anim. Sci. 1997, 75, 630–640. [Google Scholar] [CrossRef]
- De Waal, H.O.; Combrinck, W.J. The Development of the Dorper, Its Nutrition and a Perspective of the Grazing Ruminant on Veld. Small Rumin. Res. 2000, 36, 103–117. [Google Scholar] [CrossRef]
- Spangler, G.L.; Rosen, B.D.; Ilori, M.B.; Hanotte, O.; Kim, E.-S.; Sonstegard, T.S.; Burke, J.M.; Morgan, J.L.; Notter, D.R.; Van Tassell, C.P. Whole Genome Structural Analysis of Caribbean Hair Sheep Reveals Quantitative Link to West African Ancestry. PLoS ONE 2017, 12, e0179021. [Google Scholar] [CrossRef]
- Burke, J.M.; Miller, J.E. Relative Resistance to Gastrointestinal Nematode Parasites in Dorper, Katahdin, and St. Croix Lambs under Conditions Encountered in the Southeastern Region of the United States. Small Rumin. Res. 2004, 54, 43–51. [Google Scholar] [CrossRef]
- Estrada-Reyes, Z.M.; Tsukahara, Y.; Goetsch, A.L.; Gipson, T.A.; Sahlu, T.; Puchala, R.; Wang, Z.; Hart, S.P.; Mateescu, R.G. Effect of Ovar-DRA and Ovar-DRB 1 Genotype in Small Ruminants with Haemonchosis. Parasite Immunol. 2018, 40, e12534. [Google Scholar] [CrossRef] [PubMed]
- Marai, I.F.M.; El-Darawany, A.A.; Fadiel, A.; Abdel-Hafez, M.A.M. Physiological Traits as Affected by Heat Stress in Sheep—A Review. Small Rumin. Res. 2007, 71, 1–12. [Google Scholar] [CrossRef]
- Pacifici, M.; Visconti, P.; Butchart, S.H.; Watson, J.E.; Cassola, F.M.; Rondinini, C. Species’ Traits Influenced Their Response to Recent Climate Change. Nat. Clim. Chang. 2017, 7, 205–208. [Google Scholar] [CrossRef]
- Berihulay, H.; Abied, A.; He, X.; Jiang, L.; Ma, Y. Adaptation Mechanisms of Small Ruminants to Environmental Heat Stress. Animals 2019, 9, 75. [Google Scholar] [CrossRef]
- McManus, C.; Dallago, B.S.L.; Lehugeur, C.; Ribeiro, L.A.; Hermuche, P.; Guimarães, R.F.; de Carvalho Júnior, O.A.; Paiva, S.R. Patterns of Heat Tolerance in Different Sheep Breeds in Brazil. Small Rumin. Res. 2016, 144, 290–299. [Google Scholar] [CrossRef]
- Thompson, G.E.; Thompson, M.K. Respiratory System. In Stress Physiology in Livestock; Young, M.K., Ed.; CRC Press, Inc.: Boca Raton, FL, USA, 1985; pp. 155–162. [Google Scholar]
- Schmidt-Nielsen, K. Animal Physiology: Adaptation and Environment; Cambridge University Press: Cambridge, UK, 1997. [Google Scholar]
- Srikandakumar, A.; Johnson, E.H.; Mahgoub, O. Effect of Heat Stress on Respiratory Rate, Rectal Temperature and Blood Chemistry in Omani and Australian Merino Sheep. Small Rumin. Res. 2003, 49, 193–198. [Google Scholar] [CrossRef]
- Li, G.; Chen, S.; Chen, J.; Peng, D.; Gu, X. Predicting Rectal Temperature and Respiration Rate Responses in Lactating Dairy Cows Exposed to Heat Stress. J. Dairy Sci. 2020, 103, 5466–5484. [Google Scholar] [CrossRef]
- Collier, R.J.; Zimbelman, R.B. Heat Stress Effects on Cattle: What We Know and What We Don’t Know. In Proceedings of the 22nd Annual Southwest Nutrition & Management Conference, Tempe, AZ, USA, 22–23 February 2007; pp. 76–83. [Google Scholar]
- Martello, L.S.; Savastano Junior, H.; Silva, S.L.; Balieiro, J.C.C. Alternative Body Sites for Heat Stress Measurement in Milking Cows under Tropical Conditions and Their Relationship to the Thermal Discomfort of the Animals. Int. J. Biometeorol. 2010, 54, 647–652. [Google Scholar] [CrossRef]
- Keogh, K.; Waters, S.M.; Kelly, A.K.; Wylie, A.R.G.; Sauerwein, H.; Sweeney, T.; Kenny, D.A. Feed Restriction and Realimentation in Holstein–Friesian Bulls: II. Effect on Blood Pressure and Systemic Concentrations of Metabolites and Metabolic Hormones. J. Anim. Sci. 2015, 93, 3590–3601. [Google Scholar] [CrossRef]
- Mazur, A.; Ozgo, M.; Rayssiguier, Y. Altered Plasma Triglyceride-Rich Lipoproteins and Triglyceride Secretion in Feed-Restricted Pregnant Ewes. Vet. Med. 2009, 54, 412–418. [Google Scholar] [CrossRef]
- Aboelmaaty, A.M.; Mansour, M.M.; Ezzo, O.H.; Hamam, A.M. Some Reproductive and Metabolic Responses to Food Restriction and Re-Feeding in Egyptian Native Goats. Glob. Vet. 2008, 2, 225–232. [Google Scholar]
- Celi, P.; Di Trana, A.; Claps, S. Effects of Perinatal Nutrition on Lactational Performance, Metabolic and Hormonal Profiles of Dairy Goats and Respective Kids. Small Rumin. Res. 2008, 79, 129–136. [Google Scholar] [CrossRef]
- Atti, N.; Bocquier, F.; Khaldi, G. Performance of the Fat-Tailed Barbarine Sheep in Its Environment: Adaptive Capacity to Alternation of Underfeeding and Re-Feeding Periods. A Review. Anim. Res. 2004, 53, 165–176. [Google Scholar] [CrossRef]
- Umunna, N.N.; Chineme, C.N.; Saror, D.I.; Ahmed, A.; Abed, S. Response of Yankasa Sheep to Various Lengths of Water Deprivation. J. Agric. Sci. 1981, 96, 619–622. [Google Scholar] [CrossRef]
- Burke, J.M.; Apple, J.K. Growth Performance and Carcass Traits of Forage-Fed Hair Sheep Wethers. Small Rumin. Res. 2007, 67, 264–270. [Google Scholar] [CrossRef]
- Caldeira, R.M.; Almeida, M.A.; Santos, C.C.; Vasques, M.I.; Portugal, A.V. Daily Variation in Blood Enzymes and Metabolites in Ewes under Three Levels of Feed Intake. Can. J. Anim. Sci. 1999, 79, 157–164. [Google Scholar] [CrossRef]
- Cowan, R.T.; Robinson, J.J.; McDonald, I. A Note on the Effects of Body Fatness and Level of Food Intake on the Rate of Fat Loss in Lactating Ewes. Anim. Sci. 1982, 34, 355–357. [Google Scholar] [CrossRef]
- Bonnet, M.; Leroux, C.; Faulconnier, Y.; Hocquette, J.-F.; Bocquier, F.; Martin, P.; Chilliard, Y. Lipoprotein Lipase Activity and MRNA Are Up-Regulated by Refeeding in Adipose Tissue and Cardiac Muscle of Sheep. J. Nutr. 2000, 130, 749–756. [Google Scholar] [CrossRef]
- Belkasmi, F.; Patra, A.K.; Lourencon, R.V.; Puchala, R.; Dawson, L.J.; dos Santos Ribeiro, L.P.; Encinas, F.; Goetsch, A.L. Effects of the Level and Composition of Concentrate Supplements before Breeding and in Early Gestation on Production of Different Hair Sheep Breeds. Animals 2023, 13, 814. [Google Scholar] [CrossRef] [PubMed]
- Lourencon, R.V.; Patra, A.K.; Puchala, R.; Dawson, L.J.; Ribeiro, L.P.d.S.; Encinas, F.; Goetsch, A.L. Effects of Nutritional Plane at Breeding on Feed Intake, Body Weight, Condition Score, Mass Indexes, and Chemical Composition, and Reproductive Performance of Hair Sheep. Animals 2023, 13, 735. [Google Scholar] [CrossRef]
- Chilliard, Y.; Ferlay, A.; Faulconnier, Y.; Bonnet, M.; Rouel, J.; Bocquier, F. Adipose Tissue Metabolism and Its Role in Adaptations to Undernutrition in Ruminants. Proc. Nutr. Soc. 2000, 59, 127–134. [Google Scholar] [CrossRef]
- Pulina, G.; Nudda, A.; Battacone, G.; Dimauro, C.; Mazzette, A.; Bomboi, G.; Floris, B. Effects of Short-Term Feed Restriction on Milk Yield and Composition, and Hormone and Metabolite Profiles in Mid-Lactation Sarda Dairy Sheep with Different Body Condition Score. Ital. J. Anim. Sci. 2012, 11, e28. [Google Scholar] [CrossRef]
- Caldeira, R.M.; Belo, A.T.; Santos, C.C.; Vazques, M.I.; Portugal, A.V. The Effect of Body Condition Score on Blood Metabolites and Hormonal Profiles in Ewes. Small Rumin. Res. 2007, 68, 233–241. [Google Scholar] [CrossRef]
- Moorby, J.M.; Dewhurst, R.J.; Evans, R.T.; Fisher, W.J. Effects of Level of Concentrate Feeding during the Second Gestation of Holstein-Friesian Dairy Cows. 2. Nitrogen Balance and Plasma Metabolites. J. Dairy Sci. 2002, 85, 178–189. [Google Scholar] [CrossRef]
- Casamassima, D.; Pizzo, R.; Palazzo, M.; D’alessandro, A.G.; Martemucci, G. Effect of Water Restriction on Productive Performance and Blood Parameters in Comisana Sheep Reared under Intensive Condition. Small Rumin. Res. 2008, 78, 169–175. [Google Scholar] [CrossRef]
- Jaber, L.S.; Habre, A.; Rawda, N.; Abi Said, M.; Barbour, E.K.; Hamadeh, S. The Effect of Water Restriction on Certain Physiological Parameters in Awassi Sheep. Small Rumin. Res. 2004, 54, 115–120. [Google Scholar] [CrossRef]
- Burton, R.F. The Protein Content of Extracellular Fluids and Its Relevance to the Study of Ionic Regulation: Net Charge and Colloid Osmotic Pressure. Comp. Biochem. Physiol. A 1988, 90, 11–16. [Google Scholar] [CrossRef]
- Qinisa, M.M.; Boomker, E.A.; Mokoboki, H.K. Physiological Responses of Water-Restricted Tswana and Boer Goats. Life Sci. J. 2011, 8, 106–111. [Google Scholar]
- Vesel, U.; Pavič, T.; Ježek, J.; Snoj, T.; Starič, J. Welfare Assessment in Dairy Cows Using Hair Cortisol as a Part of Monitoring Protocols. J. Dairy Res. 2020, 87, 72–78. [Google Scholar] [CrossRef]
- Palme, R. Monitoring Stress Hormone Metabolites as a Useful, Non-Invasive Tool for Welfare Assessment in Farm Animals. Anim. Welf. 2012, 21, 331–337. [Google Scholar] [CrossRef]



| Variable | Dorper | Katahdin | St. Croix | |||
|---|---|---|---|---|---|---|
| Mean | SD | Mean | SD | Mean | SD | |
| High heat load | ||||||
| Rectal temperature (°C) | 0.47 | 0.36 | 0.44 | 0.25 | 0.27 | 0.27 |
| Skin temperature (°C) | 3.55 | 1.30 | 3.96 | 1.29 | 3.18 | 1.19 |
| Respiration rate (breath/min) | 92.0 | 28.6 | 86.3 | 31.1 | 82.4 | 24.3 |
| Panting score (0–5 score) | 1.05 | 0.34 | 1.08 | 0.39 | 0.87 | 0.23 |
| Lactate (mg/dL) | −2.40 | 12.6 | −1.55 | 10.9 | 0.45 | 7.03 |
| Albumin (g/dL) | −0.057 | 0.29 | −0.10 | 0.35 | −0.015 | 0.28 |
| Urea nitrogen (mg/dL) | −0.59 | 2.09 | −1.41 | 3.74 | 0.73 | 3.18 |
| Creatinine (mg/dL) | 0.071 | 0.15 | 0.069 | 0.14 | 0.069 | 0.15 |
| Glucose (mg/dL) | 0.50 | 8.46 | −1.41 | 8.64 | −1.05 | 8.73 |
| Total protein (g/dL) | −0.25 | 0.82 | −0.42 | 0.97 | −0.21 | 0.82 |
| Triglyceride (mg/dL) | 1.39 | 6.59 | 2.44 | 6.65 | −0.39 | 5.24 |
| Cholesterol (mg/dL) | −1.73 | 14.1 | −2.12 | 14.2 | −3.69 | 12.1 |
| Cortisol (ng/mL) | −0.04 | 1.06 | −0.05 | 1.19 | 0.09 | 0.065 |
| Thyroxine (µg/dL) | 0.13 | 0.94 | −0.28 | 1.18 | 0.16 | 0.78 |
| Heat shock protein (ng/mL) | 0.03 | 0.88 | 0.04 | 1.05 | −0.08 | 1.09 |
| Packed cell volume (%) | −1.92 | 3.64 | −2.08 | 3.49 | −1.42 | 3.19 |
| Hemoglobin concentration (g/dL) | −0.69 | 1.29 | −0.98 | 1.38 | −0.65 | 0.99 |
| Oxygen saturation (%) | 16.0 | 14.1 | 13.9 | 11.3 | 11.4 | 13.0 |
| Oxygen concentration (mmol/L) | 1.65 | 2.45 | 1.14 | 2.19 | 1.85 | 2.09 |
| Restricted feed intake | ||||||
| Lactate (mg/dL) | −5.13 | 6.98 | −1.29 | 6.53 | −3.67 | 7.15 |
| Albumin (g/dL) | −0.002 | 0.19 | 0.005 | 0.22 | 0.006 | 0.16 |
| Urea nitrogen (mg/dL) | −3.02 | 2.22 | −2.83 | 1.96 | −3.05 | 2.45 |
| Creatinine (mg/dL) | 0.13 | 0.13 | 0.14 | 0.16 | 0.11 | 0.13 |
| Glucose (mg/dL) | 0.14 | 7.34 | 1.62 | 11.3 | −1.40 | 9.45 |
| Total protein (g/dL) | 0.13 | 0.52 | 0.008 | 0.49 | −0.14 | 0.42 |
| Triglyceride (mg/dL) | −6.08 | 5.98 | −6.44 | 5.97 | −3.66 | 5.09 |
| Cholesterol (mg/dL) | 13.9 | 15.5 | 14.5 | 18.1 | 8.13 | 9.37 |
| Cortisol (ng/mL) | 0.051 | 0.88 | −0.17 | 1.13 | 0.14 | 0.96 |
| Limited water intake | ||||||
| Lactate (mg/dL) | −1.38 | 7.31 | −3.37 | 7.55 | −3.76 | 5.98 |
| Albumin (g/dL) | 0.15 | 0.29 | 0.04 | 0.39 | 0.12 | 0.24 |
| Urea nitrogen (mg/dL) | 1.52 | 4.19 | 1.05 | 6.09 | 1.11 | 3.09 |
| Creatinine (mg/dL) | 0.038 | 0.17 | 0.04 | 0.17 | 0.019 | 0.084 |
| Glucose (mg/dL) | 0.64 | 11.3 | −1.12 | 9.81 | 2.42 | 8.56 |
| Total protein (g/dL) | 0.46 | 0.98 | 0.09 | 0.91 | −0.044 | 0.91 |
| Triglyceride (mg/dL) | 7.81 | 12.3 | 4.49 | 8.29 | 4.00 | 7.72 |
| Cortisol (ng/mL) | −0.05 | 1.29 | 0.13 | 0.81 | −0.09 | 0.79 |
| Aldosterone (pg/mL) | 0.16 | 0.92 | 0.04 | 0.71 | −0.24 | 1.31 |
| Cholesterol (mg/dL) | 13.5 | 16.4 | 9.05 | 15.9 | 12.7 | 11.9 |
| Packed cell volume (%) | 0.16 | 4.00 | −0.65 | 3.35 | 2.39 | 1.99 |
| Hemoglobin concentration (g/dL) | 0.29 | 1.34 | −0.06 | 1.05 | 0.79 | 0.88 |
| Oxygen saturation (%) | 2.42 | 12.9 | 2.25 | 11.3 | 6.62 | 10.4 |
| Oxygen concentration (mmol/L) | 0.49 | 2.68 | 0.24 | 2.48 | 1.52 | 2.45 |
| Osmolality (mosmol/kg) | 1.81 | 5.84 | 1.76 | 5.69 | −0.90 | 4.55 |
| High Heat Load | Restricted Feed Intake | Limited Water Intake | |||||||
|---|---|---|---|---|---|---|---|---|---|
| DOR | KAT | STC | DOR | KAT | STC | DOR | KAT | STC | |
| DOR | 2.81 | 3.34 | 0.69 | 1.60 | 1.25 | 3.13 | |||
| KAT | 0.202 | 5.23 | 0.301 | 1.87 | 0.422 | 3.68 | |||
| STC | 0.036 | 0.003 | 0.01 | 0.004 | 0.007 | 0.006 | |||
| Dorper | Katahdin | St. Croix | Error (%) | |
|---|---|---|---|---|
| High heat load | ||||
| Dorper | 75.0 | 12.5 | 12.5 | 25.0 |
| Katahdin | 14.3 | 71.4 | 14.3 | 28.6 |
| St. Croix | 10.3 | 10.3 | 79.3 | 20.7 |
| Restricted feed intake | ||||
| Dorper | 41.7 | 27.8 | 30.6 | 58.3 |
| Katahdin | 30.3 | 63.6 | 9.1 | 36.4 |
| St. Croix | 17.2 | 20.7 | 62.1 | 37.9 |
| Limited water intake | ||||
| Dorper | 56.6 | 20.0 | 19.4 | 43.4 |
| Katahdin | 26.9 | 61.5 | 11.5 | 38.5 |
| St. Croix | 17.4 | 0.00 | 82.6 | 17.4 |
| Variables Selected | Partial R2 | F Value | p > F * | Wilks’ Lambda | p < Lambda |
|---|---|---|---|---|---|
| High heat load | |||||
| Skin temperature | 0.106 | 4.15 | 0.019 | 0.784 | 0.002 |
| Panting score | 0.093 | 3.52 | 0.035 | 0.711 | 0.001 |
| Rectal temperature | 0.106 | 4.04 | 0.022 | 0.635 | <0.001 |
| Respiration rate | 0.111 | 4.18 | 0.019 | 0.565 | <0.001 |
| Blood urea nitrogen | 0.124 | 5.02 | 0.009 | 0.876 | 0.009 |
| Oxygen concentration | 0.096 | 3.51 | 0.036 | 0.510 | <0.001 |
| Restricted feed intake | |||||
| Triglyceride | 0.112 | 6.01 | 0.004 | 0.888 | 0.004 |
| Cholesterol | 0.067 | 3.35 | 0.039 | 0.829 | 0.001 |
| Limited water intake | |||||
| Total hemoglobin | 0.145 | 6.96 | 0.002 | 0.855 | 0.002 |
| Osmolality | 0.135 | 6.32 | 0.003 | 0.739 | <0.001 |
| Total protein | 0.078 | 3.40 | 0.038 | 0.682 | <0.001 |
| Albumin | 0.083 | 3.57 | 0.033 | 0.625 | <0.001 |
| Variables | Canonical 1 | Canonical 2 |
|---|---|---|
| High heat load | ||
| Skin temperature | 0.567 | −0.271 |
| Panting score | 0.653 | −0.253 |
| Rectal temperature | 0.839 | 0.599 |
| Respiration rate | −0.689 | 0.513 |
| Blood urea nitrogen | −0.649 | 0.172 |
| Oxygen concentration | 0.659 | 0.712 |
| Variance accounted (%) | 70.4 | 29.6 |
| Restricted feed intake | ||
| Cholesterol | −0.628 | 0.135 |
| Triglyceride | 1.049 | 0.171 |
| Variance accounted (%) | 73.4 | 26.6 |
| Limited water intake | ||
| Albumin | −0.962 | −0.104 |
| Total protein | 0.877 | 0.549 |
| Total hemoglobin | −0.431 | 3.046 |
| Osmolality | 0.401 | −0.254 |
| Variance accounted (%) | 73.6 | 26.4 |
Disclaimer/Publisher’s Note: The statements, opinions and data contained in all publications are solely those of the individual author(s) and contributor(s) and not of MDPI and/or the editor(s). MDPI and/or the editor(s) disclaim responsibility for any injury to people or property resulting from any ideas, methods, instructions or products referred to in the content. |
© 2023 by the authors. Licensee MDPI, Basel, Switzerland. This article is an open access article distributed under the terms and conditions of the Creative Commons Attribution (CC BY) license (https://creativecommons.org/licenses/by/4.0/).
Share and Cite
Tadesse, D.; Patra, A.K.; Puchala, R.; Hussein, A.; Goetsch, A.L. Differentiation of Hair Sheep Breeds Based on the Physiological and Blood Biochemical Changes in Response to Different Stressors Using Multivariate Analysis Techniques. Animals 2023, 13, 2643. https://doi.org/10.3390/ani13162643
Tadesse D, Patra AK, Puchala R, Hussein A, Goetsch AL. Differentiation of Hair Sheep Breeds Based on the Physiological and Blood Biochemical Changes in Response to Different Stressors Using Multivariate Analysis Techniques. Animals. 2023; 13(16):2643. https://doi.org/10.3390/ani13162643
Chicago/Turabian StyleTadesse, Dereje, Amlan Kumar Patra, Ryszard Puchala, Ali Hussein, and Arthur Louis Goetsch. 2023. "Differentiation of Hair Sheep Breeds Based on the Physiological and Blood Biochemical Changes in Response to Different Stressors Using Multivariate Analysis Techniques" Animals 13, no. 16: 2643. https://doi.org/10.3390/ani13162643
APA StyleTadesse, D., Patra, A. K., Puchala, R., Hussein, A., & Goetsch, A. L. (2023). Differentiation of Hair Sheep Breeds Based on the Physiological and Blood Biochemical Changes in Response to Different Stressors Using Multivariate Analysis Techniques. Animals, 13(16), 2643. https://doi.org/10.3390/ani13162643

