Exploring the Milk Microbiota of Healthy and Mastitic Nili Ravi Buffalo Using 16S rRNA Gene Base Metagenomic Analysis
Abstract
Simple Summary
Abstract
1. Introduction
2. Materials and Methods
2.1. Sample Collection
2.2. DNA Extraction
2.3. DNA Quality Control and Sequence Library Preparation
2.4. Bioinformatics Analysis of Sequences
2.5. Diversity Analysis
3. Results
3.1. Taxonomic Compositin at Different Level in Nili Ravi Milk
3.2. Differnces in Alpha and Beta Diversity Indices in Healthy and Mastitic Groups
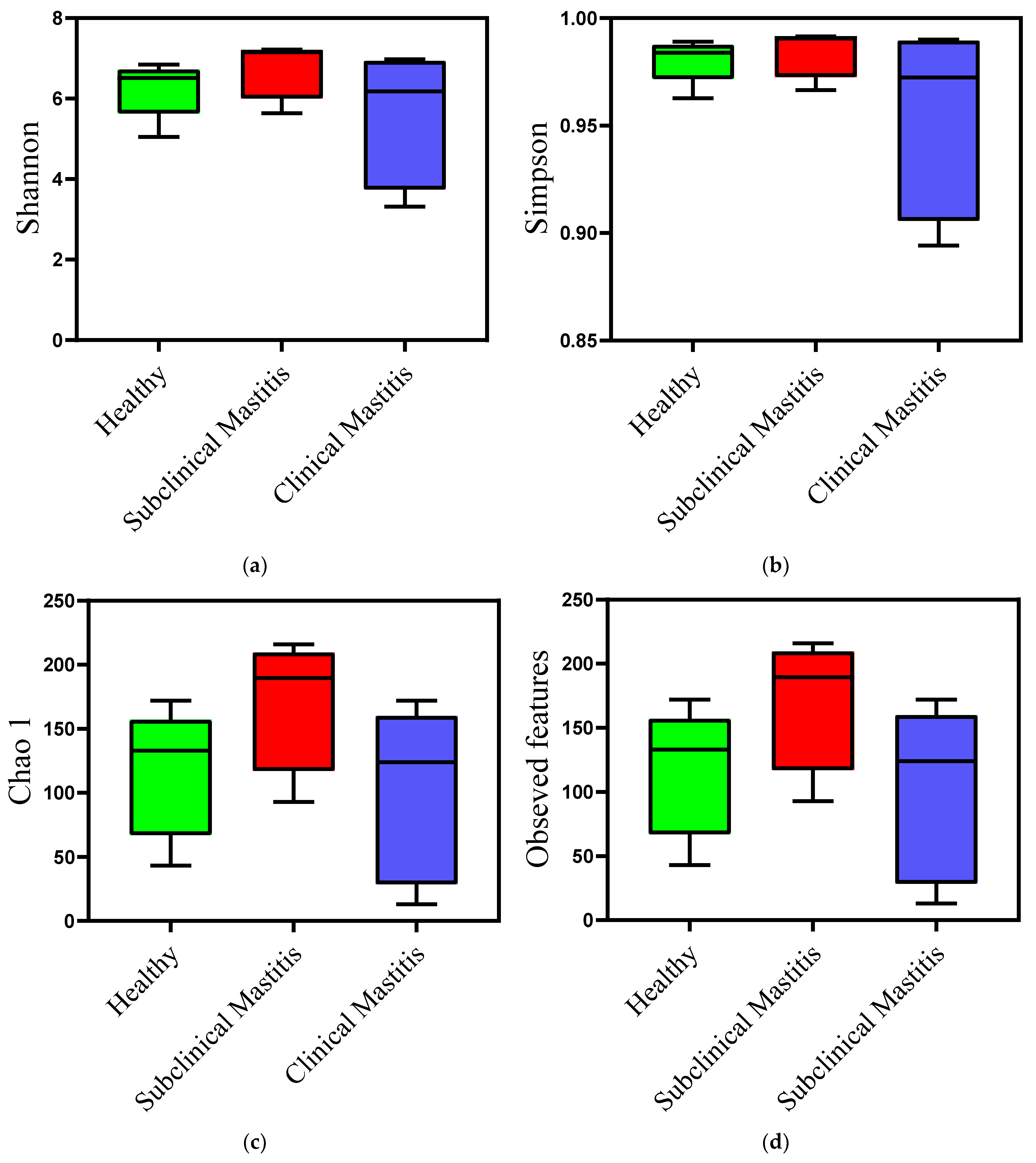
3.2.1. Alpha Diversity Indices
3.2.2. Beta Diversity Indices
4. Discussion
5. Conclusions
Supplementary Materials
Author Contributions
Funding
Institutional Review Board Statement
Informed Consent Statement
Data Availability Statement
Acknowledgments
Conflicts of Interest
References
- Deb, G.K.; Nahar, T.N.; Duran, P.G.; Presicce, G.A. Safe and sustainable traditional production: The water buffalo in Asia. Front. Environ. Sci. 2016, 4, 38. [Google Scholar] [CrossRef]
- FAOSTAT Database, 2020; Retrieved 26 March 2023; Food and Agriculture Organization of United States: Rome, Italy, 2023.
- Zhang, Y.; Colli, L.; Barker, J. Asian water buffalo: Domestication, history and genetics. Anim. Genet. 2020, 51, 177–191. [Google Scholar] [CrossRef] [PubMed]
- Bilal, M.; Suleman, M.; Raziq, A. Buffalo: Black gold of Pakistan. Livest. Res. Rural Dev. 2006, 18, 140–151. [Google Scholar]
- GOP. Econmic Survey of Pakistan 2021–2022. Ministry of Finance; Governemt of Pakistan: Islamabad, Pakistan, 2022. [Google Scholar]
- Bradley, A.J. Bovine mastitis: An evolving disease. Vet. J. 2002, 164, 116–128. [Google Scholar] [CrossRef]
- Liu, J.; Wang, X.; Bi, C.; Ali, F.; Saleem, M.U.; Qin, J.; Ashfaq, H.; Han, Z.; Alsayeqh, A.F. Epidemiological investigation of Staphylococcus aureus infection in dairy cattle in Anhui, China. Pak. Vet. J. 2022, 42, 580–583. [Google Scholar] [CrossRef]
- Ahmed, A.; Ijaz, M.; Khan, J.A.; Anjum, A.A. Molecular Characterization and Therapeutic Insights into Biofilm Positive Staphylococcus aureus Isolated from Bovine Subclinical Mastitis. Pak. Vet. J. 2022, 42, 584–590. [Google Scholar] [CrossRef]
- Javed, M.U.; Ijaz, M.; Fatima, Z.; Anjum, A.A.; Aqib, A.I.; Ali, M.M.; Rehman, A.; Ahmed, A.; Ghaffar, A. Frequency and Antimicrobial Susceptibility of Methicillin and Vancomycin-Resistant Staphylococcus aureus from Bovine Milk. Pak. Vet. J. 2021, 41, 463–468. [Google Scholar] [CrossRef]
- Guo, Y.; Qiu, P.; Su, H.; Li, Y.; Guo, Y.; Zhang, Z.; Liu, Y.; Liu, M.; Zhang, D. Antimicrobial Resistance and Virulence Genes Distribution in Trueperella pyogenes Isolated from Dairy Cows with Clinical Mastitis in Liaoning of China. Pak. Vet. J. 2021, 41, 329–334. [Google Scholar] [CrossRef]
- Sharun, K.; Dhama, K.; Tiwari, R.; Gugjoo, M.B.; Iqbal Yatoo, M.; Patel, S.K.; Pathak, M.; Karthik, K.; Khurana, S.K.; Singh, R. Advances in therapeutic and managemental approaches of bovine mastitis: A comprehensive review. Vet. Q. 2021, 41, 107–136. [Google Scholar] [CrossRef]
- Ijaz, M.; Manzoor, A.; Mohy-ud-Din, M.T.; Hassan, F.; Mohy-ud-Din, Z.; Ans, M.; Saleem, M.I.; Khan, H.H.; Khanum, F. An Economical Non-Antibiotic Alternative to Antibiotic Therapy for Subclinical Mastitis in Cows. Pak. Vet. J. 2021, 41, 475–480. [Google Scholar] [CrossRef]
- Bisla, A.; Yadav, V.; Dutt, R.; Singh, G.; Gahalot, S.C. Fertility Augmentation Approaches in Dairy Animals—A Review. Int. J. Curr. Microbiol. App. Sci. 2018, 7, 2995–3007. [Google Scholar] [CrossRef]
- Ashraf, A.; Imran, M. Causes, types, etiological agents, prevalence, diagnosis, treatment, prevention, effects on human health and future aspects of bovine mastitis. Anim. Health Res. Rev. 2020, 21, 36–49. [Google Scholar] [CrossRef]
- Derakhshani, H.; Fehr, K.B.; Sepehri, S.; Francoz, D.; De Buck, J.; Barkema, H.W.; Plaizier, J.C.; Khafipour, E. Invited review: Microbiota of the bovine udder: Contributing factors and potential implications for udder health and mastitis susceptibility. J. Dairy Sci. 2018, 101, 10605–10625. [Google Scholar] [CrossRef]
- Hiitiö, H.; Riva, R.; Autio, T.; Pohjanvirta, T.; Holopainen, J.; Pyörälä, S.; Pelkonen, S. Performance of a real-time PCR assay in routine bovine mastitis diagnostics compared with in-depth conventional culture. J. Dairy Res. 2015, 82, 200–208. [Google Scholar] [CrossRef]
- Gerace, E.; Mancuso, G.; Midiri, A.; Poidomani, S.; Zummo, S.; Biondo, C. Recent Advances in the Use of Molecular Methods for the Diagnosis of Bacterial Infections. Pathogens 2022, 11, 663. [Google Scholar] [CrossRef]
- Derakhshani, H.; Plaizier, J.C.; De Buck, J.; Barkema, H.W.; Khafipour, E. Composition and co-occurrence patterns of the microbiota of different niches of the bovine mammary gland: Potential associations with mastitis susceptibility, udder inflammation, and teat-end hyperkeratosis. Anim. Microbiome 2020, 2, 11. [Google Scholar] [CrossRef]
- NMC. Laboratory and Field Handbook on Bovine Mastitis; National Mastitis Council: Madison, WI, USA, 1999. [Google Scholar]
- Yap, M.; Gleeson, D.; O’Toole, P.W.; O’Sullivan, O.; Cotter, P.D. Seasonality and geography have a greater influence than the use of chlorine-based cleaning agents on the microbiota of bulk tank raw milk. Appl. Environ. Microbiol. 2021, 87, e01081-21. [Google Scholar] [CrossRef]
- Klindworth, A.; Pruesse, E.; Schweer, T.; Peplies, J.; Quast, C.; Horn, M.; Glöckner, F.O. Evaluation of general 16S ribosomal RNA gene PCR primers for classical and next-generation sequencing-based diversity studies. Nucleic Acids Res. 2013, 41, e1. [Google Scholar] [CrossRef]
- Bolyen, E.; Rideout, J.R.; Dillon, M.R.; Bokulich, N.A.; Abnet, C.C.; Al-Ghalith, G.A.; Alexander, H.; Alm, E.J.; Arumugam, M.; Asnicar, F. Reproducible, interactive, scalable and extensible microbiome data science using QIIME 2. Nat. Biotechnol. 2019, 37, 852–857. [Google Scholar] [CrossRef]
- Callahan, B.J.; McMurdie, P.J.; Rosen, M.J.; Han, A.W.; Johnson, A.J.A.; Holmes, S.P. DADA2: High-resolution sample inference from Illumina amplicon data. Nat. Methods 2016, 13, 581–583. [Google Scholar] [CrossRef]
- Bokulich, N.A.; Kaehler, B.D.; Rideout, J.R.; Dillon, M.; Bolyen, E.; Knight, R.; Huttley, G.A.; Gregory Caporaso, J. Optimizing taxonomic classification of marker-gene amplicon sequences with QIIME 2′s q2-feature-classifier plugin. Microbiome 2018, 6, 90. [Google Scholar] [CrossRef] [PubMed]
- Torsvik, V.; Øvreås, L. Microbial diversity and function in soil: From genes to ecosystems. Curr. Opin. Microbiol. 2002, 5, 240–245. [Google Scholar] [CrossRef] [PubMed]
- Structure, function and diversity of the healthy human microbiome. Nature 2012, 486, 207–214. [CrossRef] [PubMed]
- Gilbert, J.A.; Jansson, J.K.; Knight, R. The Earth Microbiome project: Successes and aspirations. BMC Biol. 2014, 12, 69. [Google Scholar] [CrossRef] [PubMed]
- Catozzi, C.; Cuscó, A.; Lecchi, C.; De Carlo, E.; Vecchio, D.; Martucciello, A.; D’Angelo, L.; Francino, O.; Sanchez Bonastre, A.; Ceciliani, F. Impact of intramammary inoculation of inactivated Lactobacillus rhamnosus and antibiotics on the milk microbiota of water buffalo with subclinical mastitis. PLoS ONE 2019, 14, e0210204. [Google Scholar] [CrossRef]
- Tong, J.; Zhang, H.; Zhang, Y.; Xiong, B.; Jiang, L. Microbiome and metabolome analyses of milk from dairy cows with subclinical streptococcus agalactiae mastitis—Potential biomarkers. Front. Microbiol. 2019, 10, 2547. [Google Scholar] [CrossRef]
- Steinberg, R.S.; Silva e Silva, L.C.; de Souza, M.R.; Reis, R.B.; da Silva, P.C.; Lacorte, G.A.; Nicoli, J.R.; Neumann, E.; Nunes, Á.C. Changes in bovine milk bacterial microbiome from healthy and subclinical mastitis affected animals of the Girolando, Gyr, Guzera, and Holstein breeds. Int. Microbiol. 2022, 25, 803–815. [Google Scholar] [CrossRef]
- Hogan, J.; Gonzalez, R.; Harmon, R.; Nickerson, S.; Oliver, S.; Pankey, J.; Smith, K.L. Laboratory Handbook on Bovine Mastitis; National Mastitis Council: Madison, WI, USA, 1999; Volume 78, pp. 485–488. [Google Scholar]
- Schukken, Y.; Hertl, J.; Bar, D.; Bennett, G.; González, R.; Rauch, B.; Santisteban, C.; Schulte, H.; Tauer, L.; Welcome, F. Effects of repeated gram-positive and gram-negative clinical mastitis episodes on milk yield loss in Holstein dairy cows. J. Dairy Sci. 2009, 92, 3091–3105. [Google Scholar] [CrossRef]
- Keane, O.M. Symposium review: Intramammary infections—Major pathogens and strain-associated complexity. J. Dairy Sci. 2019, 102, 4713–4726. [Google Scholar] [CrossRef]
- Abdeen, E.E.; Mousa, W.S.; Abdel-Tawab, A.A.; El-Faramawy, R.; Abo-Shama, U.H. Phenotypic, genotypic and antibiogram among Staphylococcus aureus isolated from bovine subclinical mastitis. Pak. Vet. J. 2021, 41, 289–293. [Google Scholar]
- Fursova, K.; Sokolov, S.; Shchannikova, M.; Nikanova, D.; Artem’eva, O.; Kolodina, E.; Sorokin, A.; Dzhelyadin, T.; Shulcheva, I.; Shepelyakovskaya, A. Changes in the Microbiome of Milk in Cows with Mastitis. In Doklady Biochemistry and Biophysics; Springer: Berlin/Heidelberg, Germany, 2021; pp. 75–80. [Google Scholar]
- Du, B.; Meng, L.; Liu, H.; Zheng, N.; Zhang, Y.; Guo, X.; Zhao, S.; Li, F.; Wang, J. Impacts of milking and housing environment on milk microbiota. Animals 2020, 10, 2339. [Google Scholar] [CrossRef]
- Catozzi, C.; Sanchez Bonastre, A.; Francino, O.; Lecchi, C.; De Carlo, E.; Vecchio, D.; Martucciello, A.; Fraulo, P.; Bronzo, V.; Cuscó, A. The microbiota of water buffalo milk during mastitis. PLoS ONE 2017, 12, e0184710. [Google Scholar] [CrossRef]
- Braem, G.; De Vliegher, S.; Verbist, B.; Heyndrickx, M.; Leroy, F.; De Vuyst, L. Culture-independent exploration of the teat apex microbiota of dairy cows reveals a wide bacterial species diversity. Vet. Microbiol. 2012, 157, 383–390. [Google Scholar] [CrossRef]
- Kivaria, F.; Noordhuizen, J. A retrospective study of the aetiology and temporal distribution of bovine clinical mastitis in smallholder dairy herds in the Dar es Salaam region of Tanzania. Vet. J. 2007, 173, 617–622. [Google Scholar] [CrossRef]
- Hertl, J.; Schukken, Y.; Bar, D.; Bennett, G.; González, R.; Rauch, B.; Welcome, F.; Tauer, L.; Gröhn, Y. The effect of recurrent episodes of clinical mastitis caused by gram-positive and gram-negative bacteria and other organisms on mortality and culling in Holstein dairy cows. J. Dairy Sci. 2011, 94, 4863–4877. [Google Scholar] [CrossRef]
- Falentin, H.; Rault, L.; Nicolas, A.; Bouchard, D.S.; Lassalas, J.; Lamberton, P.; Aubry, J.-M.; Marnet, P.-G.; Le Loir, Y.; Even, S. Bovine teat microbiome analysis revealed reduced alpha diversity and significant changes in taxonomic profiles in quarters with a history of mastitis. Front. Microbiol. 2016, 7, 480. [Google Scholar] [CrossRef]
- Polveiro, R.C.; Vidigal, P.M.P.; Mendes, T.A.D.O.; Yamatogi, R.S.; Silva, L.; Fujikura, J.M.; Da Costa, M.M.; Moreira, M.A.S. Distinguishing the milk microbiota of healthy goats and goats diagnosed with subclinical mastitis, clinical mastitis, and gangrenous mastitis. Front. Microbiol. 2022, 13, 3227. [Google Scholar] [CrossRef]
- Sokolov, S.; Fursova, K.; Shulcheva, I.; Nikanova, D.; Artyemieva, O.; Kolodina, E.; Sorokin, A.; Dzhelyadin, T.; Shchannikova, M.; Shepelyakovskaya, A. Comparative analysis of milk microbiomes and their association with bovine mastitis in two farms in Central Russia. Animals 2021, 11, 1401. [Google Scholar] [CrossRef]
- Porcellato, D.; Meisal, R.; Bombelli, A.; Narvhus, J. A core microbiota dominates a rich microbial diversity in the bovine udder and may indicate presence of dysbiosis. Sci. Rep. 2020, 10, 21608. [Google Scholar] [CrossRef]





| Udder Health Status | Clinical Signs | Milk Characteristics | CMT | SCC | 
|---|---|---|---|---|
| Healthy | Absent | Normal | Negative | Below 200,000 cells/mL | 
| Subclinical Mastitis | Absent | Normal | Positive | Above 200,000 cells/mL | 
| Clinical Mastitis | Present | Abnormal | Positive | Above 200,000 cells/mL | 
| Taxa | Healthy(H) | Subclinical Mastitis (SCM) | Clinical Mastitis (CM) | ||||||
|---|---|---|---|---|---|---|---|---|---|
| Phylum | Mean | SEM | Mean | SEM | Mean | SEM | |||
| Actinobacteria | 11.14 | 0.94 | ns | 13.55 | 4.49 | ns | 7.70 | 2.88 | ns | 
| Bacteroidetes | 5.65 | 2.37 | ns | 6.91 | 2.25 | ns | 5.32 | 2.25 | ns | 
| Cyanobacteria | 0.38 | 0.23 | ns | 0.56 | 0.23 | ns | 0.16 | 0.16 | ns | 
| Firmicutes | 28.65 | 8.28 | ns | 49.12 | 11.12 | ns | 58.20 | 13.02 | ns | 
| Planctomycetes | 0.00 | 0.00 | ns | 0.31 | 0.18 | ns | 0.11 | 0.09 | ns | 
| Proteobacteria | 52.58 | 8.74 | ns | 27.69 | 10.06 | ns | 26.05 | 8.88 | ns | 
| Family | Mean | SEM | Mean | SEM | Mean | SEM | |||
| Bacillaceae | 4.22 | 1.47 | ns | 15.74 | 15.23 | ns | 0.87 | 0.31 | ns | 
| Corynebacteriaceae | 1.91 | 0.39 | ns | 6.20 | 3.89 | ns | 2.42 | 1.38 | ns | 
| Lactobacillaceae | 1.08 | 0.52 | ns | 1.88 | 1.48 | ns | 0.84 | 0.61 | ns | 
| Moraxellaceae | 4.28 | 0.76 | a | 3.86 | 0.80 | b | 0.98 | 0.43 | a | 
| Oxalobacteraceae | 9.90 | 2.43 | a | 2.49 | 0.44 | b | 2.50 | 0.93 | b | 
| Staphylococcaceae | 4.52 | 1.03 | ns | 7.52 | 4.80 | ns | 8.21 | 4.30 | ns | 
| Streptococcaceae | 11.11 | 7.74 | ns | 3.95 | 1.81 | ns | 33.19 | 18.82 | ns | 
| Genus | Mean | SEM | Mean | SEM | Mean | SEM | |||
| Acinetobacter | 3.40 | 0.49 | a | 2.61 | 0.78 | b | 0.79 | 0.42 | ab | 
| Bacillus | 1.71 | 0.88 | ns | 15.77 | 15.39 | ns | 0.38 | 0.38 | ns | 
| Corynebacterium | 2.09 | 0.40 | ns | 6.70 | 4.21 | ns | 2.68 | 1.51 | ns | 
| Herbaspirillum | 7.65 | 3.73 | ns | 2.06 | 0.69 | ns | 0.61 | 0.38 | ns | 
| Lactobacillus | 1.16 | 0.60 | ns | 2.13 | 1.70 | ns | 0.91 | 0.66 | ns | 
| Pseudomonas | 1.27 | 0.71 | ns | 0.62 | 0.50 | ns | 1.40 | 0.91 | ns | 
| Staphylococcus | 4.71 | 1.04 | ns | 6.58 | 4.20 | ns | 7.87 | 4.60 | ns | 
| Streptococcus | 11.60 | 8.02 | ns | 4.29 | 1.90 | ns | 33.96 | 18.78 | ns | 
| Alpha Diversity Index | Healthy (H) mean ± SEM | Subclinical Mastitis (SCM) mean ± SEM | Clinical Mastitis (CM) mean ± SEM | p-Value | 
|---|---|---|---|---|
| Shannon diversity index | 6.242 ± 0.3150 | 6.790 ± 0.384 | 5.506 ± 0.7461 | 0.1481 | 
| Simpson diversity index | 0.9805 ± 0.0047 | 0.9849 ± 0.0061 | 0.9526 ± 0.01976 | 0.1481 | 
| Chao1 index | 116.2 ± 22.42 | 172 ± 27.06 | 100.2 ± 30.63 | 0.1408 | 
| Observed features | 116.2 ± 22.42 | 172 ± 27.06 | 100.2 ± 30.63 | 0.1408 | 
| Disclaimer/Publisher’s Note: The statements, opinions and data contained in all publications are solely those of the individual author(s) and contributor(s) and not of MDPI and/or the editor(s). MDPI and/or the editor(s) disclaim responsibility for any injury to people or property resulting from any ideas, methods, instructions or products referred to in the content. | 
© 2023 by the authors. Licensee MDPI, Basel, Switzerland. This article is an open access article distributed under the terms and conditions of the Creative Commons Attribution (CC BY) license (https://creativecommons.org/licenses/by/4.0/).
Share and Cite
Salman, M.M.; Nawaz, M.; Yaqub, T.; Mushtaq, M.H. Exploring the Milk Microbiota of Healthy and Mastitic Nili Ravi Buffalo Using 16S rRNA Gene Base Metagenomic Analysis. Animals 2023, 13, 2298. https://doi.org/10.3390/ani13142298
Salman MM, Nawaz M, Yaqub T, Mushtaq MH. Exploring the Milk Microbiota of Healthy and Mastitic Nili Ravi Buffalo Using 16S rRNA Gene Base Metagenomic Analysis. Animals. 2023; 13(14):2298. https://doi.org/10.3390/ani13142298
Chicago/Turabian StyleSalman, Mian Muhammad, Muhammad Nawaz, Tahir Yaqub, and Muhammad Hassan Mushtaq. 2023. "Exploring the Milk Microbiota of Healthy and Mastitic Nili Ravi Buffalo Using 16S rRNA Gene Base Metagenomic Analysis" Animals 13, no. 14: 2298. https://doi.org/10.3390/ani13142298
APA StyleSalman, M. M., Nawaz, M., Yaqub, T., & Mushtaq, M. H. (2023). Exploring the Milk Microbiota of Healthy and Mastitic Nili Ravi Buffalo Using 16S rRNA Gene Base Metagenomic Analysis. Animals, 13(14), 2298. https://doi.org/10.3390/ani13142298
 
        

 
       