Serum Protein Concentration and Serum Protein Fractions in Bottlenose Dolphins (Tursiops truncatus) under Human Care Using Agarose Gel Electrophoresis
Abstract
Simple Summary
Abstract
1. Introduction
2. Materials and Methods
2.1. Agarose Gel Electrophoresis
2.2. Total Protein
2.3. Data Analysis
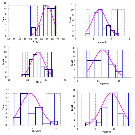
3. Results
4. Discussion
5. Conclusions
Author Contributions
Funding
Institutional Review Board Statement
Informed Consent Statement
Data Availability Statement
Conflicts of Interest
References
- Stockham, S.; Scott, M.A. Proteins. In Fundamentals of Veterinary Clinical Pathology, 2nd ed.; Stockham, S., Scott, M.A., Eds.; Blackwell Publishing: Oxford, UK, 2008; pp. 370–405. [Google Scholar]
 - Bossuyt, P.M.; Reitsma, J.B.; Bruns, D.E.; Gatsonis, C.A.; Glasziou, P.P.; Irwig, L.M.; Lijmer, J.G.; Moher, D.; Rennie, D.; de Vet, H.C.W. Towards complete and accurate reporting of studies of diagnostic accuracy: The STARD initiative. Vet. Clin. Pathol. 2007, 36, 8–12. [Google Scholar] [CrossRef]
 - Roudiere, L.; Boularan, A.M.; Bonardet, A.; Vallat, C.; Cristol, J.P.; Dupuy, A.M. Evaluation of a capillary zone electrophoresis system versus a conventional agarose gel system for routine serum protein separation and monoclonal component typing. Clin. Lab. 2006, 52, 19–27. [Google Scholar] [PubMed]
 - Abate, O.; Zanatta, R.; Malisano, T.; Dotta, U. Canine serum protein patterns using high-resolution electrophoresis (HRE). Vet. J. 2000, 159, 154–160. [Google Scholar] [CrossRef] [PubMed]
 - Robeck, T.R.; Nollens, H.H. Hematological and serum biochemical analytes reflect physiological challenges during gestation and lactation in killer whales (Orcinus orca). Zoo Biol. 2013, 32, 497–509. [Google Scholar] [CrossRef]
 - Tryland, M.; Brun, E. Serum chemistry of the minke whale from the northeastern Atlantic. J. Wildl. Dis. 2001, 37, 332–341. [Google Scholar] [CrossRef]
 - St. Aubin, D.J.; Forney, K.A.; Chivers, S.J.; Scott, M.D.; Danil, K.; Romano, T.A.; Wells, R.S.; Gulland, F.M.D. Hematological, serum, and plasma chemical constituents in pantropical spotted dolphins (Stenella attenuata) following chase, encirclement, and tagging. Mar. Mammal Sci. 2013, 29, 14–35. [Google Scholar] [CrossRef]
 - Tryland, M.; Thoresen, S.I.; Kovacs, K.M.; Lydersen, C. Serum chemistry of free-ranging white whales (Delphinapterus leucas) in Svalbard. Vet. Clin. Pathol. 2006, 35, 199–203. [Google Scholar] [CrossRef]
 - Greig, D.J.; Gulland, F.M.D.; Rios, C.A.; Hall, A.J. Hematology and serum chemistry in stranded and wild-caught harbor seals in central California: Reference intervals, predictors of survival, and parameters affecting blood variables. J. Wildl. Dis. 2010, 46, 1172–1184. [Google Scholar] [CrossRef]
 - Tryland, M.; Lydersen, C.; Kovacs, K.M.; Thoresen, S.I. Serum chemistry reference values in free-ranging north Atlantic male walruses (Odobenus rosmarus rosmarus) from the Svalbard archipelago. Vet. Clin. Pathol. 2009, 38, 501–506. [Google Scholar] [CrossRef]
 - Geffré, A.; Friedrichs, K.; Harr, K.; Concordet, D.; Trumel, C.; Braun, J.P. Reference values: A review. Vet. Clin. Pathol. 2009, 38, 288–298. [Google Scholar] [CrossRef]
 - Schwacke, L.H.; Hall, A.J.; Townsend, F.I.; Wells, R.S.; Hansen, L.J.; Hohn, A.A.; Bossart, G.D.; Fair, P.A.; Rowles, T.K. Hematologic and serum biochemical reference intervals for free-ranging common bottlenose dolphins (Tursiops truncatus) and variation in the istributions of clinicopathological valus related to geographic sampling site. Am. J. Vet. Res. 2009, 70, 973–985. [Google Scholar] [CrossRef] [PubMed]
 - Gili, C.; Bonsembiante, F.; Bonanni, R.; Giordano, A.; Ledda, S.; Beffagna, G.; Paltrinieri, S.; Sommer, M.; Gelain, M.E. Detection of hereditary bisalbuminemia in bottlenose dolphins (Tursiops truncatus, Montagu 1821): Comparison between capillary zone and agarose gel electrophoresis. BMC Vet. Res. 2016, 12, 172. [Google Scholar] [CrossRef] [PubMed]
 - Flower, J.E.; Langan, J.N.; Wells, R.S.; Cray, C.; Arheart, K.; Chinnadurai, S.K.; Adkesson, M.J. Serum acute-phase proteins in bottlenose dolphins (Tursiops truncatus) and correlation with commonly utilized inflammatory indices. J. Zoo Wildl. Med. 2020, 51, 657–662. [Google Scholar] [CrossRef] [PubMed]
 - Giordano, A.; Paltrinieri, S. Interpretation of capillary zone electrophoresis compared with cellulose acetate and agarose gel electrophoresis: Reference intervals and diagnostic efficiency in dogs and cats. Vet. Clin. Pathol. 2010, 39, 464–473. [Google Scholar] [CrossRef] [PubMed]
 - Geffré, A.; Concordet, D.; Braun, J.P.; Trumel, C. Reference Value Advisor: A new freeware set of macroinstructions to calculate reference intervals with Microsoft Excel. Vet. Clin. Pathol. 2011, 40, 107–112. [Google Scholar] [CrossRef]
 - Friedrichs, K.R.; Harr, K.E.; Freeman, K.P.; Szladovits, B.; Walton, R.M.; Barnhart, K.F.; Blanco-Chavez, J. ASVCP reference interval guidelines: Determination of de novo reference intervals in veterinary species and other related topics. Vet. Clin. Pathol. 2012, 41, 441–453. [Google Scholar] [CrossRef]
 - Cray, C. Protein electrophoresis of non-traditional species: A review. Vet. Clin. Pathol. 2021, 50, 478–494. [Google Scholar] [CrossRef] [PubMed]
 - Levin, M. Marine Mammal Immunology. In CRC Handbook of Marine Mammal Medicine, 3rd ed.; Galland, F.M.D., Dierauf, L.A., Whitman, K.L., Eds.; CRC Press: Boca Raton, FL, USA, 2018; pp. 209–229. [Google Scholar]
 - Johnson, H.L.; Chiou, C.C.; Cho, C.T. Applications of acute phase reactants in infectious diseases. J. Microbiol. Immunol. Infect. 1999, 32, 73–82. [Google Scholar]
 - Cray, C.; Zaias, J.; Altman, N.H. Acute phase response in animals: A review. Comp. Med. 2009, 59, 517–526. [Google Scholar]
 - Profeta, F.; Di Francesco, C.E.; Marsilio, F.; Mignone, W.; Di Nocera, F.; De Carlo, E.; Lucifora, G.; Pietroluongo, G.; Baffoni, M.; Cocumelli, C.; et al. Retrospective seroepidemiological investigations against Morbillivirus, Toxoplasma gondii and Brucella spp. in Cetaceans stranded along the Italian coastline (1998–2014). Res. Vet. Sci. 2015, 101, 89–92. [Google Scholar] [CrossRef]
 - Gelain, M.E.; Bonsembiante, F. Acute phase proteins in marine mammals: State of art, perspectives and challenges. Front. Immunol. 2019, 10, 1220. [Google Scholar] [CrossRef] [PubMed]
 - Bossuyt, X.; Lissoir, B.; Mariën, G.; Maisin, D.; Vunckx, J.; Blanckaert, N.; Wallemacq, P. Automated serum protein electrophoresis by Capillarys. Clin. Chem. Lab. Med. 2003, 41, 704–710. [Google Scholar] [CrossRef] [PubMed]
 - Jabeen, R.; Payne, D.; Wiktorowicz, J.; Mohammad, A.; Petersen, J. Capillary electrophoresis and the clinical laboratory. Electrophoresis 2006, 27, 2413–2438. [Google Scholar] [CrossRef] [PubMed]
 - Gili, C.; Bonsembiante, F.; Beffagna, G.; Mazzariol, S.; Gelain, M.E. Mutations and polymorphism in albumin gene of bottlenose dolphin (Tursiops truncatus, Montagu 1821): First identification of mutations responsible of inherited bisalbuminemia. Res. Vet. Sci. 2017, 114, 12–17. [Google Scholar] [CrossRef] [PubMed]
 - Zaias, J.; Bossart, G.D.; Cray, C. Comparison of agarose gel electrophoresis and capillary zone electrophoresis methods using serum from bottlenose dolphins (Tursiops truncatus). Aquat. Mamm. 2021, 47, 146–152. [Google Scholar] [CrossRef]
 - Crivellente, F.; Bonato, M.; Cristofori, P. Analysis of mouse, rat, dog, marmoset, and human serum proteins by capillary electrophoresis: Comparison with agarose gel electrophoresis. Vet. Clin. Pathol. 2008, 37, 73–78. [Google Scholar] [CrossRef]
 - Allender, M.C.; Junge, R.E.; Baker-Wylie, S.; Hileman, E.T.; Faust, L.J.; Cray, C. Plasma electrophoretic profiles in the eastern Massasauga (Sistrurus catenatus) and influences of age, sex, year, location, and snake fungal disease. J. Zoo Wildl. Med. 2015, 46, 767–773. [Google Scholar] [CrossRef]
 - Flower, J.E.; Byrd, J.; Cray, C.; Allender, M.C. Plasma electrophoretic profiles and hemoglobin binding protein reference intervals in the eastern box turtle (Terrapene carolina carolina) and influences of age, sex, season, and location. J. Zoo Wildl. Med. 2014, 45, 836–842. [Google Scholar] [CrossRef]
 - Wernick, M.B.; Martin-Jurado, O.; Beaufrère, H.; Howard, J.; Samour, J. Serum protein electrophoresis reference values in the gyrfalcon (Falco rusticolus). Comp. Clin. Path. 2018, 27, 493–497. [Google Scholar] [CrossRef]
 - Freeman, K.P.; Baral, R.M.; Dhand, N.K.; Nielsen, S.S.; Jensen, A.L. Recommendations for designing and conducting veterinary clinical pathology biologic variation studies. Vet. Clin. Pathol. 2017, 46, 211–220. [Google Scholar] [CrossRef]
 



| Animal | Age (Years) | Sex | 
|---|---|---|
| 1 | 36 | f | 
| 2 | 1 | f | 
| 3 | 32 | f | 
| 4 | 20 | f | 
| 5 | 29 | f | 
| 6 | 38 | f | 
| 7 | 6 | f | 
| 8 | 13 | f | 
| 9 | 18 | f | 
| 10 | 19 | f | 
| 11 | 17 | f | 
| 12 | 35 | f | 
| 13 | 29 | f | 
| 14 | 17 | f | 
| 15 | 20 | f | 
| 16 | 51 | f | 
| 17 | 2 | f | 
| 18 | 12 | f | 
| 19 | 12 | f | 
| 20 | 17 | m | 
| 21 | 31 | m | 
| 22 | 22 | m | 
| 23 | 8 | m | 
| 24 | 11 | m | 
| 25 | 18 | m | 
| 26 | 5 | m | 
| 27 | 5 | m | 
| 28 | 4 | m | 
| 29 | n.a. | m | 
| 30 | n.a. | m | 
| 31 | 12 | m | 
| 32 | 21 | m | 
| 33 | 1 | m | 
| 34 | 18 | m | 
| 35 | 22 | m | 
| 36 | 16 | m | 
| 37 | 15 | m | 
| 38 | 4 | m | 
| 39 | 23 | m | 
| 40 | 41 | m | 
| Intra-Assay CV (%) | Inter-Assay CV (%) | |
|---|---|---|
| Albumin | 1.2 (60.9 ± 0.73) | 2.5 (64.13 ± 1.6) | 
| α-globulins | 2.9 (14.1 ± 0.4) | 5.7 (12.0 ± 0.7) | 
| β-globulins | 3.8 (9.1 ± 0.4) | 4.0 (8.6 ± 0.3) | 
| γ-globulins | 3.4 (15.9 ± 0.5) | 4.8 (15.4 ± 0.7) | 
| Mean | Median | SD | Min | Max | LRL 90% CI  | URL 90% CI  | Out | Distribution | |
|---|---|---|---|---|---|---|---|---|---|
| TP (g/L) | 65.0 | 67.0 | 5.0 | 51.0 | 74.0 | 54.0 (36.0–57.0) | 74.0 (72.0–75.0) | 2S | BOX-COX transformed | 
| Albumin (g/L)  | 45.0 | 45.0 | 4.0 | 37.0 | 54.0 | 37.0 (35.0–39.0) | 53.0 (52.0–55.0) | 0 | Untransformed | 
| α-globulins (g/L)  | 8.0 | 8.0 | 1.0 | 5.0 | 11.0 | 5.0 (5.0–6.0) | 11.0 (10.0–12.0) | 1S | BOX-COX transformed | 
| β-globulins (g/L)  | 5.0 | 5.0 | 2.0 | 3.0 | 9.0 | 2.0 (1.0–3.0) | 8.0 (7.0–9.0) | 0 | Untransformed | 
| γ-globulins (g/L)  | 7.0 | 7.0 | 2.0 | 0.0 | 11.0 | 2.0 (1.0–4.0) | 11.0 (10.0–12.0) | 1S | BOX-COX transformed | 
| Albumin (%)  | 69.5 | 69.6 | 3.4 | 61 | 77.3 | 62.3 (60.8–63.7) | 76.4 (74.5–78.2) | 1S | Untransformed robust method | 
| α-globulins (%)  | 12.0 | 12.1 | 2.1 | 8.3 | 16.8 | 7.6 (6.6–8.5) | 16.4 (15.3–17.4) | 0 | Untransformed | 
| β-globulins (%)  | 7.6 | 6.9 | 2.1 | 3.9 | 13.5 | 4.2 (3.7–4.7) | 12.6 (11.3–14.4) | 1S | BOX-COX transformed | 
| γ-globulins (%)  | 11.2 | 11.3 | 2.6 | 4.2 | 15.9 | 6.1 (4.9–7.5) | 16.8 (15.4–18) | 1R, 1S | Untransformed robust method | 
| Total globulins (g/L)  | 19.9 | 20.0 | 3.1 | 12.2 | 26.8 | 13.4 (11.7–15.1) | 25.8 (24.5–27.1) | 1S | BOX-COX transformed | 
| Albumin /globulins ratio | 2.3 | 2.3 | 0.4 | 1.6 | 3.4 | 1.7 (1.6–1.8) | 3.3 (3.0–3.7) | 1S | BOX-COX transformed | 
| Female (18) | Male (20) | |||||||
|---|---|---|---|---|---|---|---|---|
| Mean ± SD | Median | Min | Max | Mean ± SD | Median | Min | Max | |
| TP (g/L) | 65.77 ± 4.89 | 67.30 | 53.40 | 72.00 | 64.66 ± 5.67 | 64.85 | 50.80 | 72.70 | 
| Albumin | 45.70 ± 4.26 | 45.36 | 37.60 | 54.10 | 44.79 ± 3.63 | 44.74 | 36.90 | 50.20 | 
| (g/L) | ||||||||
| α-globulins | 7.51 ± 1.19 | 7.80 | 5.40 | 9.20 | 8.06 ± 1.56 | 7.85 | 5.30 | 11.40 | 
| (g/L) | ||||||||
| β-globulins | 5.06 ± 1.72 | 4.65 | 2.80 | 9.30 | 4.87 ± 1.32 | 4.78 | 2.60 | 7.00 | 
| (g/L) | ||||||||
| γ-globulins | 7.37 ± 1.69 | 7.30 | 4.20 | 11.00 | 6.93 ± 2.49 | 6.65 | 0.30 | 11.30 | 
| (g/L) | ||||||||
| Albumin | 69.65 ± 3.85 | 69.75 | 61.00 | 77.30 | 69.40 ± 3.10 | 68.80 | 64.60 | 76.00 | 
| (%) | ||||||||
| α-globulins | 11.47 ± 1.89 | 11.95 | 8.30 | 13.90 | 12.46 ± 2.25 | 12.05 | 9.30 | 16.80 | 
| (%) | ||||||||
| β-globulins | 7.65 ± 2.30 | 7.05 | 4.50 | 13.50 | 7.54 ± 1.91 | 6.90 | 3.90 | 10.80 | 
| (%) | ||||||||
| γ-globulins | 11.25 ± 2.41 | 11.25 | 6.1 | 15.9 | 11.11 ± 2.79 | 12.30 | 4.20 | 15.60 | 
| (%) | ||||||||
| Total globulins | 19.95 ± 3.00 | 19.1 | 15.1 | 26.8 | 19.87 ± 3.08 | 20.35 | 12.2 | 23.97 | 
| (g/dL) | ||||||||
| Albumin/globulins ratio | 2.34 ± 0.43 | 2.30 | 1.56 | 3.40 | 2.30 ± 0.36 | 2.20 | 1.82 | 3.16 | 
Disclaimer/Publisher’s Note: The statements, opinions and data contained in all publications are solely those of the individual author(s) and contributor(s) and not of MDPI and/or the editor(s). MDPI and/or the editor(s) disclaim responsibility for any injury to people or property resulting from any ideas, methods, instructions or products referred to in the content.  | 
© 2023 by the authors. Licensee MDPI, Basel, Switzerland. This article is an open access article distributed under the terms and conditions of the Creative Commons Attribution (CC BY) license (https://creativecommons.org/licenses/by/4.0/).
Share and Cite
Bonsembiante, F.; Giordano, A.; Gili, C.; Mazzariol, S.; Berlanda, M.; Guglielmini, C.; Bedin, S.; Gelain, M.E. Serum Protein Concentration and Serum Protein Fractions in Bottlenose Dolphins (Tursiops truncatus) under Human Care Using Agarose Gel Electrophoresis. Animals 2023, 13, 1745. https://doi.org/10.3390/ani13111745
Bonsembiante F, Giordano A, Gili C, Mazzariol S, Berlanda M, Guglielmini C, Bedin S, Gelain ME. Serum Protein Concentration and Serum Protein Fractions in Bottlenose Dolphins (Tursiops truncatus) under Human Care Using Agarose Gel Electrophoresis. Animals. 2023; 13(11):1745. https://doi.org/10.3390/ani13111745
Chicago/Turabian StyleBonsembiante, Federico, Alessia Giordano, Claudia Gili, Sandro Mazzariol, Michele Berlanda, Carlo Guglielmini, Silvia Bedin, and Maria Elena Gelain. 2023. "Serum Protein Concentration and Serum Protein Fractions in Bottlenose Dolphins (Tursiops truncatus) under Human Care Using Agarose Gel Electrophoresis" Animals 13, no. 11: 1745. https://doi.org/10.3390/ani13111745
APA StyleBonsembiante, F., Giordano, A., Gili, C., Mazzariol, S., Berlanda, M., Guglielmini, C., Bedin, S., & Gelain, M. E. (2023). Serum Protein Concentration and Serum Protein Fractions in Bottlenose Dolphins (Tursiops truncatus) under Human Care Using Agarose Gel Electrophoresis. Animals, 13(11), 1745. https://doi.org/10.3390/ani13111745
        
