Effects of Stocking Density on the Growth Performance, Physiological Parameters, Antioxidant Status and Lipid Metabolism of Pelteobagrus fulvidraco in the Integrated Rice-Fish Farming System
Abstract
Simple Summary
Abstract
1. Introduction
2. Materials and Methods
2.1. Fish and Experimental Design
2.2. Samples Collection
2.3. Water Quality Analysis
2.4. Growth Parameters Analysis
2.5. Serum Physiological Parameters Analysis
2.6. Antioxidant Status Analysis
2.7. Gene Expression Analysis
| Gene | F: Primer Sequence (5′-3′) | R: Primer Sequence (5′-3′) |
|---|---|---|
| β-actin [52] | GTACCACCATGTACCCTGGC | GTGCCTTTCATTCAGCCACC |
| lpl [56] | GACCAGAGAGATGATGCCGT | TAGCTTAGCTGGCTCTTGCTG |
| pparα [57] | CGAGGATGGGATGCTGGTG | CGTCTGGGTGGTTCGTCTGC |
| cpt-1 [57] | ATTTGAAGAAGCACCCAGAGTATGT | CCCTTTTATGGACGGAGACAGA |
| srebp-1 [57] | CTGGGTCATCGCTTCTTTGTG | TCCTTCGTTGGAGCTTTTGTCT |
| gapdh [53] | CACTGCCACCCAGAAGACA | AGGGACACGGAAAGCCAT |
| 18s rRNA [54] | CCTGAGAAACGGCTACCACATCC | AGCAACTTTAATATACGCTATTGGAG |
2.8. Statistical Analysis
3. Results
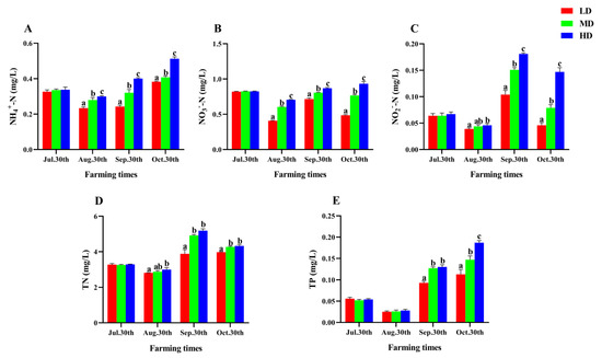
3.1. Change of Water Quality Parameters
3.2. Change of Growth Performance
3.3. Change of Stress Indices
3.4. Change of Lipid Metabolism
3.5. Change of Immune Function
3.6. Change of Antioxidant Status
3.7. Change of Liver Gene Expression
4. Discussion
4.1. Effect of Stocking Density on Water Quality
4.2. Effect of Stocking Density on Growth Performance
4.3. Effect of Stocking Density on Stress Response
4.4. Effect of Stocking Density on Lipid Metabolism
4.5. Effect of Stocking Density on Immune Performance
4.6. Effect of Stocking Density on Antioxidative Status
5. Conclusions
Supplementary Materials
Author Contributions
Funding
Institutional Review Board Statement
Informed Consent Statement
Data Availability Statement
Conflicts of Interest
References
- Ahmad, A.L.; Chin, J.Y.; Mohd Harun, M.H.Z.; Low, S.C. Environmental impacts and imperative technologies towards sustainable treatment of aquaculture wastewater: A review. J. Water Process Eng. 2022, 46, 102553. [Google Scholar] [CrossRef]
- Wang, S.; Hu, H.; Xiong, X.; Gao, Z. Promotion of genetic improvement to world aquaculture development. J. Fish. China 2023, 47, 27–38. [Google Scholar]
- Cao, J.; Sang, F. Thinking on Theory, Model and Evaluation Method of Aquaculture Green Development. Ecol. Econ. 2020, 36, 101–106. [Google Scholar]
- Boyd, C.E.; D’Abramo, L.R.; Glencross, B.D.; Huyben, D.C.; Juarez, L.M.; Lockwood, G.S.; McNevin, A.A.; Tacon, A.G.J.; Teletchea, F.; Tomasso, J.R.; et al. Achieving sustainable aquaculture: Historical and current perspectives and future needs and challenges. J. World Aquac. Soc. 2020, 51, 578–633. [Google Scholar] [CrossRef]
- Zhang, K.; Peng, H.; Xia, Y.; Gong, W.; Li, Z.; Yu, E.; Tian, J.; Wang, G.; Xie, J. Evaluating ecological mechanisms and optimization strategy of rice–fish co–culture system by ecosystem approach. Aquaculture 2022, 560, 738561. [Google Scholar] [CrossRef]
- Haroon, A.K.Y.; Pittman, K.A. Rice-fish culture: Feeding, growth and yield of two size classes of Puntius gonionotus Bleeker and Oreochromis spp. in Bangladesh. Aquaculture 1997, 154, 261–281. [Google Scholar] [CrossRef]
- Liu, D.; Tang, R.; Xie, J.; Tian, J.; Shi, R.; Zhang, K. Valuation of ecosystem services of rice–fish coculture systems in Ruyuan County, China. Ecosyst. Serv. 2020, 41, 101054. [Google Scholar] [CrossRef]
- Dwiyana, E.; Mendoza, T.C. Comparative Productivity, Profitability and Efficiency of Rice Monoculture and Rice-Fish Culture Systems. J. Sustain. Agric. 2006, 29, 145–166. [Google Scholar] [CrossRef]
- Zhang, J.; Hu, L.; Ren, W.; Guo, L.; Wu, M.; Tang, J.; Chen, X. Effects of fish on field resource utilization and rice growth in rice-fish coculture. Chin. J. Appl. Ecol. 2017, 28, 299–307. [Google Scholar] [CrossRef]
- Guan, W.; Liu, K.; Shi, W.; Xuan, F.; Wang, W. Scientific paradigm of integrated farming of rice and fish. Acta Ecol. Sin. 2020, 40, 5451–5464. [Google Scholar]
- Vromant, N.; Chau, N. Overall effect of rice biomass and fish on the aquatic ecology of experimental rice plots. Agric. Ecosyst. Environ. 2005, 111, 153–165. [Google Scholar] [CrossRef]
- Ye, Y.; Ren, W.; Zhang, S.; Zhao, L.; Tang, J.; Hu, L.; Chen, X. Genetic Diversity of Fish in Aquaculture and of Common Carp (Cyprinus carpio) in Traditional Rice–Fish Coculture. Agriculture 2022, 12, 997. [Google Scholar] [CrossRef]
- Jia, R.; Wang, L.; Hou, Y.; Feng, W.; Li, B.; Zhu, J. Effects of Stocking Density on the Growth Performance, Physiological Parameters, Redox Status and Lipid Metabolism of Micropterus salmoides in Integrated Rice-Fish Farming Systems. Antioxidants 2022, 11, 1215. [Google Scholar] [CrossRef] [PubMed]
- Hossain, M.A.; Mridha, M.A.R.; Shah, A.K.M.A.; Nahiduzzaman, M.; Uddin, M.S. Performance of mono-sex tilapia (Oreochromis niloticus) in rice field with different ditch size. Aquac. Res. 2015, 46, 1891–1901. [Google Scholar] [CrossRef]
- Yuan, P.; Wang, J.; Chen, S.; Guo, Y.; Cao, C. Certified rice–crayfish as an alternative farming modality in waterlogged land in the Jianghan Plain region of China. Agron. J. 2021, 113, 4568–4580. [Google Scholar] [CrossRef]
- Wang, X.; Zheng, R.; Zhang, D.; Lei, X.; Wang, S.; Wan, J.; Liu, H.; Chen, Y.; Zhao, Y.; Wang, G.; et al. Effects of different stocking densities on growth performance, nutritional quality and economic benefit of juvenile female Chinese mitten crab (Eriocheir sinensis) in rice-crab culture systems. Aquaculture 2022, 553, 738111. [Google Scholar] [CrossRef]
- Liu, B.; Jia, R.; Zhao, K.; Wang, G.; Lei, J.; Huang, B. Stocking density effects on growth and stress response of juvenile turbot (Scophthalmus maximus) reared in land-based recirculating aquaculture system. Acta Oceanol. Sin. 2016, 36, 31–38. [Google Scholar] [CrossRef]
- Dai, L.; Li, J.; Peng, X.; Yang, Q.; Xu, Q.; Dou, Z.; Gao, H. Effects of Stocking Density on Rice Yield, Rice Quality and Ecological Environment in the Coculture of Rice and Aquatic (poultry) Animals. China Rice 2023, 29, 55–59. [Google Scholar]
- Mridha, M.A.R.; Hossain, M.A.; Azad Shah, A.K.M.; Uddin, M.S.; Nahiduzzaman, M. Effects of Stocking Density on Production and Economics of All-Male Tilapia (Oreochromis niloticus) Culture in a Rain Fed Rice-Fish Ecosystem. J. Appl. Aquac. 2014, 26, 60–70. [Google Scholar] [CrossRef]
- Hazrat Ali, M.; Mateo, L.G.; Aragon, M.L. Effect of stocking density on growth and yield of GIFT tilapia under rice-fish production system. Bangladesh J. Fish 2006, 10, 35–39. [Google Scholar]
- Zhou, X.; Xiang, X.; Zhang, W.; Wang, L.; Peng, Y.; Qi, L. Study on the Growth Performance of Rice Flower Fish with Different Stocking Density. Contemp. Aquac. 2023, 48, 78–79. [Google Scholar]
- Zeng, T.; Zhao, H.; Long, S.; Yang, T.; Li, L.; Liu, Y.; Peng, T.; Hou, Z.; Fan, D.; Xiong, Y.; et al. Effects of Fry Release Density on Growth and Economic Benefit of Rice and Fish in Main Rice growing Areas in Guizhou. Guizhou Agric. Sci. 2020, 48, 102–106. [Google Scholar]
- Yuan, Q.; Qian, J.; Ren, Y.; Zhang, T.; Li, Z.; Liu, J. Effects of stocking density and water temperature on survival and growth of the juvenile Chinese mitten crab, Eriocheir sinensis, reared under laboratory conditions. Aquaculture 2018, 495, 631–636. [Google Scholar] [CrossRef]
- Song, Z.; Wen, H.; Li, J.; Ni, M.; Zhang, M.; Bu, Y.; Ren, Y.; Ding, H.; Lai, C.; Liu, C. The influence of stocking density on the growth performance of juvenile Russian sturgeon( Acipenser gueldenstaedti) in flowing water cultivation. J. Fish. China 2014, 38, 835–842. [Google Scholar]
- Dong, Y.; Jia, R.; Hou, Y.; Diao, W.; Li, B.; Zhu, J. Effects of stocking density on the growth performance, mitophagy, endocytosis and metabolism of Cherax quadricarinatus in integrated rice–crayfish farming systems. Front. Physiol. 2022, 13, 1040712. [Google Scholar] [CrossRef]
- Shourbela, R.M.; El-Hawarry, W.N.; Elfadadny, M.R.; Dawood, M.A.O. Oregano essential oil enhanced the growth performance, immunity, and antioxidative status of Nile tilapia (Oreochromis niloticus) reared under intensive systems. Aquaculture 2021, 542, 736868. [Google Scholar] [CrossRef]
- Apún-Molina, J.P.; Robles-Romo, A.; Alvarez-Ruiz, P.; Santamaria-Miranda, A.; Arjona, O.; Racotta, I.S. Influence of stocking density and exposure to white spot syndrome virus in biological performance, metabolic, immune, and bioenergetics response of whiteleg shrimp Litopenaeus vannamei. Aquaculture 2017, 479, 528–537. [Google Scholar] [CrossRef]
- Bureau of Fisheries of the Ministry of Agriculture and Rural Affairs. 2021 China Fishery Statistical Yearbook; National Bureau of Statistics of China, Ed.; China Statistics Press: Beijing, China, 2021. [Google Scholar]
- Bureau of Fisheries of the Ministry of Agriculture and Rural Affairs. 2022 China Fishery Statistical Yearbook; National Bureau of Statistics of China, Ed.; China Statistics Press: Beijing, China, 2022. [Google Scholar]
- Chen, W.; Wang, Y.; Han, D.; Han, D.; Zhu, X.; Xie, S.; Long, F.; Jia, J.; Hu, Q. Effects of dietary supplementation with filamentous microalgae (Oedocladium sp. or Tribonema ultriculosum) on growth performance, fillet fatty acid composition, skin pigmentation, and immune response of yellow catfish (Pelteobagrus fulvidraco). J. World Aquac. Soc. 2021, 52, 1273–1289. [Google Scholar] [CrossRef]
- Wang, Y.; Xu, G.; Nie, Z.; Shao, N.; Li, Q.; Xu, P. Growth Performance of Bluntnose Black Bream, Channel Catfish, Yellow Catfish, and Largemouth Bass Reared in the In-Pond Raceway Recirculating Culture System. N. Am. J. Aquac. 2019, 81, 153–159. [Google Scholar] [CrossRef]
- Griffin, M.J.; Ware, C.; Rosser, T.G.; Woodyard, E.T.; Mischke, C.C.; Byars, T.S.; Wise, D.J. Monoculture of ♀ channel (Ictalurus punctatus) × ♂ blue (I. furcatus) hybrid catfish mitigates proliferative gill disease caused by Henneguya ictaluri (Cnidaria: Myxobolidae) in catfish aquaculture ponds. J. World Aquac. Soc. 2020, 51, 729–739. [Google Scholar] [CrossRef]
- Bao, H.; Fang, Y.; Jiang, L. Experiment on the suitable stocking density for healthy culture of Pelteobagrus fulvidraco in pond. Mod. Agric. Sci. Technol. 2013, 9, 259–260. [Google Scholar]
- Mao, G.; Tang, Y. Pond aquaculture techniques for Pelteobagrus fulvidraco. Fish. Guidetobe Rich 2021, 4, 55–57. [Google Scholar]
- Chen, T. Artificial propagation and cage culture technology of Pelteobagrus fulvidraco. Anim. Breed. Feed 2017, 10, 43–44. [Google Scholar] [CrossRef]
- Hao, H.; Zhang, H. Techniques for cage culture of Pelteobagrus fulvidraco. Mod. Agric. Sci. Technol. 2010, 12, 294–296. [Google Scholar]
- Yao, Q.; Yan, S.; Guo, Q.; Hu, B.; Lin, Q. Effect of Stocking Density on Growth Performance and Parameters of Pelteobagrus vachelli Juveniles. Fujian J. Agric. Sci. 2018, 33, 670–675. [Google Scholar] [CrossRef]
- LU, M.; Gan, H.; Chen, T.; Lu, X.; Ruan, Z.; Zhu, J.; Huang, G.; Li, J.; Ma, H. Comparison of Growth Performance and Muscle Quality of Yellow Catfish (Pseudobagrus vachelli) Cultured in Rice Fields and Ponds. Chin. J. Fish. 2022, 35, 75–81. [Google Scholar]
- Ji, L.; Zhen, G.; Wang, Y.; Tang, Y. Techniques for raising Pelteobagrus fulvidraco in rice fields. Jiangxi Fish. Sci. Technol. 2013, 133, 35–36. [Google Scholar]
- Wang, W. Six techniques for healthy culture of Pelteobagrus fulvidraco. New Ctry. 2019, 5, 28–29. [Google Scholar]
- Zhang, K.; Wang, G.; Gong, W.; Yu, E.-M.; Li, Z.-F.; Xia, Y.; Tian, J.; Xie, J. Study on environment of zero-water exchange culture pond of Ctenopharyngodon idella, Hypothalmichthys nobilis and Carassius auratus. Freshw. Fish. 2022, 43, 188–198. [Google Scholar] [CrossRef]
- Huang, F.; Tang, Q.; Liang, P.; Xiao, L. Improvement of the ammonium molybdate spectrophotometric method for phosphorus monitoring in freshwater. J. Lake Sci. 2016, 28, 1404–1410. [Google Scholar]
- Smart, M.M.; Rada, R.G.; Donnermeyer, G.N. Determination of total nitrogen in sediments and plants using persulfate digestion. An evaluation and comparison with the Kjeldahl procedure. Water Res. 1983, 17, 1207–1211. [Google Scholar] [CrossRef]
- Wu, H.Z.; Cao, A. Preparation and Adding Methods of Nessler’s Reagent Having Effects on Determination of Water Quality Ammonia Nitrogen. Adv. Mater. Res. 2013, 726–731, 1362–1366. [Google Scholar] [CrossRef]
- Lo, H.S.; Lo, K.W.; Yeung, C.F.; Wong, C.Y. Rapid visual and spectrophotometric nitrite detection by cyclometalated ruthenium complex. Anal. Chim. Acta 2017, 990, 135–140. [Google Scholar] [CrossRef] [PubMed]
- Noyes, H.A. Accurate Determination of Soil Nitrates by Phenol Disulfonic Acid Method. J. Ind. Eng. Chem. 2002, 11, 213–218. [Google Scholar] [CrossRef]
- Kate, K.; Waters, S.M.; Kelly, A.K.; Wylie, A.R.; Kenny, D.A. Effect of feed restriction and subsequent re-alimentation on hormones and genes of the somatotropic axis in cattle. Physiol. Genom. 2015, 47, 264–273. [Google Scholar]
- Fang, H.; Wu, Y.; Guo, J.; Rong, J.; Ma, L.; Zhao, Z.; Zuo, D.; Peng, S. T-2 toxin induces apoptosis in differentiated murine embryonic stem cells through reactive oxygen species-mediated mitochondrial pathway. Apoptosis 2012, 17, 895–907. [Google Scholar] [CrossRef]
- Mou, F.; Yang, J.; Liu, C.; Liu, C.; Liu, M.; Chen, J.; Zu, Y.; Wang, J. Effects of sulfur on the characteristics of sulfur-containing compounds and Pb accumulation in Arabis alpina L. var. parviflora Franch. J. Agro Environ. Sci. 2021, 40, 1851–1859. [Google Scholar]
- Liu, J.; Liu, H.; Fan, Y.; Tang, X.; Wang, X.; Wang, Y.; Gai, C.; Haibin, Y. Effects of acute nitrite stress on oxidative stress, energy metabolism and osmotic regulation of Penaeus monodon. J. Fish. China 2023, 47, 049604. [Google Scholar]
- Aursnes, I.A.; Rishovd, A.L.; Karlsen, H.E.; Gjøen, T. Validation of reference genes for quantitative RT-qPCR studies of gene expression in Atlantic cod (Gadus morhua l.) during temperature stres. BMC Res. Notes 2011, 4, 104. [Google Scholar] [CrossRef]
- Guo, J.; Pu, Y.; Zhong, L.; Wang, K.; Duan, X.; Chen, D. Lead impaired immune function and tissue integrity in yellow catfish (Peltobargus fulvidraco) by mediating oxidative stress, inflammatory response and apoptosis. Ecotoxicol. Environ. Saf. 2021, 226, 112857. [Google Scholar] [CrossRef]
- Song, Y.F.; Luo, Z.; Huang, C.; Chen, Q.L.; Pan, Y.X.; Xu, Y.H. Endoplasmic Reticulum Stress-Related Genes in Yellow Catfish Pelteobagrus fulvidraco: Molecular Characterization, Tissue Expression, and Expression Responses to Dietary Copper Deficiency and Excess. G3 2015, 5, 2091–2104. [Google Scholar] [CrossRef] [PubMed]
- Chen, Q.L.; Luo, Z.; Shi, X.; Wu, K.; Zhuo, M.Q.; Song, Y.F.; Hu, W. Dietary methimazole-induced hypothyroidism reduces hepatic lipid deposition by down-regulating lipogenesis and up-regulating lipolysis in Pelteobagrus fulvidraco. Gen. Comp. Endocrinol. 2015, 217–218, 28–36. [Google Scholar] [CrossRef] [PubMed]
- Livak, K.J.; Schmittgen, T.D. Analysis of Relative Gene Expression Data Using RealTime Quantitative PCR and the 2−ΔΔCt Method. Methods 2001, 25, 402–408. [Google Scholar] [CrossRef] [PubMed]
- Zhao, H.; Wang, G.; Wang, H.; Mo, W.; Huang, Y.; Cao, J.; Li, P. Effects of dietary sodium butyrate on growth, digestive enzymes, body composition and nutrient retention-related gene expression of juvenile yellow catfish (Pelteobagrus fulvidraco). Anim. Nutr. 2021, 7, 539–547. [Google Scholar] [CrossRef]
- Liu, J.; Zhang, M.; Li, M.; Xie, Y.; Qian, Y.; Wang, R. Effects of Starvation and Re-Feeding on Enzyme Activities and Gene Expression Involved in Liver Lipid Metabolism of Yellow Catfish (Pelteobagrus fulvidraco) under Ammonia Nitrogen Stress. Chin. Anim. Nutr. 2021, 33, 436–447. [Google Scholar]
- Lima, P.C.M.; Silva, A.E.M.; Silva, D.A.; Silva, S.M.B.C.; Brito, L.O.; Gálvez, A.O. Effect of stocking density of Crassostrea sp. in a multitrophic biofloc system with Litopenaeus vannamei in nursery. Aquaculture 2021, 530, 735913. [Google Scholar] [CrossRef]
- Nga, B.T.; Lürling, M.; Peeters, E.T.H.M.; Roijackers, R.; Scheffer, M.; Nghia, T.T. Chemical and physical effects of crowding on growth and survival of Penaeus monodon Fabricius post-larvae. Aquaculture 2005, 246, 455–465. [Google Scholar] [CrossRef]
- Lu, J.; Li, S.; He, X.; Tang, R.; Li, D. An in-pond tank culture system for high-intensive fish production: Effect of stocking density on growth of grass carp (Ctenopharyngodon idella Valenciennes, 1844) and blunt snout bream(Megalobrama amblycephala Yih, 1955). Aquaculture 2022, 549, 737808. [Google Scholar] [CrossRef]
- Liu, J.; Zhao, Z.; Luo, L.; Wang, S.; Zhang, R.; Guo, K.; Bai, Q.; Li, H.; Li, M. Effects of different crab stocking density on production performance and environmental factors under integrated cultivation of rice crab in the cold area. Freshw. Fish. 2022, 52, 89–97. [Google Scholar] [CrossRef]
- Feng, J.; Li, F.; Zhou, X.; Xu, C.; Fang, F. Nutrient removal ability and economical benefit of a rice-fish co-culture system in aquaculture pond. Ecol. Eng. 2016, 94, 315–319. [Google Scholar] [CrossRef]
- Mabaya, G.; Unami, K.; Yoshioka, H.; Takeuchi, J.; Fujihara, M. Robust optimal diversion of agricultural drainage water from tea plantations to paddy fields during rice growing seasons and non-rice growing seasons. Paddy Water Environ. 2015, 14, 247–258. [Google Scholar] [CrossRef]
- Nakasone, H. Runoff water quality characteristics in a small agriculture watershed. Paddy Water Environ. 2003, 1, 183–188. [Google Scholar] [CrossRef]
- Xiao, X.; Zhu, W.; Xiao, L.; Liu, C.; Deng, Y.; Wang, J. Effects of Water and Fertilizer Management on Root Characteristics and Nitrogen, Phosphorous and Potassium Uptakes of Rice at Tillering Stage. Chin. J. Soil Sci. 2016, 47, 903–908. [Google Scholar] [CrossRef]
- Yoon, K.S.; Cho, J.Y.; Choi, J.K.; Son, J.G. Water management and N, P losses from paddy fields in southern Korea. J. Am. Water Resour. Assoc. 2006, 42, 1205–1216. [Google Scholar] [CrossRef]
- Head, M.A.; Oleszkiewicz, J.A. Bioaugmentation with nitrifying bacteria acclimated to different temperatures. J. Environ. Eng. 2005, 131, 1046–1051. [Google Scholar] [CrossRef]
- Hoseini, S.M.; Taheri Mirghaed, A.; Ghelichpour, M. Effects of dietary tryptophan levels and fish stocking density on immunological and antioxidant responses and bactericidal activity against Aeromonas hydrophilain rainbow trout (Oncorhynchus mykiss). Aquac. Res. 2020, 51, 1455–1463. [Google Scholar] [CrossRef]
- Karnatak, G.; Das, B.K.; Mishal, P.; Tayung, T.; Kumari, S.; Sarkar, U.K.; Das, A.K.; Ali, Y. Impact of stocking density on growth, feed utilization and survival of cage reared minor carp, Labeo bata (Hamilton, 1822) in Maithon reservoir, India. Aquaculture 2021, 532, 736078. [Google Scholar] [CrossRef]
- Debnath, C.; Dube, K.; Saharan, N.; Tiwari, V.K.; Datta, M.; Sahoo, L.; Yadav, G.S.; Das, P. Growth and production of endangered Indian butter catfish, Ompok bimaculatus (Bloch) at different stocking densities in earthen ponds. Aquac. Res. 2016, 47, 3265–3275. [Google Scholar] [CrossRef]
- Barcellos, L.J.G.; Nicolaiewsky, S.; Souza, S.M.G.D.; Lulhier, F. The effects of stocking density and social interaction on acute stress response in nile tilapia Oreochromis niloticus (L.) ngerlings. Aquac. Res. 1999, 30, 887–892. [Google Scholar] [CrossRef]
- Jobling, M. Physiological and social constraints on growth of fish with special reference to Arctic charr, Salvelinus alpinus L. Aquaculture 1985, 44, 83–90. [Google Scholar] [CrossRef]
- Yamagishi, H.; Maruyama, T.; Mashiko, K. Social relation in a small experimental population of Odontobutis obscurus (Temminck et Schlegel) as related to individual growth and food intake. Oecologia 1974, 17, 187–202. [Google Scholar] [CrossRef] [PubMed]
- Wickins, J.F. Growth variability in individually confined elvers, Anguilla anguilla (L.). J. Fish Biol. 1985, 27, 469–478. [Google Scholar] [CrossRef]
- Wu, X.; Ma, H.; Gao, S.; Chen, Y.; Lin, S. Physiological Responses of Hybrid Snakehead (Channa maculata × C. argus) to Different Stocking Densities. Fish. Sci. 2017, 36, 557–562. [Google Scholar] [CrossRef]
- Irwin, S.; O’Halloran, J.; FitzGerald, R. Stocking density, growth and growth variation in juvenile turbot, Scophthalmus maximus (Rafinesque). Aquaculture 1999, 178, 78–88. [Google Scholar] [CrossRef]
- Nhan, D.T.; Tu, N.P.C.; Tu, N.V. Comparison of growth performance, survival rate and economic efficiency of Asian seabass (Lates calcarifer) intensively cultured in earthen ponds with high densities. Aquaculture 2022, 554, 738151. [Google Scholar] [CrossRef]
- Li, D.; Liu, Z.; Xie, C. Effect of stocking density on growth and serum concentrations of thyroid hormones and cortisol in Amur sturgeon, Acipenser schrenckii. Fish Physiol. Biochem. 2012, 38, 511–520. [Google Scholar] [CrossRef]
- Tolussi, C.E.; Hilsdorf, A.W.S.; Caneppele, D.; Moreira, R.G. The effects of stocking density in physiological parameters and growth of the endangered teleost species piabanha, Brycon insignis (Steindachner, 1877). Aquaculture 2010, 310, 221–228. [Google Scholar] [CrossRef]
- Cao, Y.; Li, E.; Chen, L.; Long, L.; Cui, C.; Du, Z.; Sun, S.; Li, M. Effects of Stocking density on growth, physiological and immune responses in Juvenile Russian Sturgeon. Acta Hydrobiol. Sin. 2014, 38, 968–974. [Google Scholar]
- Wang, X.; Fang, X.; Peng, S.; Wang, Q.; Shi, Z. Impact of abrupt salinity changes on activitiy of metabolic enzymes, antioxidant enzymes and cortisol content in serum and liver of Lateolabrax maculatus. Mar. Fish. 2021, 43, 340–349. [Google Scholar] [CrossRef]
- Vijayan, M.M.; Leatherland, J.F. High stocking density affects cortisol secretion and tissue distribution in brook charr, Salvelinus fontinalis. Endocrinology 1990, 124, 311–318. [Google Scholar] [CrossRef]
- Ran, F.; Jin, W.; Huang, S.; Liu, C.; Li, Z.; Li, C. Research progress on the effects of salinity change on fish. J. Northwest A F Univ. Nat. Sci. Ed. 2020, 48, 10–18. [Google Scholar] [CrossRef]
- Chen, W.; Zhang, S.; Xu, Y.; Sun, Y.; Song, L.; Tian, B.; Liu, T. Effects of stocking density on the growth performance, physiological response and intestinal microbiota of juvenile Echiura worms (Urechis unicinctus). Aquac. Res. 2020, 51, 3983–3992. [Google Scholar] [CrossRef]
- Bolasina, S.N. Stress response of juvenile flounder (Paralichthys orbignyanus, Valenciennes 1839), to acute and chronic stressors. Aquaculture 2011, 313, 140–143. [Google Scholar] [CrossRef]
- Gorshkov, S.; Gorshkova, G.; Ron, B. Physiological Stress Responses in Strains of the Gilthead Sea Bream (Sparus aurata). Isr. J. Aquac. Bamidgeh 2010, 62, 1–8. [Google Scholar]
- Refaey, M.M.; Li, D.; Tian, X.; Onxayvieng, K.; Tang, R. Physiological responses of channel catfish (Ictalurus punctatus) reared at different stocking densities in a recirculating aquaculture system. Aquaculture 2022, 557, 738329. [Google Scholar] [CrossRef]
- Luo, G.; Liu, G.; Tan, H.-x. Effects of stocking density and food deprivation-related stress on the physiology and growth in adult Scortum barcoo (McCulloch & Waite). Aquac. Res. 2013, 44, 885–894. [Google Scholar] [CrossRef]
- Refaey, M.M.; Li, D.; Tian, X.; Zhang, Z.; Zhang, X.; Li, L.; Tang, R. High stocking density alters growth performance, blood biochemistry, intestinal histology, and muscle quality of channel catfish Ictalurus punctatus. Aquaculture 2018, 492, 73–81. [Google Scholar] [CrossRef]
- Yu, M.; Fan, Q.; Cheng, P.; Zhang, L.; Liu, W.; Du, H. Effect of Acute Crowding Stress on Cortisol and Several Biochemical Indexes in Cyprinus carpio Serum. Freshw. Fish. 2008, 38, 20–24. [Google Scholar]
- Tian, J.-J.; Jin, Y.-Q.; Yu, E.-M.; Sun, J.-H.; Xia, Y.; Zhang, K.; Li, Z.-F.; Gong, W.-B.; Wang, G.-J.; Xie, J. Intestinal farnesoid X receptor mediates the effect of dietary berberine on lipid accumulation in grass carp (Ctenopharyngodon idella). Aquaculture 2022, 553, 738055. [Google Scholar] [CrossRef]
- Zhang, Q.; Hou, J.; Yang, J.; Liao, W.; Lu, J.; He, X. Captive density on growth performance and health status of largemouth bass (Micropterus Salmoides). Acta Ecol. Sin. 2022, 46, 671–678. [Google Scholar]
- Wang, A.; Han, G.; Qi, Z.; Lv, F.; Yu, Y.; Huang, J.; Wang, T.; Xu, P. Cloning of lipoprotein lipase (LPL) and the effects of dietary lipid levels on LPL expression in GIFT tilapia (Oreochromis niloticus). Aquac. Int. 2013, 21, 1219–1232. [Google Scholar] [CrossRef]
- Wang, A.; Yang, W.; Liu, F.; Wang, Z.; Cang, P.; Yin, X.; Yu, Y.; Qiao, G.; Ni, J. Cloning and characterization of lipoprotein lipase (LPL) and the effects of dietary lipid levels on the expression of LPL in the redlip mullet (Liza haematocheila). Aquac. Nutr. 2018, 24, 832–841. [Google Scholar] [CrossRef]
- Corcoran, J.; Winter, M.J.; Lange, A.; Cumming, R.; Owen, S.F.; Tyler, C.R. Effects of the lipid regulating drug clofibric acid on PPARalpha-regulated gene transcript levels in common carp (Cyprinus carpio) at pharmacological and environmental exposure levels. Aquat. Toxicol. 2015, 161, 127–137. [Google Scholar] [CrossRef] [PubMed]
- Han, Q.; Fan, H.; Peng, J.; Zhou, L.; Gan, L. Pleiotropic function of vitamin C on fatty acids in liver and muscle of juvenile grass carp (Ctenopharyngodon idella). Aquaculture 2019, 512, 734352. [Google Scholar] [CrossRef]
- Liao, T.; Zhang, L.; Ding, L.; Li, X.; Wu, P.; Mei, W.; Zhang, N.; Wang, P.; Zhang, L. Mitigation mechanism of Xibining decoction on pain of KOA by regulating redox homeostasis of synoviocytes through CPT1 enzyme. Med. J. Chin. People’s Lib. Army 2022, 48, 49–57. [Google Scholar]
- Dong, X.; Xu, H.; Mai, K.; Xu, W.; Zhang, Y.; Ai, Q. Cloning and characterization of SREBP-1 and PPAR-alpha in Japanese seabass Lateolabrax japonicus, and their gene expressions in response to different dietary fatty acid profiles. Comp. Biochem. Physiol. Part B Biochem. Mol. Biol. 2015, 180, 48–56. [Google Scholar] [CrossRef]
- Wu, W.; Cao, Z.; Fan, W.; Xu, J.; Wang, W.; Zhao, Y. Cloning and expression of SREBP-1 gene in Megalobrama amblycephala. J. Huazhong Agric. Univ. 2019, 38, 9–16. [Google Scholar] [CrossRef]
- Ren, Y.; Wen, H.; Li, Y.; Li, J.; He, F.; Ni, M. Effects of stocking density on lipid deposition and expression of lipid-related genes in Amur sturgeon (Acipenser schrenckii). Fish Physiol. Biochem. 2017, 43, 1707–1720. [Google Scholar] [CrossRef]
- Chen, J. Effect of Stocking Density on Lipid Accumulation and the Expression Level of Genes Related to Lipid Metabolish in Grass Carp (Ctenopharngodon idella). Master’s Degree Dissertation, Huazhong Agricultural University, Wuhan, China, 2017. [Google Scholar]
- Sun, J.L.; He, K.; Liu, Q.; Luo, J.; Wang, Y.; Zhang, D.M.; Liang, J.; Liao, L.; Yang, S.; Zhao, L.L. Inhibition of fatty acid oxidation induced by up-regulation of miR-124 and miR-205 during exposure of largemouth bass (Micropterus salmoides) to acute hypoxia. Aquaculture 2020, 529, 735679. [Google Scholar] [CrossRef]
- Liu, G.; Xu, Y.; Wei, X.; Zhong, C.; Liu, X.; Luo, Z. Long-term environmental-related tetracycline exposure on growth performance, hepatic lipid metabolish and antioxidant responses in gift tilapia (Oreochromis niloticus). Acta Ecol. Sin. 2022, 46, 1642–1648. [Google Scholar]
- Liu, Z.; Ma, A.; Yuan, C.; Zhao, T.; Chang, H.; Zhang, J. Transcriptome analysis of liver lipid metabolism disorders of the turbot Scophthalmus maximus in response to low salinity stress. Aquaculture 2021, 534, 736273. [Google Scholar] [CrossRef]
- Yusuf, A.; Huang, X.; Chen, N.; Apraku, A.; Wang, W.; Cornel, A.; Rahman, M.M. Impact of dietary vitamin c on plasma metabolites, antioxidant capacity and innate immunocompetence in juvenile largemouth bass, Micropterus salmoides. Aquac. Rep. 2020, 17, 100383. [Google Scholar] [CrossRef]
- Arends, R. The stress response of the gilthead sea bream (Sparus aurata L.) to air exposure and confinement. J. Endocrinol. 1999, 163, 149–157. [Google Scholar] [CrossRef] [PubMed]
- Hawlisch, H.; Köhl, J. Complement and Toll-like receptors: Key regulators of adaptive immune responses. Mol. Immunol. 2006, 43, 13–21. [Google Scholar] [CrossRef] [PubMed]
- Lin, J.; Yao, H. Determination and clinical significance of serum complement C4 and LDH in children with MPP. Mater. Child Health Care China 2022, 37, 3157–3160. [Google Scholar] [CrossRef]
- Wang, Z.; Xu, W.; Mai, K.; Lu, K.; Liu, Y.; Ai, Q. The effects of valine level on plasma biochemical indexes, lipid content and gene expression involved in lipid metabolism in cobia (Rachycentron canadum). Acta Ecol. Sin. 2016, 40, 744–751. [Google Scholar]
- He, Y.; Wu, J.; Chen, M.; Huang, W.; Han, K.; Li, J.; Shi, X. Development and Characterization of Mouse Polyclonal Antibodies to Serum IgM in Large Yellow Croaker Larimichthys crocea. Chin. J. Fish. 2022, 35, 32–37. [Google Scholar]
- Aksu, Ö.; Benzer, F.; Erişir, M.; Can, E.; Kutluyer, F. Influence of Stock Density on Digestive Enzyme Activity (Trypsin), Heat Shock Protein 70 (HSP70), and Oxidative Stress Biomarkers of Narrow Clawed Crayfish, Astacus leptodactylus Eschscholtz, 1823 (Decapoda, Astacidae). Crustaceana 2016, 89, 1193–1202. [Google Scholar] [CrossRef]
- Zahedi, S.; Akbarzadeh, A.; Mehrzad, J.; Noori, A.; Harsij, M. Effect of stocking density on growth performance, plasma biochemistry and muscle gene expression in rainbow trout (Oncorhynchus mykiss). Aquaculture 2019, 498, 271–278. [Google Scholar] [CrossRef]
- Abarike, E.D.; Jian, J.; Tang, J.; Cai, J.; Sakyi, E.M.; Kuebutornye, F.K. A mixture of Chinese herbs and a commercial probiotic Bacillus species improves hemato-immunological, stress, and antioxidant parameters, and expression of HSP70 and HIF-1α mRNA to hypoxia, cold, and heat stress in Nile tilapia, Oreochromis niloticus. Aquac. Rep. 2020, 18, 100438. [Google Scholar] [CrossRef]
- Liu, B.; Fei, F.; Li, X.; Wang, X.; Huang, B. Effects of stocking density on stress response, innate immune parameters, and welfare of turbot (Scophthalmus maximus). Aquac. Int. Aquac. Int. 2019, 27, 1599–1612. [Google Scholar] [CrossRef]
- Long, L.; Zhang, H.; Ni, Q.; Liu, H.; Wu, F.; Wang, X. Effects of stocking density on growth, stress, and immune responses of juvenile Chinese sturgeon (Acipenser sinensis) in a recirculating aquaculture system. Comp. Biochem. Physiol. Part C Toxicol. Pharmacol. 2019, 219, 25–34. [Google Scholar] [CrossRef] [PubMed]
- Song, Z.; Wen, H.; Zhao, Y.; Li, J.; Lai, C.; Liu, C. Effects of Stocking Density on the Non-Specific Immune Functions of Juvenile Russian Sturgeon (Acipenser gueldenstacdti) in Flowing Water Cultivation. Guangxi Sci. 2017, 24, 389–395. [Google Scholar] [CrossRef]
- Liu, T.; Wang, Q.; Chen, M. Effect of thermal stimulus on immune function and heat shock protein expression of scallop Chlamysfarreri. Period. Ocean Univ. China 2017, 47, 31–43. [Google Scholar] [CrossRef]
- Welker, T.L.; Congleton, J.L. Oxidative stress in juvenile chinook salmon, Oncorhynchus tshawytscha (Walbaum). Aquac. Res. 2004, 35, 881–887. [Google Scholar] [CrossRef]
- Adeli, M.M.; Kazempoor, R.; Shirazi, N.H. Effect of Probiotic Lactobacillus fermentum on Growth Performance, Bioaccumulation and Antioxidant Defenses of Zebrafish (Danio rerio) Under Cadmium Toxicity. Aquac. Stud. 2022, 23, AQUAST991. [Google Scholar] [CrossRef]
- Wang, Y.; Ni, J.; Nie, Z.; Gao, J.; Sun, Y.; Shao, N.; Li, Q.; Hu, J.; Xu, P.; Xu, G. Effects of stocking density on growth, serum parameters, antioxidant status, liver and intestine histology and gene expression of largemouth bass (Micropterus salmoides) farmed in the in-pond raceway system. Aquac. Res. 2020, 51, 5228–5240. [Google Scholar] [CrossRef]
- Wang, Y.W.; Zhu, J.; Ge, X.P.; Sun, S.M.; Su, Y.L.; Li, B.; Hou, Y.R.; Ren, M.C. Effects of stocking density on the growth performance, digestive enzyme activities, antioxidant resistance, and intestinal microflora of blunt snout bream (Megalobrama amblycephala) juveniles. Aquac. Res. 2018, 50, 236–246. [Google Scholar] [CrossRef]
- Yang, Q.; Guo, L.; Liu, B.-S.; Guo, H.-Y.; Zhu, K.-C.; Zhang, N.; Jiang, S.-G.; Zhang, D.-C. Effects of stocking density on the growth performance, serum biochemistry, muscle composition and HSP70 gene expression of juvenile golden pompano Trachinotus ovatus (Linnaeus, 1758). Aquaculture 2020, 518, 734841. [Google Scholar] [CrossRef]
- Braun, N.; de Lima, R.L.; Baldisserotto, B.; Dafre, A.L.; de Oliveira Nuñer, A.P. Growth, biochemical and physiological responses of Salminus brasiliensis with different stocking densities and handling. Aquaculture 2010, 301, 22–30. [Google Scholar] [CrossRef]
- Yu, J.; Wang, J.; Sun, P.; Tang, B. Physiological response of Larimichthys crocea under different stocking densities and screening of stress sensitive biomarkers. Mar. Fish. 2021, 43, 327–339. [Google Scholar] [CrossRef]
- Storey, K.B. biological research = Revista brasileira de pesquisas medicas e biologicas. Braz. J. Med. 1996, 29, 1715. [Google Scholar]
- Zhong, L.; Hu, Y.; Hu, Y.; Li, J.; Tian, Y.; Chen, J.; Ai, Q.; Xiao, T. Effects of dietary tea polyphenols on growth, immunity and lipid metabolism of juvenile black carp Mylopharyngodon piceus. Aquac. Res. 2019, 51, 569–576. [Google Scholar] [CrossRef]
- Zhou, M.; Zheng, Y.; Hu, W.; Tang, H.; Li, H.; Li, X. Effects of sulfamonomethoxine sodium on SOD activitiy and MDA content in juveniles of Megalobrama pellegrini. Freshw. Fish. 2016, 46, 55–59. [Google Scholar] [CrossRef]
- Papadimitriou, E.; Loumbourdis, N.S. Exposure of the Frog Rana ridibunda to Copper: Impact on Two Biomarkers, Lipid Peroxidation, and Glutathione. Bull. Environ. Contam. Toxicol. 2002, 69, 885–891. [Google Scholar] [CrossRef]
- Jia, R.; Liu, B.L.; Feng, W.R.; Han, C.; Huang, B.; Lei, J.L. Stress and immune responses in skin of turbot (Scophthalmus maximus) under different stocking densities. Fish Shellfish. Immunol. 2016, 55, 131–139. [Google Scholar] [CrossRef]







| Groups | WG (%) | SGR (%/d) | CF (g/cm3) | SR (%) |
|---|---|---|---|---|
| LD | 67.46 ± 2.34 b | 0.57 ± 0.01 b | 1.37 ± 0.16 | 84.01 ± 3.30 |
| MD | 62.60 ± 3.19 b | 0.54 ± 0.02 b | 1.64 ± 0.16 | 83.59 ± 2.13 |
| HD | 54.63 ± 2.53 a | 0.48 ± 0.02 a | 1.59 ± 0.14 | 81.97 ± 1.29 |
Disclaimer/Publisher’s Note: The statements, opinions and data contained in all publications are solely those of the individual author(s) and contributor(s) and not of MDPI and/or the editor(s). MDPI and/or the editor(s) disclaim responsibility for any injury to people or property resulting from any ideas, methods, instructions or products referred to in the content. |
© 2023 by the authors. Licensee MDPI, Basel, Switzerland. This article is an open access article distributed under the terms and conditions of the Creative Commons Attribution (CC BY) license (https://creativecommons.org/licenses/by/4.0/).
Share and Cite
Diao, W.; Jia, R.; Hou, Y.; Dong, Y.; Li, B.; Zhu, J. Effects of Stocking Density on the Growth Performance, Physiological Parameters, Antioxidant Status and Lipid Metabolism of Pelteobagrus fulvidraco in the Integrated Rice-Fish Farming System. Animals 2023, 13, 1721. https://doi.org/10.3390/ani13111721
Diao W, Jia R, Hou Y, Dong Y, Li B, Zhu J. Effects of Stocking Density on the Growth Performance, Physiological Parameters, Antioxidant Status and Lipid Metabolism of Pelteobagrus fulvidraco in the Integrated Rice-Fish Farming System. Animals. 2023; 13(11):1721. https://doi.org/10.3390/ani13111721
Chicago/Turabian StyleDiao, Weixu, Rui Jia, Yiran Hou, Yin Dong, Bing Li, and Jian Zhu. 2023. "Effects of Stocking Density on the Growth Performance, Physiological Parameters, Antioxidant Status and Lipid Metabolism of Pelteobagrus fulvidraco in the Integrated Rice-Fish Farming System" Animals 13, no. 11: 1721. https://doi.org/10.3390/ani13111721
APA StyleDiao, W., Jia, R., Hou, Y., Dong, Y., Li, B., & Zhu, J. (2023). Effects of Stocking Density on the Growth Performance, Physiological Parameters, Antioxidant Status and Lipid Metabolism of Pelteobagrus fulvidraco in the Integrated Rice-Fish Farming System. Animals, 13(11), 1721. https://doi.org/10.3390/ani13111721

