Simple Summary
Acidifiers such as lactic acid, formic acid, acetic acid, propionic acid, and citric acid are a class of feed supplements used in fish diets. Acidifiers play a role in the growth and development of intestinal villi and increase the absorption surface. Additionally, various studies have shown that these dietary supplements are utilized as nutrients by beneficial intestinal bacteria, which increase the populations of these bacteria and ultimately decreases the intestinal pH. The present study found that dietary 5 g/kg LA benefits common carp feeding to improve the growth rate, antioxidant capacity, and intestinal health. Such effects may be mediated via alterations in intestinal microbial communities.
Abstract
The present study investigated the effects of dietary lactic acid (LA) supplementation on the growth performance, intestinal digestive/antioxidant enzymes’ activities, gene expression, and bacterial communities in common carp, Cyprinus carpio. Four diets were formulated to contain 0 g/kg LA (control), at 2.5 g/kg LA (2.5LAC), 5 g/kg LA (5LAC), and 10 g/kg LA (10LAC) and offered to the fish over a period of 56 days. The results showed that dietary 5 g/kg LA supplementation improved growth performance and feed efficiency in the fish. All LA treatments exhibited significant elevations in the intestinal trypsin and chymotrypsin activities, whereas the intestinal lipase, amylase, and alkaline phosphatase activities exhibited significant elevations in the 5LAC and 10LAC treatments. All LA treatments exhibited significant elevations in the intestinal heat shock protein 70, tumor necrosis factor-alpha, interleukin-1 beta, and defensin gene expressions, and the highest expression was observed in the 5LAC treatment. Additionally, dietary LA treatment significantly increased the lysozyme expression and Lactobacillus sp. population in the intestine of the fish, and the highest values were observed in the 5LAC and 10LAC treatments. Aeromonas sp. and Vibrio sp. populations decreased in the LA treatments, and the lowest Aeromonas sp. population was observed in the 10LAC treatment. The intestinal mucin2 and mucin5 expressions, and the hepatic reduced glutathione content, significantly increased, whereas hepatic glutathione peroxidase, glutathione reductase, and malondialdehyde significantly decreased in the 5LAC and 10LAC treatments. In conclusion, dietary 5 g/kg LA is recommended for common carp feeding to improve growth rate, antioxidant capacity, and intestinal health.
1. Introduction
With the expansion of the aquaculture industry, the need to adopt a suitable strategy to reduce rearing costs and increase feed efficiency has been increasingly noticed by aquaculture farmers [1]. Nowadays, the application of feed supplements is particularly popular among fish farmers due to the positive effects they have on fish growth and health [2,3]. Acidifiers such as lactic acid (LA), formic acid, acetic acid, propionic acid, and citric acid are examples of feed supplements used in fish diets [4,5,6]. Acidifiers play roles in the growth and development of intestinal villi and increase the absorption surface [7]. Additionally, various studies have shown that these dietary supplements are utilized as nutrients by beneficial intestinal bacteria, which increase the populations of these bacteria and ultimately decreases the intestinal pH [8]. In addition to facilitating the elimination of pathogens, the increase in intestinal acidity leads to the domination of beneficial microbes that can secrete digestive enzymes and degrade anti-nutrient factors, leading to better digestion and absorption [9,10]. Additionally, acidifiers are effective in increasing the secretion of mucins in the intestine [1,11], which, in addition to maintaining the health of digestive cells from scratches caused by feed, can increase the washing of pathogenic bacteria out of the digestive system of fish [12]. Organic acids are effective in reducing oxidative stress and increasing antioxidant capacity, which improves fish health and welfare [13,14,15]. In addition, by stimulating the immune system of fish, acidifiers increase the expression of some immune genes such as lysozyme (lys), interleukin-1 beta (il1b), tumor necrosis factor-alpha (tnfa), and defensin (def) play a role in fish resistance to diseases [5,16].
LA is one of the well-known acidifiers in the aquaculture industry, which is used as a feed supplement. Studies have shown that diets containing 10–20 g/kg of LA can increase the growth performance and digestibility of nutrients in beluga, Huso huso [17], and improve immunological and antioxidant markers in rainbow trout, Oncorhynchus mykiss [14]. Additionally, incorporating sodium lactate into the diet has increased the growth performance of narrow-clawed crab, Astacus leptodactylus [16], and Arctic charr, Salvelinus alpinus [18]. However, LA and its salt have shown no effects on weight gain and feed efficiency in rainbow trout [14] and Atlantic salmon, Salmo salar [19], suggesting that further studies are needed to illustrate the effects of LA in fish.
Common carp, Cyprinus carpio, is a highly sought-after fish in many countries (fourth most produced species) due to its firm and tasty flesh [20]. It is a hardy fish that can tolerate a wide range of environmental conditions, including low oxygen levels and high temperatures. Common carp has a fast growth rate and can be harvested within a relatively short time [21]. Considering the beneficial effects of acidifiers such as LA on fish, the expansion of their use in the aquaculture industry, and the lack of comprehensive and sufficient information about the effects of LA on common carp, this research aimed to investigate the effect of dietary LA supplementation on growth performance, hepatic antioxidant parameters, intestinal digestive enzymes, expression of immune-related genes, and bacterial populations in common carp.
2. Materials and Methods
2.1. Diets
Fish diets were made using available local feedstuffs and based on the nutritional requirement of common carp. The feedstuffs were weighed and mixed, and then 400 mL/kg water was added to the mixture to create a dough. LA was added at the expense of the water at 2.5 g/kg (2.5LAC), 5 g/kg (5LAC), and 10 g/kg (10LAC). A diet without LA supplementation was considered the control diet (CTL, Table 1). A meat grinder was used to create the feed pellets, which were dried against a fan blower. The diets were analyzed for crude protein (the Kjeldahl method), crude fat (ether extraction), crude ash (burning in a muffle furnace), and crude fiber (acid/base digestion) according to the standard methods [22].
Table 1.
Dietary ingredients and proximate composition.
2.2. Experimental Protocol
Two hundred and twenty common carp juveniles (~25 g) were purchased from a local farm and transferred to the laboratory. They were stocked in a 1500 L tank for ten days for acclimation, during which they were fed the CTL diet. After that, 180 healthy fish (with no external lesions and abnormalities) were randomly stocked in 12 tanks (150-L), 15 fish per tank. The tanks were equipped with aeration and a water flow rate of 0.3 L/min and divided into four triplicate groups, each considered as a treatment that fed either CTL, 2.5LAC, 5LAC, or 10LAC diet (3% of biomass divided in 3 meals per day) over 8 weeks. The tanks’ biomasses were recorded on day 0 (when the fish were stocked in the 150 L tanks) and every other week until the eighth week, and the feed amounts were corrected based on the biomasses. Water temperature (24.6 ± 0.59 °C), dissolved oxygen (6.87 ± 0.81 mg/L), pH (7.39 ± 0.41), salinity (2.52 ± 0.13 g/L), and total ammonia nitrogen (2.65 ± 1.02 mg/L) levels were measured during the rearing period. The fish were reared under a natural photoperiod (14 L/10 D). At the end of the experiment, specific growth rate (SGR), weight gain, and feed efficiency were determined based on the following formulas [23]:
2.3. Sampling and Preservation
At the end of the experiment, the intestine and liver samples were collected from all treatments. After 24 h of fasting, three fish were caught from each tank and immediately anesthetized in a eugenol bath (100 mg/L) and then euthanized by a sharp blow on the head. The abdominal cavity of fish was opened by scissors and a piece of the liver was dissected and frozen in liquid nitrogen for antioxidant assays. The anterior intestine of the fish was dissected and frozen in liquid nitrogen for digestive enzymes’ assays. The posterior intestine was dissected and frozen with the chyme in liquid nitrogen for gene expression and bacterial population examination.
2.3.1. Hepatic Antioxidant Assays
The hepatic samples were homogenized in a mortar with liquid nitrogen. Then, phosphate buffer was added to the homogenate (1:1 ratio) and mixed thoroughly. The mixture was then centrifuged at 4 °C for 30 min (13,000× g). The supernatant was collected in a new tube and used for soluble protein assays, according to Bradford [21]. The remaining extract was used for reduced glutathione (GSH), glutathione peroxidase (GPx), glutathione reductase (GR), and malondialdehyde (MDA) assays using commercial kits (Zellbio GmbH Co., Deutschland, Germany). GSH reaction with 5,5′-dithiobis-(2-nitrobenzoic acid) was used to assay the extract GSH content at 412 nm. GPx and GR activities were measured based on the conversion of GSH to oxidized glutathione (GSSG) by GPx and the recycling of GSSG by GR that consumes NADPH. The decrease in the NADPH content was measured at 340 nm. The MDA concentration was determined after deproteinization with tricarboxylic acid and reaction with thiobarbituric acid in the presence of butylated hydroxytoluene at 95 °C.
2.3.2. Digestive Enzymes’ Assay
The intestine samples were homogenized with three volumes of phosphate buffer (pH 7.0) in a mortar and in the presence of liquid nitrogen. After 2 min of homogenizing, the homogenate was poured into 3 separate 2 mL tubes and centrifuged for 30 min at 4 °C (13,000× g). The supernatants were collected and preserved at −70 °C for further analysis. Total soluble protein was measured using the Bradford method [24]. Trypsin activity was measured at 410 nm using DL-arginine-p-nitroanilide as the substrate, according to a previous report [25]. N-benzoyl-L-tyrosine ethyl ester was used as the substrate for the determination of chymotrypsin activity at 256 nm, according to a previous report [26]. Amylase activity was measured according to the method described previously [27], using soluble starch as the substrate. The increase in the reducing power of buffered starch solution was measured with 3–5 dinitro salicylic acid (DNS) at 540 nm. Lipase activity was determined based on the hydrolysis of p-nitrophenyl myristate at 37 °C and wavelength 580 nm [28]. Alkaline phosphatase (ALP) activity was determined based on the hydrolysis of the p-nitrophenyl phosphate to p-nitrophenol and phosphate in the presence of magnesium ions, as described previously [29].
2.3.3. Intestinal Gene Expression
RNA was extracted from the intestine samples using a commercial kit (Denazist Co., Tehran, Iran) and treated with DNase I (Thermo Fisher Scientific, Waltham, MA, USA) to remove any DNA contaminations. Then, a commercial kit (SMOBIO Technology Co.; Hsinchu City, Taiwan) was used to synthesize cDNA, and gene expression was determined based on a quantitative RT-PCR using an instrument supplied by Applied Biosystem (Waltham, MA, USA). Specific primers of lys, heat shock protein 70 (hsp), tnfa, il1b, def, mucin2 (muc2), and mucin5 (muc5) for common carp (Table 2) and a SYBR Green kit (Ampliqon A/S, Stenhuggervej 22, Odense M, Denmark) were used for qRT-PCR. beta-actin was used as the housekeeping gene, and the expression of the target genes was determined based on Livak and Schmittgen [30].
Table 2.
The sequence of the target genes’ primers (with the primer length, melting temperature, amplicon length, and accession number).
2.3.4. Intestinal Bacterial Genus Populations
Populations of Lactobacillus sp., Aeromonas sp., and Vibrio sp. were examined in the intestinal samples. The samples were digested, and their DNA was extracted via the phenol-chloroform method using a washing kit provided by GeneAll Co. (Seoul, Korea) as described previously [14]. Specific primers were designed for the target bacteria groups and the universal 16 s primer was used for an examination of the total bacteria population (Table 3). qRT-PCR was used for amplification, and bacterial populations were calculated based on the ∆∆Ct method [14].
Table 3.
The primer sequences used for detecting different bacteria in the fish intestine.
2.4. Statistical Analysis
After confirming normal distribution (Shapiro–Wilk’s test) and homoscedasticity (Levene’s test), the data were analyzed using a one-way ANOVA and Duncan tests at a significance level of 0.05. The analyses were conducted in SPSS v.22 (IBM corporation, Chicago, IL, USA), and the data were presented as mean ± SE.
3. Results
There was no mortality during the experiment. Final weight, SGR, weight gain, and feed efficiency in the 5LAC treatment were significantly higher than those of the CTL and 10LAC treatments. There were no significant differences in these parameters between the 2.5LAC and 5LAC treatments (Table 4).
Table 4.
Growth performance, feed efficiency, and survival of common carp fed diets supplemented with 0 g/kg (CTL), 2.5 g/kg (2.5LAC), 5 g/kg (5LAC), and 10 g/kg (10LAC) lactic acid. Significant differences among the treatments were indicated by different superscript capital letters within a row (n = 3; Duncan).
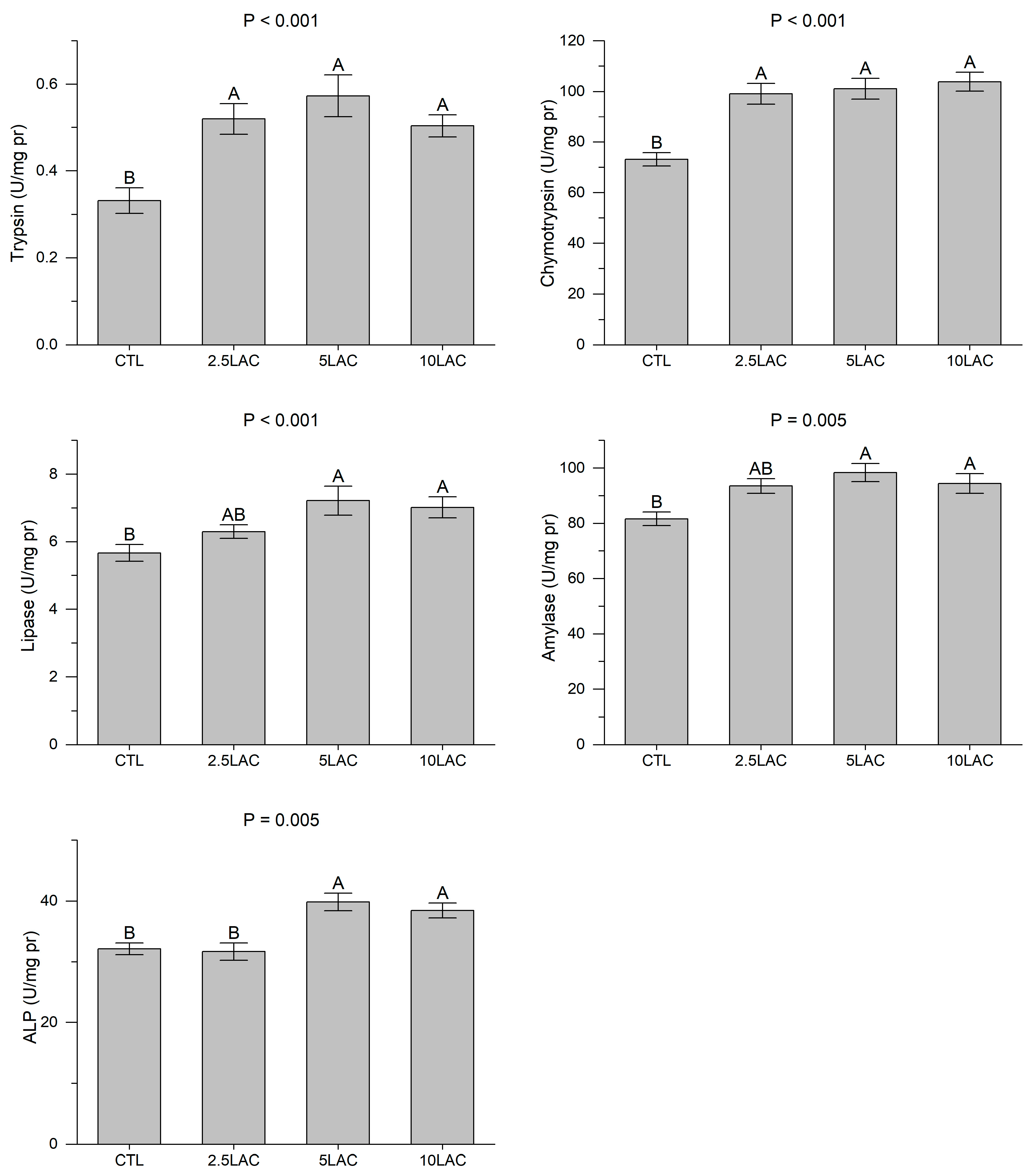
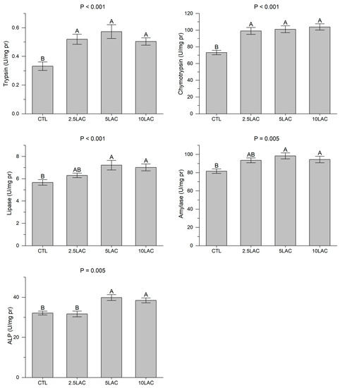
All LA treatments showed significant rises in the intestinal trypsin and chymotrypsin activities compared to the CTL group; however, no significant differences were observed among the 2.5LAC, 5LAC, and 10LAC treatments (Figure 1). The intestinal lipase, amylase, and ALP activities exhibited significant elevations in the 5LAC and 10LAC treatments compared to the CTL. The activities of these enzymes in the 2.5LAC treatment were similar to those of the CTL, 5LAC, and 10LAC treatments (Figure 1).
Figure 1.
The intestinal activities of the digestive enzymes in common carp fed diets supplemented with 0 g/kg (CTL), 2.5 g/kg (2.5LAC), 5 g/kg (5LAC), and 10 g/kg (10LAC) lactic acid. Significant differences among the treatments were indicated by different capital letters above the bars (n = 3; Duncan).
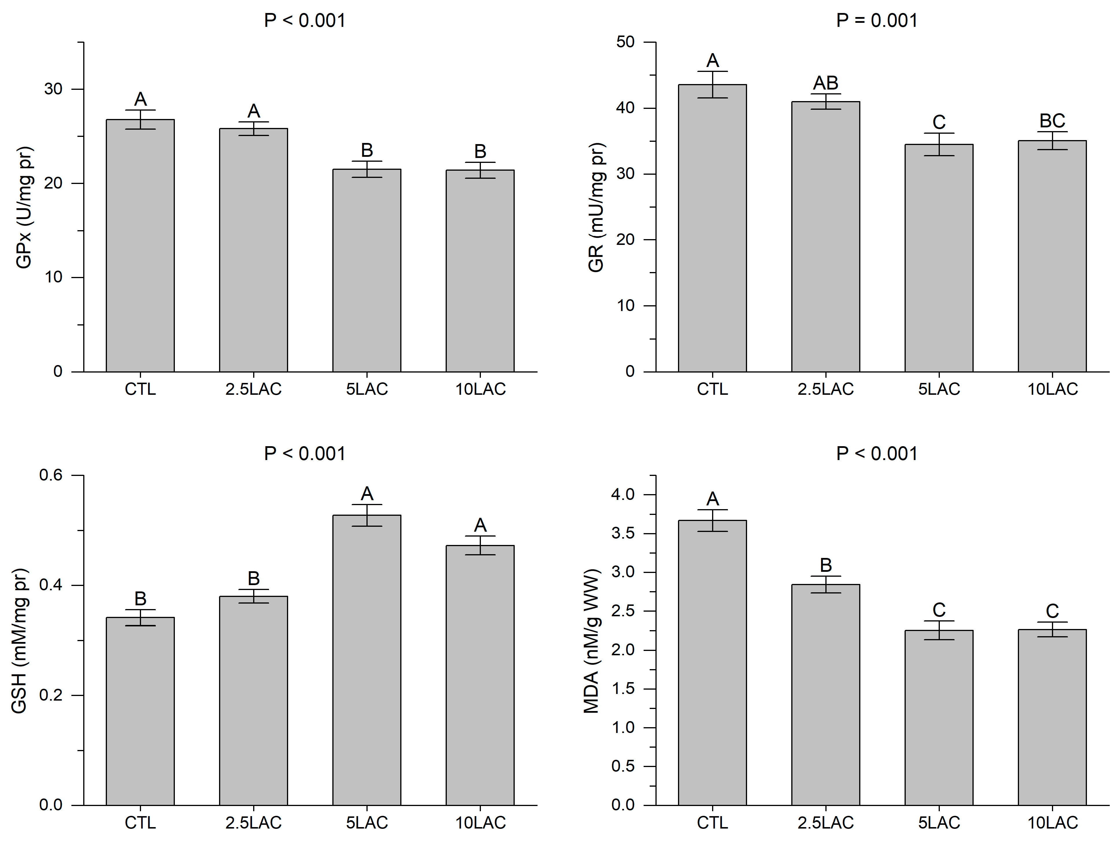
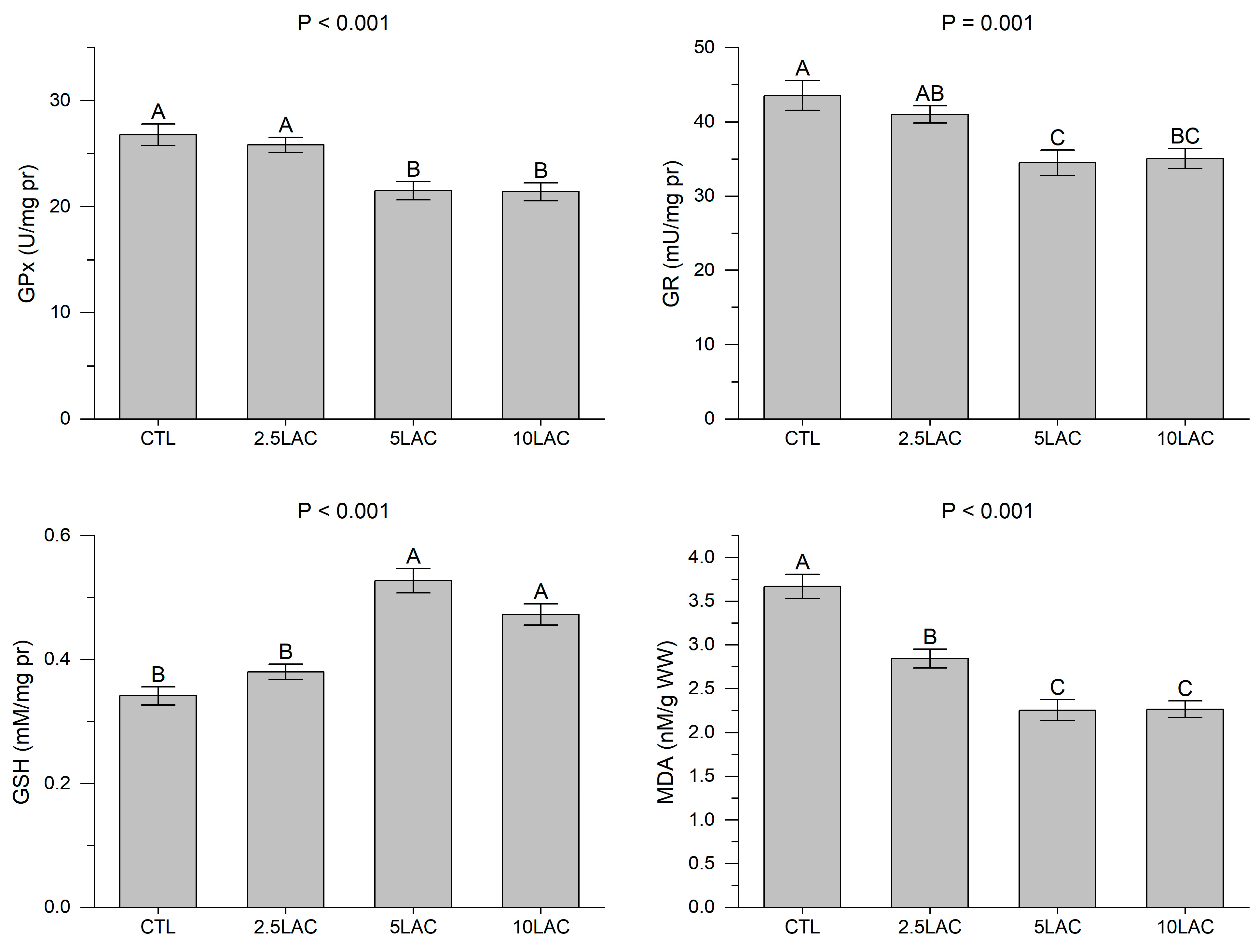
As all the LA treatments exhibited significant diminutions in the hepatic MDA contents, the lowest value was related to the 5LAC and 10LAC treatments (Figure 2). There were no significant differences in the hepatic GPx and GR activities and the GSH content between the 2.5LAC and CTL treatments; nevertheless, these treatments had significantly lower hepatic GPx and GR activities and higher GSH content compared to the CTL treatment (Figure 2).
Figure 2.
The hepatic antioxidant parameters in common carp fed diets supplemented with 0 g/kg (CTL), 2.5 g/kg (2.5LAC), 5 g/kg (5LAC), and 10 g/kg (10LAC) lactic acid. Significant differences among the treatments were indicated by different capital letters above the bars (n = 3; Duncan).
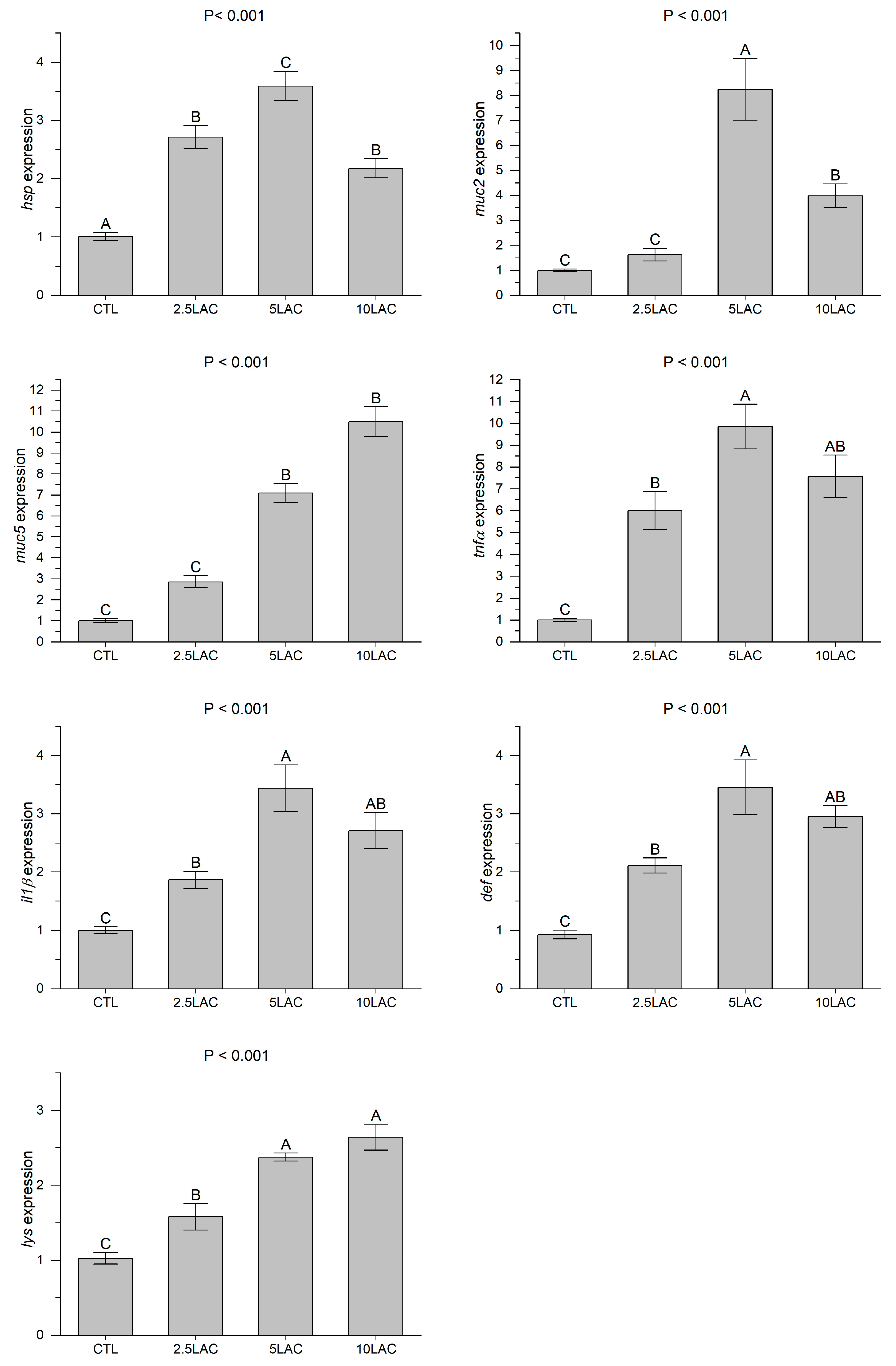
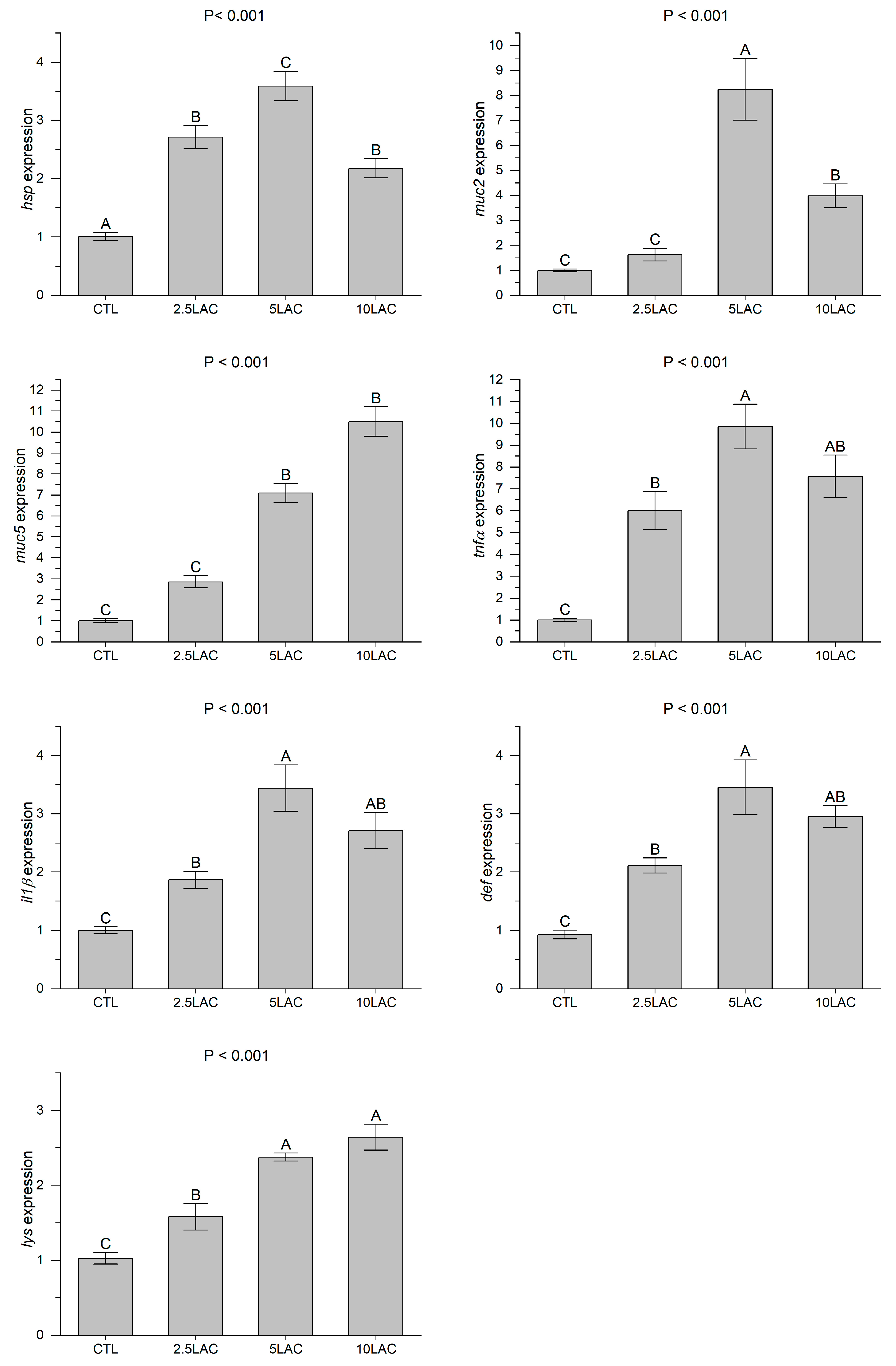
The intestinal expressions of hsp, tnfa, il1b, def, and lys genes significantly up-regulated in the LA treatments compared to the CTL treatment (Figure 3). The highest expressions of the intestinal hsp, tnfa, il1b, and def were observed in the 5LAC treatment; the highest expression of the intestinal lys was observed in the 5LAC and 10LAC treatments. While there were no significant differences in the intestinal muc2 expression between the CTL and 2.5LAC treatments, the 5LAC and 10LAC treatments exhibited significant up-regulations in the expression of this gene compared to the CTL treatment. An increase in dietary LA levels significantly increased the intestinal muc5 expression. The highest intestinal expression of muc2 was observed in the 5LAC treatment; the highest expression of the intestinal muc5 was observed in the 10LAC treatment (Figure 3).
Figure 3.
The intestinal gene expressions (relative to beta-actin) in common carp fed diets supplemented with 0 g/kg (CTL), 2.5 g/kg (2.5LAC), 5 g/kg (5LAC), and 10 g/kg (10LAC) lactic acid. Significant differences among the treatments were indicated by different capital letters above the bars (n = 3; Duncan).
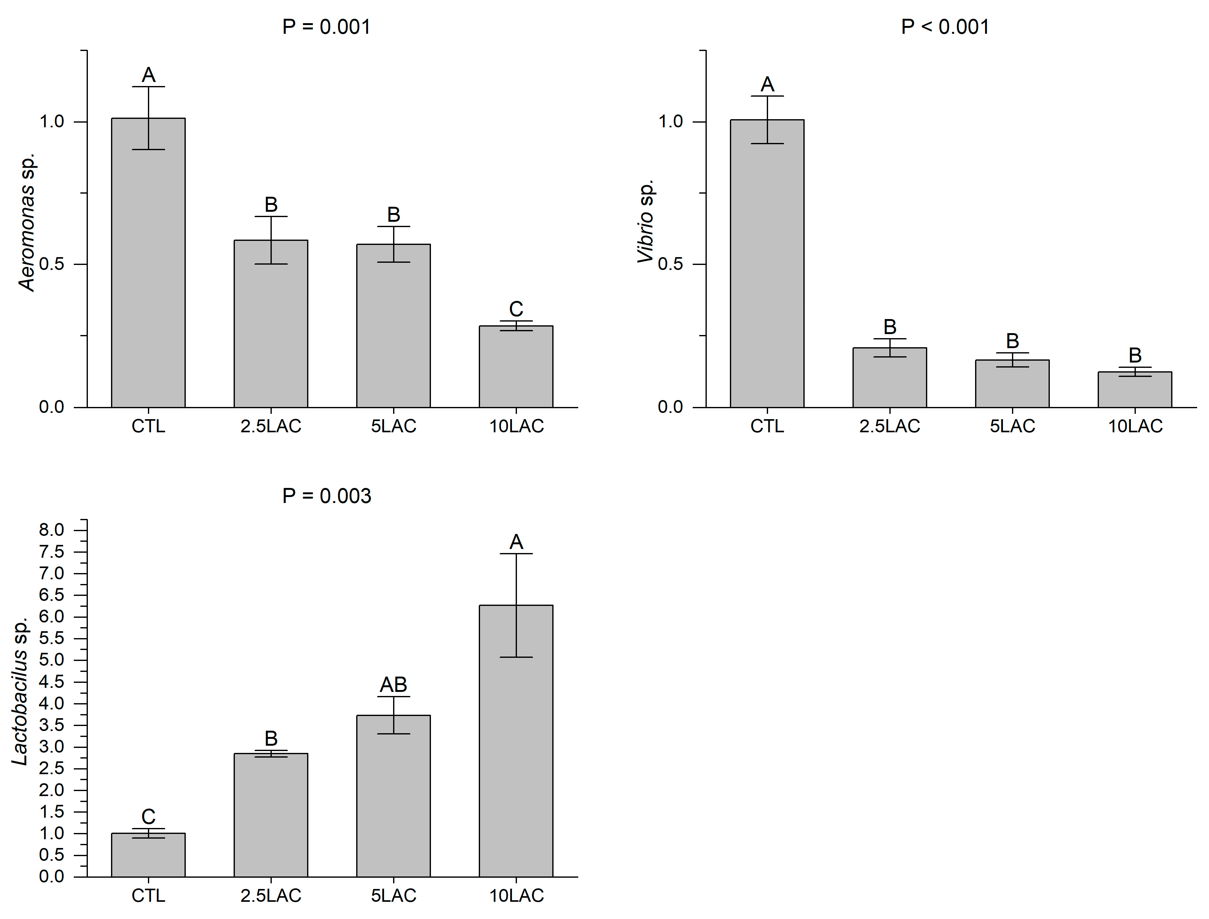
Dietary lactic acid supplementation significantly decreased the populations of Aeromonas sp. and Vibrio sp. and increased the population of Lactobacillus sp. in the fish intestine (Figure 4). The lowest intestinal Aeromonas sp. population was observed in the 10LAC treatment, but there was no significant difference between the 2.5LAC and 5LAC treatments. The intestinal Vibrio sp. were similar among the 2.5LAC, 5LAC, and 10LAC treatments. The highest intestinal Lactobacillus sp. population was observed in the 10LAC treatment, which was statistically similar to the 5LAC treatment.
Figure 4.
The intestinal populations of Aeromonas sp., Vibrio sp., and Lactobacillus sp. in common carp fed diets supplemented with 0 g/kg (CTL), 2.5 g/kg (2.5LAC), 5 g/kg (5LAC), and 10 g/kg (10LAC) lactic acid. Significant differences among the treatments were indicated by different capital letters above the bars (n = 3; Duncan).
4. Discussion
Organic acids have become increasingly popular as feed additives in aquaculture due to their benefits, such as improved nutrient digestibility, growth performance, immune stimulation, and intestinal health [35]. The effectiveness of organic-acid-supplemented diets in promoting growth performance in fish is not always consistent. Studies have shown that the use of LA or its salt has resulted in varying outcomes. For example, the addition of 20 g/kg of LA to fishmeal- and plant-based diets has led to improved growth performance in beluga [17], while 16.7 g/kg of sodium lactate supplementation has not promoted growth performance in giant grouper, Epinephelus lanceolatus, fed a plant-based diet [36]. Rainbow trout has exhibited no growth promotion when fed diets containing 5–20 g/kg LA [14]. In crustaceans, supplementation with 5–50 g/kg of encapsulated sodium lactate has significantly improved the growth performance of narrow-clawed crayfish [16]. These inconsistencies may be due to species-specific traits. Supporting this, research comparing Arctic charr and Atlantic salmon under similar experimental conditions found that dietary sodium lactate supplementation (10 g/kg) was beneficial for Arctic charr but not Atlantic salmon. The authors attributed this difference to the longer gastric emptying time in Arctic charr, which reduces harmful bacterial populations in the intestine [18].
One of the benefits of organic acid supplements is their ability to improve nutrient digestibility, which can increase growth performance in fish [16,37,38]. Similarly, LA supplementation has been shown to increase pancreatic enzymes’ activities in the fish intestine, as seen in previous studies on other fish species treated with other organic acids [37,38]. Studies have suggested that organic acids increase the activity of pancreatic enzymes in the fish intestine [37,38,39,40]. However, it is not clear if such increases result from the higher secretion of the pancreatic enzymes to the lumen and/or they are derived from the microbes of the lumen. Barlaya et al. [41] have shown that increase in a plant protein source in fish diet decreases the activity of digestive enzymes in the intestine, but not hepatopancreas. Moreover, organic acids may have no significant effects on digestive enzymes in the pancreas, as evidenced in shrimp [42,43]. It has been suggested that pancreatic enzymes are sensitive to anti-nutrients present in plant proteins, and significant decreases in intestinal digestive enzymes have been reported under such situations [44,45]. For example, phytate, a well-known anti-nutrient in plants, can inhibit lipase, amylase, and protease activity [46]. Beneficial bacteria can secrete digestive enzymes in the fish intestine [9]. Moreover, they can degrade anti-nutrients and suppress their negative effects on digestive enzymes. For example, many lactic acid bacteria produce phytase that can breakdown dietary phytate [10], probably improving digestive enzymes’ activity. Therefore, it is speculated that dietary LA increased the intestinal activity of amylase, lipase, trypsin, and chymotrypsin by altering the intestinal microbiota. Interestingly, the present study also found that LA supplementation increased intestinal ALP activity. ALP is a brush-border enzyme responsible for nutrient absorption [45]. ALP elevation may be due to an increase in enzyme production and/or intestinal folding, resulting in a higher surface-to-weight ratio of the intestine [47]. Several articles have reported results which support the claim that organic acids increase intestinal folding in fish [48,49,50].
Oxidative stress is one of the most life-threatening events in fish because of the high concentration of unsaturated fatty acids in the fish body [51]. Elevation in pro-oxidant agents in the fish bodies results in the activation of the antioxidant system, characterized by elevation in antioxidant enzymes’ activity to neutralize the harmful compounds [52]. If the antioxidant capacity fails to fully clear the harmful agents, they attack biological molecules, particularly fatty acids. MDA is a product of lipid peroxidation, and a low MDA concentration is an indicator of lower oxidative condition [53]. GSH-dependent antioxidant factors play a significant role in protecting fish cells against oxidation [54]. GPx uses GSH as a co-factor to neutralize hydrogen peroxide and other hydroperoxides. As a result, GSH is oxidized and loses its biological functions. GR is responsible for reducing oxidized glutathione. Dietary LA supplementation increased GSH levels and decreased GPx and GR activities, accompanied by lower MDA levels [55]. Hence, this study suggests that LA improved the antioxidant capacity of the intestine, leading to less GSH oxidation, thus lower activity of the glutathione-related enzymes. It has been reported that dietary organic acid/salt can increase antioxidant capacity in fish. Although there are limited data on this topic, dietary LA supplementation has been shown to significantly increase antioxidant enzymes’ activity and decrease MDA concentration in fish [14,56]. The antioxidant-modulating effect of dietary LA supplementation may be associated with an improvement in the fish intestinal microbiota, as studies have shown that beneficial bacteria can enhance antioxidant capacity in fish [38,57,58]. Specifically, it has been reported that some Lactobacillus sp. are capable of producing GSH [59,60] and riboflavin [61], which is needed for the GSH redox cycle [62,63]. Therefore, it is speculated that the increase in the population of Lactobacillus sp. bacteria in the fish intestine has improved the antioxidant capacity and reduced lipid peroxidation in the present study.
Organic acids can change the intestinal microbiota by reducing intestinal pH and serving as nutrients for certain bacteria. After the utilization of a specific organic acid/salt, other metabolites are released by the host intestinal microbes that serve as nutrients for other species, potentially changing the entire microbiota of the fish intestine [64]. Numerous studies have demonstrated that dietary butyrate [49,65,66], acetate [67], or LA [14] increases the population of Lactobacillus sp. in the fish intestine, which is consistent with the present results. In addition, the present study showed that dietary LA supplementation subordinates the populations of harmful bacteria, which is consistent with previous studies that showed that organic acids decreased Streptococcus iniae [14], Pseudomonas sp. [68], and Vibrio sp. [69] in the fish intestine. Overall, the present study suggests that dietary LA supplementation may be an effective procedure to balance the intestinal microbial populations in common carp, which can be the main reason for the benefits of LA in this species.
The intestine plays a crucial role in the immune function of fish as it serves as a barrier against harmful pathogens. The interaction between the intestinal microbiota and antigens with the host fish occurs at the gastrointestinal mucosal surface [70]. Fish rely on defensins for various immune-related functions, such as antibacterial, antiviral, and anti-inflammatory roles [71]. The intestinal def expression has been up-regulated by dietary feed additives and is known as improved immunity of the fish intestine [72,73,74]. Data regarding the roles of organic acids on fish intestinal def expression are scarce; dietary LA supplementation has had no significant effects on def expression in the intestine of rainbow trout [14]. The present study suggests that dietary LA administration is an effective practical approach for increasing the intestinal def expression in common carp, which may be helpful in strengthening intestinal immunity and health.
Heat shock protein 70 is commonly recognized for safeguarding living cells from stressful conditions by maintaining proper protein folding and function [75]. The expression of hsp can vary under different conditions; for instance, handling stress did not affect hsp expression in rainbow trout [76] but decreased the gene expression in Yellow Perch, Perca flavescens [77]. Similarly, dietary LA [14] and malic acid [78] supplementation has been reported to up-regulate the intestinal hsp expression in the intestine of rainbow trout. These up-regulations in intestinal hsp expressions have been in line with the domination of beneficial bacteria or boosted the antioxidant capacity of the fish intestine. Therefore, it is assumed that the increased intestinal hsp expression in LA-treated fish was a positive response that enhanced the cell’s ability to handle potential stressors, which suggests that the up-regulation of the hsp expression in the present study had been a sign of boosted intestinal health.
Fish possess a diverse group of glycoproteins known as mucins, which are present in the mucosal barrier. Among these, mucin2 and mucin5 are significant macromolecules that create a gel layer. Studies on humans [79] and broilers [80] have revealed that short-chain fatty acids may induce signals to increase mucins. Data regarding the effects of organic acids on fish intestinal mucin expression are scarce, as an increase in mucin expression in the intestine of gilthead sea bream has been reported after butyrate administration [81]. Fish intestinal mucins are crucial for immune responses and have been observed to change during infections [82,83] or exposure to toxicants [12,84]. It has been found that fish intestinal mucins are depleted within the first days after bacterial/parasitic infections [84,85], a defense mechanism to washing out pathogens, but recover after that. On the other hand, viral infection in common carp has been found to down-regulate mucin expression, which is a sign of distress and susceptibility to subsequent infections [86]. So, an increase in intestinal mucins can be considered a protective response that may help the fish for subsequent pathogenic challenges.
Immune cells produce cytokines such as il1b and tnfa which initiate the defense mechanism of the immune system by enhancing phagocytosis, respiratory burst activity, and nitric oxide production [87]. Lysozymes are essential molecules for innate immunity that exhibit a strong catalytic ability to break down bacteria cell walls, promoting cell lysis in the hypoosmotic environment [88]. With its antibacterial, antiviral, and anti-inflammatory properties, lysozyme can activate nuclear leucocytes and macrophages to promote phagocytosis [89]. The expression level of lys, il1b, and tnfa are important indicators for monitoring fish immunity and evaluating the effects of diet and vaccines. Similar to the present results, dietary malic acid [78] and butyric acid [66] have increased the expression of lys, il1b, and tnfa in the fish intestine. It has been found that induction of lys, il1b, and tnfa expression in the intestine of fish after the administration of organic acids has been accompanied by high disease resistance [66,87,90]. Interestingly, such an improvement in disease resistance has been accompanied by the domination of beneficial bacteria and subordination of harmful bacteria in the intestine of crucian carp, Carassius auratus gibelio [90], which can partly explain the present results.
5. Conclusions
In conclusion, the present study demonstrates that dietary supplementation with lactic acid improves growth performance and feed efficiency in fish by enhancing intestinal enzyme activities, regulating gene expressions related to immune response, increasing beneficial bacterial populations, and providing antioxidant benefits. It seems that such benefits are mediated by the domination of beneficial bacterial communities in the intestine. Although most of the tested parameters suggest that 5 g/kg LA is suitable for common carp dietary supplementation, further studies are needed to address the reasons behind the difference in the responses of some parameters to dietary LA levels.
Author Contributions
Conceptualization, S.M.H., M.Y. and A.T.M.; methodology, E.P. and A.A.-K.; formal analysis, S.M.H.; investigation, E.P. and A.A.-K.; data curation, E.P. and A.A.-K.; writing—original draft preparation, S.M.H. and M.Y.; writing—review and editing, S.M.H.; visualization, A.A.-K.; supervision, S.M.H.; project administration, S.M.H. All authors have read and agreed to the published version of the manuscript.
Funding
This research received no external funding.
Institutional Review Board Statement
The animal study protocol was approved by the Institutional Review Board of Internal Waters Aquatics Reserves Research Center (Approval Code: 1400/IWASRC-3).
Informed Consent Statement
Not applicable.
Data Availability Statement
The data of this study are available upon request from the corresponding author.
Conflicts of Interest
The authors declare no conflict of interest.
References
- Wassef, E.A.; Abdel-Momen, S.A.-G.; Saleh, N.E.-S.; Al-Zayat, A.M.; Ashry, A.M. Is sodium diformate a beneficial feed supplement for European seabass (Dicentrarchus labrax)? Effect on growth performance and health status. Egypt. J. Aquat. Res. 2017, 43, 229–234. [Google Scholar] [CrossRef]
- Ringø, E.; Olsen, R.; Gifstad, T.; Dalmo, R.; Amlund, H.; Hemre, G.I.; Bakke, A. Prebiotics in aquaculture: A review. Aquac. Nutr. 2010, 16, 117–136. [Google Scholar] [CrossRef]
- Ringø, E.; Song, S.K. Application of dietary supplements (synbiotics and probiotics in combination with plant products and β-glucans) in aquaculture. Aquac. Nutr. 2016, 22, 4–24. [Google Scholar] [CrossRef]
- Luckstadt, C. The use of acidifiers in fish nutrition. CABI Rev. 2008, 3, 8pp. [Google Scholar] [CrossRef]
- Reda, R.M.; Mahmoud, R.; Selim, K.M.; El-Araby, I.E. Effects of dietary acidifiers on growth, hematology, immune response and disease resistance of Nile tilapia, Oreochromis niloticus. Fish Shellfish Immunol. 2016, 50, 255–262. [Google Scholar] [CrossRef] [PubMed]
- Zhang, M.; Wu, X.; Zhai, S. Effect of dietary compound acidifiers supplementation on growth performance, serum biochemical parameters, and body composition of juvenile American eel (Anguilla rostrata). Fishes 2022, 7, 203. [Google Scholar] [CrossRef]
- Liu, W.; Yang, Y.; Zhang, J.; Gatlin, D.M.; Ringø, E.; Zhou, Z. Effects of dietary microencapsulated sodium butyrate on growth, intestinal mucosal morphology, immune response and adhesive bacteria in juvenile common carp (Cyprinus carpio) pre-fed with or without oxidised oil. Br. J. Nutr. 2014, 112, 15–29. [Google Scholar] [CrossRef]
- Fuchs, V.; Schmidt, J.; Slater, M.; Zentek, J.; Buck, B.; Steinhagen, D. The effect of supplementation with polysaccharides, nucleotides, acidifiers and Bacillus strains in fish meal and soy bean based diets on growth performance in juvenile turbot (Scophthalmus maximus). Aquaculture 2015, 437, 243–251. [Google Scholar] [CrossRef]
- Assan, D.; Kuebutornye, F.K.A.; Hlordzi, V.; Chen, H.; Mraz, J.; Mustapha, U.F.; Abarike, E.D. Effects of probiotics on digestive enzymes of fish (finfish and shellfish); status and prospects: A mini review. Com. Biochem. Physiol. B Biochem. Mol. Biol. 2022, 257, 110653. [Google Scholar] [CrossRef]
- Karataş, S.; Turgay, E.; Yıldız, M.; Kaiza, V.E.; Yardımcı, R.E.; Steinum, T.M. Mucosal bacteriomes of rainbow trout (Oncorhynchus mykiss) intestines are modified in response to dietary phytase. Aquaculture 2023, 574, 739672. [Google Scholar] [CrossRef]
- Chen, Z.; Zhao, S.; Liu, Y.; Yang, P.; Ai, Q.; Zhang, W.; Xu, W.; Zhang, Y.; Zhang, Y.; Mai, K. Dietary citric acid supplementation alleviates soybean meal-induced intestinal oxidative damage and micro-ecological imbalance in juvenile turbot, Scophthalmus maximus L. Aquac. Res. 2018, 49, 3804–3816. [Google Scholar] [CrossRef]
- Hoseini, S.M.; Sinha, R.; Fazel, A.; Khosraviani, K.; Delavar, F.H.; Arghideh, M.; Sedaghat, M.; Paolucci, M.; Hoseinifar, S.H.; Van Doan, H. Histopathological damage and stress- and immune-related genes’ expression in the intestine of common carp, Cyprinus carpio exposed to copper and polyvinyl chloride microparticle. J. Exp. Zool. Part A Ecol. Integr. Physiol. 2022, 337, 181–190. [Google Scholar] [CrossRef] [PubMed]
- Anuta, J.D.; Buentello, A.; Patnaik, S.; Lawrence, A.L.; Mustafa, A.; Hume, M.E.; Gatlin, D.M., III; Kemp, M.C. Effect of dietary supplementation of acidic calcium sulfate (Vitoxal) on growth, survival, immune response and gut microbiota of the Pacific white shrimp, Litopenaeus vannamei. J. World Aquac. Soc. 2011, 42, 834–844. [Google Scholar] [CrossRef]
- Hoseini, S.M.; Rajabiesterabadi, H.; Abbasi, M.; Khosraviani, K.; Hoseinifar, S.H.; Van Doan, H. Modulation of humoral immunological and antioxidant responses and gut bacterial community and gene expression in rainbow trout, Oncorhynchus mykiss, by dietary lactic acid supplementation. Fish Shellfish Immunol. 2022, 125, 26–34. [Google Scholar] [CrossRef] [PubMed]
- Huang, M.; Shang, Z.-H.; Wu, M.-X.; Zhang, L.-J.; Zhang, Y.-L. Regulation of Rhesus glycoprotein-related genes in large-scale loach Paramisgurnus dabryanus during ammonia loading. Ecotoxicol. Environ. Saf. 2022, 244, 114077. [Google Scholar] [CrossRef] [PubMed]
- Safari, O.; Paolucci, M.; Ahmadniaye Motlagh, H. Effect of dietary encapsulated organic salts (Na-acetate, Na-butyrate, Na-lactate and Na-propionate) on growth performance, haemolymph, antioxidant and digestive enzyme activities and gut microbiota of juvenile narrow clawed crayfish, Astacus leptodactylus leptodactylus Eschscholtz, 1823. Aquac. Nutr. 2021, 27, 91–104. [Google Scholar]
- Matani Bour, H.A.; Esmaeili, M.; Abedian Kenari, A. Growth performance, muscle and liver composition, blood traits, digestibility and gut bacteria of beluga (Huso huso) juvenile fed different levels of soybean meal and lactic acid. Aquac. Nutr. 2018, 24, 1361–1368. [Google Scholar] [CrossRef]
- Ringø, E. Effects of dietary lactate and propionate on growth and digesta in Arctic charr, Salvelinus alpinus (L.). Aquaculture 1991, 96, 321–333. [Google Scholar] [CrossRef]
- Gislason, G.; Olsen, R.E.; Hinge, E. Comparative effects of dietary Na+-lactate on Arctic char, Salvelinus alpinus L., and Atlantic salmon, Salmo salar L. Aquac. Res. 1996, 27, 429–435. [Google Scholar] [CrossRef]
- FAO. The State of World Fisheries and Aquaculture 2020–Sustainability in Action; FAO: Rome, Italy, 2022. [Google Scholar]
- Weber, M.J.; Brown, M.L.; Willis, D.W. Spatial variability of common carp populations in relation to lake morphology and physicochemical parameters in the upper Midwest United States. Ecol. Freshw. Fish 2010, 19, 555–565. [Google Scholar] [CrossRef]
- AOAC. Official Methods of Analysis of the Association of Official Analytical Chemists; Association of Official Analytical Chemists: Washington, DC, USA, 2005. [Google Scholar]
- Hoseini, S.M.; Mirghaed, A.T.; Iri, Y.; Ghelichpour, M. Effects of dietary cineole administration on growth performance, hematological and biochemical parameters of rainbow trout (Oncorhynchus mykiss). Aquaculture 2018, 495, 766–772. [Google Scholar] [CrossRef]
- Bradford, M.M. A rapid and sensitive method for the quantitation of microgram quantities of protein utilizing the principle of protein-dye binding. Anal. Biochem. 1976, 72, 248–254. [Google Scholar] [CrossRef] [PubMed]
- Liu, K.; Seegers, S.; Cao, W.; Wanasundara, J.; Chen, J.; da Silva, A.E.; Ross, K.; Franco, A.L.; Vrijenhoek, T.; Bhowmik, P.; et al. An international collaborative study on trypsin inhibitor assay for legumes, cereals, and related products. J. Am. Oil Chem. Soc. 2021, 98, 375–390. [Google Scholar] [CrossRef]
- González-Félix, M.L.; De La Reé-Rodríguez, C.; Perez-Velazquez, M. Optimum activity and partial characterization of chymotrypsin from the sciaenids Cynoscion othonopterus, Cynoscion parvipinnis, and Cynoscion xanthulus. J. Aquat. Food Prod. Technol. 2021, 30, 670–682. [Google Scholar] [CrossRef]
- Ferreira, A.; Cahú, T.; Xu, J.; Blennow, A.; Bezerra, R. A highly stable raw starch digesting α-amylase from Nile tilapia (Oreochromis niloticus) viscera. Food Chem. 2021, 354, 129513. [Google Scholar] [CrossRef]
- Najm, T.A.; Walsh, M.K. Characterization of lipases from Geobacillus stearothermophilus and Anoxybacillus flavithermuscell lysates. Food. Nutr. Sci. 2022, 13, 238–251. [Google Scholar]
- Velmurugan, B.; Selvanayagam, M.; Cengiz, E.I.; Uysal, E. Levels of transaminases, alkaline phosphatase, and protein in tissues of Clarias gariepienus fingerlings exposed to sublethal concentrations of cadmium chloride. Environ. Toxicol. 2008, 23, 672–678. [Google Scholar] [CrossRef]
- Livak, K.J.; Schmittgen, T.D. Analysis of relative gene expression data using real-time quantitative PCR and the 2−ΔΔCT method. Methods 2001, 25, 402–408. [Google Scholar] [CrossRef]
- Frank, J.A.; Reich, C.I.; Sharma, S.; Weisbaum, J.S.; Wilson, B.A.; Olsen, G.J. Critical evaluation of two primers commonly used for amplification of bacterial 16S rRNA genes. Appl. Environ. Microbiol. 2008, 74, 2461–2470. [Google Scholar] [CrossRef]
- Tall, A.; Teillon, A.; Boisset, C.; Delesmont, R.; Touron-Bodilis, A.; Hervio-Heath, D. Real-time PCR optimization to identify environmental Vibrio spp. strains. J. Appl. Microbiol. 2012, 113, 361–372. [Google Scholar] [CrossRef]
- Yu, C.-P.; Farrell, S.K.; Robinson, B.; Chu, K.-H. Development and application of real-time PCR assays for quantifying total and aerolysin gene-containing Aeromonas in source, intermediate, and finished drinking water. Environ. Sci. Technol. 2008, 42, 1191–1200. [Google Scholar] [CrossRef] [PubMed]
- Wei, H.C.; Xing, S.J.; Chen, P.; Wu, X.F.; Gu, X.; Luo, L.; Liang, X.F.; Xue, M. Plant protein diet-induced hypoimmunity by affecting the spiral valve intestinal microbiota and bile acid enterohepatic circulation in Amur sturgeon (Acipenser schrenckii). Fish Shellfish Immunol. 2020, 106, 421–430. [Google Scholar] [CrossRef] [PubMed]
- Lim, C.; Lückstädt, C.; Webster, C.D.; Kesius, P. Organic acids and their salts. In Dietary Nutrients, Additives, and Fish Health; Lee, C.-S., Lim, C., Webster, C.D., Eds.; Willey-Blackwell: Hoboken, NJ, USA; Blackwell-Publishing: Hoboken, NJ, USA, 2015; pp. 305–320. [Google Scholar]
- Lin, Y.-H.; Cheng, M.-Y. Effects of dietary organic acid supplementation on the growth, nutrient digestibility and intestinal histology of the giant grouper Epinephelus lanceolatus fed a diet with soybean meal. Aquaculture 2017, 469, 106–111. [Google Scholar] [CrossRef]
- Castillo, S.; Rosales, M.; Pohlenz, C.; Gatlin, D.M., III. Effects of organic acids on growth performance and digestive enzyme activities of juvenile red drum Sciaenops ocellatus. Aquaculture 2014, 433, 6–12. [Google Scholar] [CrossRef]
- Sotoudeh, E.; Sangari, M.; Bagheri, D.; Morammazi, S.; Torfi Mozanzadeh, M. Dietary organic acid salts mitigate plant protein induced inflammatory response and improve humoral immunity, antioxidative status and digestive enzyme activities in yellowfin seabream, Acanthopagrus latus. Aquac. Nutr. 2020, 26, 1669–1680. [Google Scholar] [CrossRef]
- Safari, O.; Sarkheil, M.; Shahsavani, D.; Paolucci, M. Effects of single or combined administration of dietary synbiotic and sodium propionate on humoral immunity and oxidative defense, digestive enzymes and growth performances of African cichlid (Labidochromis lividus) challenged with Aeromonas hydrophila. Fishes 2021, 4, 63. [Google Scholar] [CrossRef]
- Sotoudeh, E.; Saghaei, S.; Dehghani, M. Effects of dietary sodium citrate on growth performance, body composition and digestive enzymes activity of yellowfin seabream (Acanthopagrus latus) fingerling. Aquac. Sci. 2020, 8, 32–42. [Google Scholar]
- Barlaya, G.; Ananda Kumar, B.S.; Huchchappa, R.C.; Basumatary, P.; Kannur, H. Effect of fish meal replacement with toasted guar meal on growth, food conversion, digestive enzyme activity and final carcass composition of rohu, Labeo rohita. Aquac. Res. 2021, 52, 5551–5557. [Google Scholar] [CrossRef]
- Huan, D.; Li, X.; Yao, W.; Yang, H.; Liang, G.; Leng, X. Effects of organic acids (salt) supplementation in low fish meal diet on growth performance, digestive enzyme activities and nutrient apparent digestibility of Litopenaeus vannamei. Chin. J. Anim. Nutr. 2018, 30, 4526–4537. [Google Scholar]
- Yao, W.; Li, X.; Kabir Chowdhury, M.A.; Wang, J.; Leng, X. Dietary protease, carbohydrase and micro-encapsulated organic acid salts individually or in combination improved growth, feed utilization and intestinal histology of Pacific white shrimp. Aquaculture 2019, 503, 88–95. [Google Scholar] [CrossRef]
- Santigosa, E.; Sánchez, J.; Médale, F.; Kaushik, S.; Pérez-Sánchez, J.; Gallardo, M.A. Modifications of digestive enzymes in trout (Oncorhynchus mykiss) and sea bream (Sparus aurata) in response to dietary fish meal replacement by plant protein sources. Aquaculture 2008, 282, 68–74. [Google Scholar] [CrossRef]
- Tibaldi, E.; Hakim, Y.; Uni, Z.; Tulli, F.; de Francesco, M.; Luzzana, U.; Harpaz, S. Effects of the partial substitution of dietary fish meal by differently processed soybean meals on growth performance, nutrient digestibility and activity of intestinal brush border enzymes in the European sea bass (Dicentrarchus labrax). Aquaculture 2006, 261, 182–193. [Google Scholar] [CrossRef]
- Konietzny, U.; Greiner, R. Phytic acid|Nutritional impact. In Encyclopedia of Food Sciences and Nutrition, 2nd ed.; Caballero, B., Ed.; Academic Press: Oxford, UK, 2003; pp. 4555–4563. [Google Scholar]
- Abbasi, A.; Oujifard, A.; Mozanzadeh, M.T.; Habibi, H.; Nafisi Bahabadi, M. Dietary simultaneous replacement of fish meal and fish oil with blends of plant proteins and vegetable oils in yellowfin seabream (Acanthopagrus latus) fry: Growth, digestive enzymes, antioxidant status and skin mucosal immunity. Aquac. Nutr. 2020, 26, 1131–1142. [Google Scholar] [CrossRef]
- Estensoro, I.; Ballester-Lozano, G.; Benedito-Palos, L.; Grammes, F.; Martos-Sitcha, J.A.; Mydland, L.-T.; Calduch-Giner, J.A.; Fuentes, J.; Karalazos, V.; Ortiz, Á. Dietary butyrate helps to restore the intestinal status of a marine teleost (Sparus aurata) fed extreme diets low in fish meal and fish oil. PLoS ONE 2016, 11, e0166564. [Google Scholar] [CrossRef] [PubMed]
- Tian, L.; Zhou, X.-Q.; Jiang, W.-D.; Liu, Y.; Wu, P.; Jiang, J.; Kuang, S.-Y.; Tang, L.; Tang, W.-N.; Zhang, Y.-A.; et al. Sodium butyrate improved intestinal immune function associated with NF-κB and p38MAPK signalling pathways in young grass carp (Ctenopharyngodon idella). Fish Shellfish Immunol. 2017, 66, 548–563. [Google Scholar] [CrossRef] [PubMed]
- Ebrahimi, M.; Daeman, N.H.; Chong, C.M.; Karami, A.; Kumar, V.; Hoseinifar, S.H.; Romano, N. Comparing the effects of different dietary organic acids on the growth, intestinal short-chain fatty acids, and liver histopathology of red hybrid tilapia (Oreochromis sp.) and potential use of these as preservatives. Fish Physiol. Biochem. 2017, 43, 1195–1207. [Google Scholar] [CrossRef]
- Biller, J.D.; Takahashi, L.S. Oxidative stress and fish immune system: Phagocytosis and leukocyte respiratory burst activity. An. Acad. Bras. Cienc. 2018, 90, 3403–3414. [Google Scholar] [CrossRef] [PubMed]
- Adineh, H.; Naderi, M.; Hamidi, M.K.; Harsij, M. Biofloc technology improves growth, innate immune responses, oxidative status, and resistance to acute stress in common carp (Cyprinus carpio) under high stocking density. Fish Shellfish Immunol. 2019, 95, 440–448. [Google Scholar] [CrossRef]
- Yusefi, M.; Mohammadiazarm, H.; Salati, A.P. Effects of dietary sodium diformate on growth performance, immunological and biochemical blood indices, antioxidant capacity, and thermal stress tolerance of juvenile common carp (Cprinus carpio). Aquac. Rep. 2022, 22, 100963. [Google Scholar] [CrossRef]
- Burk, R.F.; Hill, K.E. 4.13–Glutathione peroxidases. In Comprehensive Toxicology, 2nd ed.; McQueen, C.A., Ed.; Elsevier: Oxford, UK, 2010; pp. 229–242. [Google Scholar]
- Cherian, D.A.; Peter, T.; Narayanan, A.; Madhavan, S.S.; Achammada, S.; Vynat, G.P. Malondialdehyde as a marker of oxidative stress in periodontitis patients. J. Pharm. Bioallied Sci. 2019, 11, S297. [Google Scholar] [CrossRef] [PubMed]
- Chen, W.; Chang, K.; Chen, J.; Zhao, X.; Gao, S. Dietary sodium butyrate supplementation attenuates intestinal inflammatory response and improves gut microbiota composition in largemouth bass (Micropterus salmoides) fed with a high soybean meal diet. Fish Physiol. Biochem. 2021, 47, 1805–1819. [Google Scholar] [CrossRef]
- Ashouri, G.; Soofiani, N.M.; Hoseinifar, S.H.; Jalali, S.A.H.; Morshedi, V.; Valinassab, T.; Bagheri, D.; Van Doan, H.; Mozanzadeh, M.T.; Carnevali, O. Influence of dietary sodium alginate and Pediococcus acidilactici on liver antioxidant status, intestinal lysozyme gene expression, histomorphology, microbiota, and digestive enzymes activity, in Asian sea bass (Lates calcarifer) juveniles. Aquaculture 2020, 518, 734638. [Google Scholar] [CrossRef]
- Kong, Y.; Li, M.; Chu, G.; Liu, H.; Shan, X.; Wang, G.; Han, G. The positive effects of single or conjoint administration of lactic acid bacteria on Channa argus: Digestive enzyme activity, antioxidant capacity, intestinal microbiota and morphology. Aquaculture 2021, 531, 735852. [Google Scholar] [CrossRef]
- Peran, L.; Camuesco, D.; Comalada, M.; Nieto, A.; Concha, A.; Adrio, J.L.; Olivares, M.; Xaus, J.; Zarzuelo, A.; Galvez, J. Lactobacillus fermentum, a probiotic capable to release glutathione, prevents colonic inflammation in the TNBS model of rat colitis. Int. J. Colorectal Dis. 2006, 21, 737–746. [Google Scholar] [CrossRef]
- Pophaly, S.D.; Poonam, S.; Pophaly, S.D.; Kapila, S.; Nanda, D.K.; Tomar, S.K.; Singh, R. Glutathione biosynthesis and activity of dependent enzymes in food-grade lactic acid bacteria harbouring multidomain bifunctional fusion gene (gshF). J. Appl. Microbiol. 2017, 123, 194–203. [Google Scholar] [CrossRef] [PubMed]
- Thakur, K.; Tomar, S.K.; De, S. Lactic acid bacteria as a cell factory for riboflavin production. Microb. Biotechnol. 2016, 9, 441–451. [Google Scholar] [CrossRef]
- Kumar, N. Dietary riboflavin enhances immunity and anti-oxidative status against arsenic and high temperature in Pangasianodon hypophthalmus. Aquaculture 2021, 533, 736209. [Google Scholar] [CrossRef]
- Olfat, N.; Ashoori, M.; Saedisomeolia, A. Riboflavin is an antioxidant: A review update. Br. J. Nutr. 2022, 128, 1887–1895. [Google Scholar]
- Hoseinifar, S.H.; Sun, Y.-Z.; Caipang, C.M. Short-chain fatty acids as feed supplements for sustainable aquaculture: An updated view. Aquac. Res. 2017, 48, 1380–1391. [Google Scholar]
- Alves Jesus, G.F.; Owatari, M.S.; Pereira, S.A.; Silva, B.C.; Syracuse, N.M.; Lopes, G.R.; Addam, K.; Cardoso, L.; Mouriño, J.L.P.; Martins, M.L. Effects of sodium butyrate and Lippia origanoides essential oil blend on growth, intestinal microbiota, histology, and haemato-immunological response of Nile tilapia. Fish Shellfish Immunol. 2021, 117, 62–69. [Google Scholar] [CrossRef]
- Taheri Mirghaed, A.; Yarahmadi, P.; Soltani, M.; Paknejad, H.; Hoseini, S.M. Dietary sodium butyrate (Butirex® C4) supplementation modulates intestinal transcriptomic responses and augments disease resistance of rainbow trout (Oncorhynchus mykiss). Fish Shellfish Immunol. 2019, 92, 621–628. [Google Scholar] [CrossRef] [PubMed]
- Zhang, H.; Ding, Q.; Wang, A.; Liu, Y.; Teame, T.; Ran, C.; Yang, Y.; He, S.; Zhou, W.; Olsen, R.E.; et al. Effects of dietary sodium acetate on food intake, weight gain, intestinal digestive enzyme activities, energy metabolism and gut microbiota in cultured fish: Zebrafish as a model. Aquaculture 2020, 523, 735188. [Google Scholar] [CrossRef]
- Addam, K.G.S.; Pereira, S.A.; Jesus, G.F.A.; Cardoso, L.; Syracuse, N.; Lopes, G.R.; Lehmann, N.B.; da Silva, B.C.; de Sá, L.S.; Chaves, F.C.M.; et al. Dietary organic acids blend alone or in combination with an essential oil on the survival, growth, gut/liver structure and de hemato-immunological in Nile tilapia Oreochromis niloticus. Aquac. Res. 2019, 50, 2960–2971. [Google Scholar] [CrossRef]
- Katya, K.; Park, G.; Bharadwaj, A.S.; Browdy, C.L.; Vazquez-Anon, M.; Bai, S.C. Organic acids blend as dietary antibiotic replacer in marine fish olive flounder, Paralichthys olivaceus. Aquac. Res. 2018, 49, 2861–2868. [Google Scholar] [CrossRef]
- Medina-Félix, D.; Garibay-Valdez, E.; Vargas-Albores, F.; Martínez-Porchas, M. Fish disease and intestinal microbiota: A close and indivisible relationship. Rev. Aquac. 2023, 15, 820–839. [Google Scholar] [CrossRef]
- Guo, M.; Wei, J.; Huang, X.; Huang, Y.; Qin, Q. Antiviral effects of β-defensin derived from orange-spotted grouper (Epinephelus coioides). Fish Shellfish Immunol. 2012, 32, 828–838. [Google Scholar] [CrossRef]
- Zhao, Y.; Yan, M.-Y.; Jiang, Q.; Yin, L.; Zhou, X.-Q.; Feng, L.; Liu, Y.; Jiang, W.-D.; Wu, P.; Zhao, J.; et al. Isoleucine improved growth performance, and intestinal immunological and physical barrier function of hybrid catfish Pelteobagrus vachelli × Leiocassis longirostris. Fish Shellfish Immunol. 2021, 109, 20–33. [Google Scholar] [CrossRef]
- Wu, P.; Jiang, W.-D.; Jiang, J.; Zhao, J.; Liu, Y.; Zhang, Y.-A.; Zhou, X.-Q.; Feng, L. Dietary choline deficiency and excess induced intestinal inflammation and alteration of intestinal tight junction protein transcription potentially by modulating NF-κB, STAT and p38 MAPK signaling molecules in juvenile Jian carp. Fish Shellfish Immunol. 2016, 58, 462–473. [Google Scholar] [CrossRef]
- Jiang, J.; Yin, L.; Li, J.-Y.; Li, Q.; Shi, D.; Feng, L.; Liu, Y.; Jiang, W.-D.; Wu, P.; Zhao, Y.; et al. Glutamate attenuates lipopolysaccharide-induced oxidative damage and mRNA expression changes of tight junction and defensin proteins, inflammatory and apoptosis response signaling molecules in the intestine of fish. Fish Shellfish Immunol. 2017, 70, 473–484. [Google Scholar] [CrossRef]
- Niu, C.J.; Rummer, J.L.; Brauner, C.J.; Schulte, P.M. Heat shock protein (Hsp70) induced by a mild heat shock slightly moderates plasma osmolarity increases upon salinity transfer in rainbow trout (Oncorhynchus mykiss). Comp. Biochem. Physiol. Part C Toxicol. Pharmacol. 2008, 148, 437–444. [Google Scholar] [CrossRef]
- Vijayan, M.M.; Pereira, C.; Forsyth, R.B.; Kennedy, C.J.; Iwama, G.K. Handling stress does not affect the expression of hepatic heat shock protein 70 and conjugation enzymes in rainbow trout treated with β-naphthoflavone. Life Sci. 1997, 61, 117–127. [Google Scholar] [CrossRef] [PubMed]
- Eissa, N.; Wang, H.-P.; Yao, H.; Shen, Z.-G.; Shaheen, A.A.; Abou-ElGheit, E.N. Expression of Hsp70, Igf1, and three oxidative stress biomarkers in response to handling and salt treatment at different water temperatures in yellow perch, Perca flavescens. Front. Physiol. 2017, 8, 683. [Google Scholar] [CrossRef] [PubMed]
- Yousefi, M.; Ghafarifarsani, H.; Raissy, M.; Yilmaz, S.; Vatnikov, Y.A.; Kulikov, E.V. Effects of dietary malic acid supplementation on growth performance, antioxidant and immunological parameters, and intestinal gene expressions in rainbow trout, Oncorhynchus mykiss. Aquaculture 2023, 563, 738864. [Google Scholar] [CrossRef]
- Willemsen, L.; Koetsier, M.; Van Deventer, S.; Van Tol, E. Short chain fatty acids stimulate epithelial mucin 2 expression through differential effects on prostaglandin E1 and E2 production by intestinal myofibroblasts. Gut 2003, 52, 1442–1447. [Google Scholar] [CrossRef]
- Onrust, L.; Ducatelle, R.; Van Driessche, K.; De Maesschalck, C.; Vermeulen, K.; Haesebrouck, F.; Eeckhaut, V.; Van Immerseel, F. Steering endogenous butyrate production in the intestinal tract of broilers as a tool to improve gut health. Front. Vet. Sci. 2015, 2, 75. [Google Scholar] [CrossRef]
- Piazzon, M.C.; Calduch-Giner, J.A.; Fouz, B.; Estensoro, I.; Simó-Mirabet, P.; Puyalto, M.; Karalazos, V.; Palenzuela, O.; Sitjà-Bobadilla, A.; Pérez-Sánchez, J. Under control: How a dietary additive can restore the gut microbiome and proteomic profile, and improve disease resilience in a marine teleostean fish fed vegetable diets. Microbiome 2017, 5, 164. [Google Scholar] [CrossRef]
- Jung-Schroers, V.; Adamek, M.; Harris, S.; Syakuri, H.; Jung, A.; Irnazarow, I.; Steinhagen, D. Response of the intestinal mucosal barrier of carp (Cyprinus carpio) to a bacterial challenge by Aeromonas hydrophila intubation after feeding with β-1,3/1,6-glucan. J. Fish Dis. 2018, 41, 1077–1092. [Google Scholar] [CrossRef]
- Neuhaus, H.; Van der Marel, M.; Caspari, N.; Meyer, W.; Enss, M.; Steinhagen, D. Biochemical and histochemical effects of perorally applied endotoxin on intestinal mucin glycoproteins of the common carp Cyprinus carpio. Dis. Aquat. Organ. 2007, 77, 17–27. [Google Scholar] [CrossRef]
- Pérez-Sánchez, J.; Estensoro, I.; Redondo, M.J.; Calduch-Giner, J.A.; Kaushik, S.; Sitjà-Bobadilla, A. Mucins as diagnostic and prognostic biomarkers in a fish-parasite model: Transcriptional and functional analysis. PLoS ONE 2013, 8, e65457. [Google Scholar] [CrossRef]
- Ahmed, F.; Soliman, F.M.; Adly, M.A.; Soliman, H.A.M.; El-Matbouli, M.; Saleh, M. Dietary chitosan nanoparticles: Potential role in modulation of rainbow trout (Oncorhynchus mykiss) antibacterial defense and intestinal immunity against enteric redmouth disease. Mar. Drugs. 2021, 2, 72. [Google Scholar] [CrossRef]
- Adamek, M.; Hazerli, D.; Matras, M.; Teitge, F.; Reichert, M.; Steinhagen, D. Viral infections in common carp lead to a disturbance of mucin expression in mucosal tissues. Fish Shellfish Immunol. 2017, 71, 353–358. [Google Scholar] [CrossRef] [PubMed]
- Taheri Mirghaed, A.; Yarahmadi, P.; Soltani, M.; Paknejad, H.; Kheirabadi, E.P. Beneficial effects of a sodium butyrate source on growth performance, intestinal bacterial communities, digestive enzymes, immune responses and disease resistance in rainbow trout (Oncorhynchus mykiss). Surv. Fish. Sci. 2022, 8, 1–15. [Google Scholar] [CrossRef]
- Gao, C.; Fu, Q.; Zhou, S.; Song, L.; Ren, Y.; Dong, X.; Su, B.; Li, C. The mucosal expression signatures of g-type lysozyme in turbot (Scophthalmus maximus) following bacterial challenge. Fish Shellfish Immunol. 2016, 54, 612–619. [Google Scholar] [CrossRef] [PubMed]
- Saurabh, S.; Sahoo, P. Lysozyme: An important defence molecule of fish innate immune system. Aquac. Res. 2008, 39, 223–239. [Google Scholar] [CrossRef]
- Li, S.; Heng, X.; Guo, L.; Lessing, D.J.; Chu, W. SCFAs improve disease resistance via modulate gut microbiota, enhance immune response and increase antioxidative capacity in the host. Fish Shellfish Immunol. 2022, 120, 560–568. [Google Scholar] [CrossRef]
Disclaimer/Publisher’s Note: The statements, opinions and data contained in all publications are solely those of the individual author(s) and contributor(s) and not of MDPI and/or the editor(s). MDPI and/or the editor(s) disclaim responsibility for any injury to people or property resulting from any ideas, methods, instructions or products referred to in the content. |
© 2023 by the authors. Licensee MDPI, Basel, Switzerland. This article is an open access article distributed under the terms and conditions of the Creative Commons Attribution (CC BY) license (https://creativecommons.org/licenses/by/4.0/).



