Evaluation of Rumen Fermentation and Microbial Adaptation to Three Red Seaweeds Using the Rumen Simulation Technique
Abstract
Simple Summary
Abstract
1. Introduction
2. Materials and Methods
2.1. Seaweed
2.2. Experimental Design and Treatments
2.3. Substrate Processing
2.4. Inoculum Sampling and Incubation Procedure
2.5. Nutrient Disappearance
2.6. Gas Production
2.7. Fermentation Variables
2.8. Elemental Analysis
2.9. Calculations and Statistical Analysis
3. Results
4. Discussion
5. Conclusions
Author Contributions
Funding
Institutional Review Board Statement
Informed Consent Statement
Data Availability Statement
Acknowledgments
Conflicts of Interest
References
- Masson-Delmotte, V.; Zhai, P.; Pirani, A.; Connors, S.L.; Péan, C.; Berger, S.; Caud, N.; Chen, Y.; Goldfarb, L.; Gomis, M. Climate Change 2021: The Physical Science Basis; Contribution of Working Group I to the Sixth Assessment Report of the Intergovernmental Panel on Climate Change; IPCC: Geneva, Switzerland, 2021; Volume 2. [Google Scholar]
- Frank, S.; Havlík, P.; Soussana, J.-F.; Levesque, A.; Valin, H.; Wollenberg, E.; Kleinwechter, U.; Fricko, O.; Gusti, M.; Herrero, M. Reducing greenhouse gas emissions in agriculture without compromising food security? Environ. Res. Lett. 2017, 12, 105004. [Google Scholar] [CrossRef]
- Beauchemin, K.A.; Ungerfeld, E.M.; Eckard, R.J.; Wang, M. Review: Fifty years of research on rumen methanogenesis: Lessons learned and future challenges for mitigation. Animals 2020, 14, s2–s16. [Google Scholar] [CrossRef]
- IPCC. Global Warming of 1.5 °C. An IPCC Special Report on the Impacts of Global Warming of 1.5 °C above Pre-Industrial Levels and Related Global Greenhouse Gas Emission Pathways, in the Context of Strengthening the Global Response to the Threat of Climate Change, Sustainable Development, and Efforts to Eradicate Poverty; Masson-Delmotte, V., Zhai, P., Pörtner, H.-O., Roberts, D., Skea, J., Shukla, P.R., Pirani, A., Moufouma-Okia, W., Péan, C., Pidcock, R., et al., Eds.; Intergovernmental Panel on Climate Change: Geneva, Switzerland, 2018. [Google Scholar]
- Abbott, D.W.; Aasen, I.M.; Beauchemin, K.A.; Grondahl, F.; Gruninger, R.; Hayes, M.; Huws, S.; Kenny, D.A.; Krizsan, S.J.; Kirwan, S.F.; et al. Seaweed and Seaweed Bioactives for Mitigation of Enteric Methane: Challenges and Opportunities. Animals 2020, 10, 2432. [Google Scholar] [CrossRef]
- McCauley, J.; Labeeuw, L.; Jaramillo-Madrid, A.; Nguyen, L.; Nghiem, L.; Chaves, A.; Ralph, P. Management of Enteric Methanogenesis in Ruminants by Algal-Derived Feed Additives. Curr. Pollut. Rep. 2020, 6. [Google Scholar] [CrossRef]
- Kinley, R.D.; Martinez-Fernandez, G.; Matthews, M.K.; de Nys, R.; Magnusson, M.; Tomkins, N.W. Mitigating the carbon footprint and improving productivity of ruminant livestock agriculture using a red seaweed. J. Clean. Prod. 2020, 259, 120836. [Google Scholar] [CrossRef]
- Terry, S.; Romero, C.; Chaves, A.; McAllister, T. Nutritional factors affecting greenhouse gas production from ruminants; implications for enteric and manure emissions. In Improving Rumen Function; Mackie, C.M.a.R., Ed.; Burleigh Dodds Science Publishing: Cambridge, UK, 2020. [Google Scholar]
- McDougall, E.I. Studies on ruminant saliva. 1. The composition and output of sheep’s saliva. Biochem. J. 1948, 43, 99. [Google Scholar] [CrossRef] [PubMed]
- Association of Official Analytical Chemists. Official Methods of Analysis of AOAC International, 16th ed.; AOAC International: Arlington, WA, USA, 1995. [Google Scholar]
- O’Hara, E.; Terry, S.A.; Moote, P.; Beauchemin, K.A.; McAllister, T.A.; Abbott, D.W.; Gruninger, R.J. Comparative analysis of macroalgae supplementation on the rumen microbial community: Asparagopsis taxiformis inhibits major ruminal methanogenic, fibrolytic, and volatile fatty acid-producing microbes in vitro. Front. Microbiol 2023, 14. [Google Scholar] [CrossRef]
- Van Soest, P.J.; Robertson, J.B.; Lewis, B.A. Methods for Dietary Fiber, Neutral Detergent Fiber, and Nonstarch Polysaccharides in Relation to Animal Nutrition. J. Dairy Sci. 1991, 74, 3583–3597. [Google Scholar] [CrossRef]
- Association of Official Analytical Chemists. Official Methods of Analysis of AOAC International, 18th ed.; AOAC International: Gaithersburg, MD, USA, 2005. [Google Scholar]
- Broderick, G.A.; Kang, J.H. Automated Simultaneous Determination of Ammonia and Total Amino Acids in Ruminal Fluid and In Vitro Media. J. Dairy Sci. 1980, 63, 64–75. [Google Scholar] [CrossRef] [PubMed]
- Association of Official Analytical Chemists. Official Methods of Analysis of AOAC International, 17th ed.; AOAC International: Gaithersburg, MD, USA, 2000. [Google Scholar]
- Li, X.; Norman, H.C.; Kinley, R.D.; Laurence, M.; Wilmot, M.; Bender, H.; de Nys, R.; Tomkins, N. Asparagopsis taxiformis decreases enteric methane production from sheep. Anim. Prod. Sci. 2018, 58, 681–688. [Google Scholar] [CrossRef]
- Machado, L.; Magnusson, M.; Paul, N.; Kinley, R.; de Nys, R.; Tomkins, N. Dose-response effects of Asparagopsis taxiformis and Oedogonium sp. on in vitro fermentation and methane production. J. Appl. Phycol. 2015, 28, 1443–1452. [Google Scholar] [CrossRef]
- Roque, B.M.; Brooke, C.G.; Ladau, J.; Polley, T.; Marsh, L.J.; Najafi, N.; Pandey, P.; Singh, L.; Kinley, R.; Salwen, J.K.; et al. Effect of the macroalgae Asparagopsis taxiformis on methane production and rumen microbiome assemblage. Anim. Microbiome 2019, 1, 3. [Google Scholar] [CrossRef] [PubMed]
- Roque, B.M.; Salwen, J.K.; Kinley, R.; Kebreab, E. Inclusion of Asparagopsis armata in lactating dairy cows’ diet reduces enteric methane emission by over 50 percent. J. Clean. Prod. 2019, 234, 132–138. [Google Scholar] [CrossRef]
- Mateos, I.; Ranilla, M.J.; Saro, C.; Carro, M.D. Shifts in microbial populations in Rusitec fermenters as affected by the type of diet and impact of the method for estimating microbial growth (15N v. microbial DNA). Animals 2017, 11, 1939–1948. [Google Scholar] [CrossRef] [PubMed]
- Andries, J.I.; Buysse, F.X.; De Brabander, D.L.; Cottyn, B.G. Isoacids in ruminant nutrition: Their role in ruminal and intermediary metabolism and possible influences on performances—A review. Anim. Feed Sci. Technol. 1987, 18, 169–180. [Google Scholar] [CrossRef]
- Firkins, J.L. Invited Review: Advances in rumen efficiency. Appl. Anim. Sci. 2021, 37, 388–403. [Google Scholar] [CrossRef]
- Chung, Y.-H.; Walker, N.; McGinn, S.; Beauchemin, K. Differing effects of 2 active dried yeast (Saccharomyces cerevisiae) strains on ruminal acidosis and methane production in nonlactating dairy cows. J. Dairy Sci. 2011, 94, 2431–2439. [Google Scholar] [CrossRef]
- Martínez-Fernández, G.; Abecia, L.; Arco, A.; Cantalapiedra-Hijar, G.; Martín-García, A.I.; Molina-Alcaide, E.; Kindermann, M.; Duval, S.; Yáñez-Ruiz, D.R. Effects of ethyl-3-nitrooxy propionate and 3-nitrooxypropanol on ruminal fermentation, microbial abundance, and methane emissions in sheep. J. Dairy Sci. 2014, 97, 3790–3799. [Google Scholar] [CrossRef]
- Guyader, J.; Ungerfeld, E.M.; Beauchemin, K.A. Redirection of Metabolic Hydrogen by Inhibiting Methanogenesis in the Rumen Simulation Technique (RUSITEC). Front. Microbiol. 2017, 8, 393. [Google Scholar] [CrossRef]
- Ungerfeld, E.M. Shifts in metabolic hydrogen sinks in the methanogenesis-inhibited ruminal fermentation: A meta-analysis. Front. Microbiol. 2015, 6, 37. [Google Scholar] [CrossRef]
- Johnson, K.A.; Johnson, D.E. Methane emissions from cattle. J. Anim. Sci. 1995, 73, 2483–2492. [Google Scholar] [CrossRef] [PubMed]






| Ingredient | DM, % | OM, %DM | CP, %DM | NDF, %DM | EE, %DM | Bromoform, %DM | 
|---|---|---|---|---|---|---|
| Barley silage | 92.5 | 90.9 | 10.7 | 45.2 | 2.91 | - | 
| Barley straw | 96.8 | 91.8 | 5.04 | 77.7 | 1.57 | - | 
| Asparagopsis taxiformis | 96.2 | 52.6 | 18.4 | 50.3 | 0.37 | 0.517 | 
| Mazzaella japonica | 19.9 | 71.3 | 20.7 | 66.9 | 0.43 | ND | 
| Palmaria mollis | 12.4 | 61.2 | 21.5 | 35.6 | 0.34 | ND | 
| Unit (mg/kg) | Asparagopsis taxiformis | Mazzaella japonica | Palmaria mollis | 
|---|---|---|---|
| Macro-minerals | |||
| Ca | 37,397 | 4486 | 2626 | 
| K | 14,397 | 26,432 | 108,198 | 
| Mg | 7012 | 9815 | 4143 | 
| Na | 56,641 | 56,936 | 28,389 | 
| P | 1671 | 3022 | 4186 | 
| S | 19,149 | 77,430 | 8782 | 
| Trace elements | |||
| Al | 7893.4 | 57.7 | 254.3 | 
| B | 121.9 | 69.4 | 254.6 | 
| Co | 2.5 | <1.0 | <1.0 | 
| Cr | 22.8 | 7.8 | 4.5 | 
| Cu | 4.8 | 1.0 | 2.3 | 
| Fe | 5934 | 314 | 588 | 
| I | 2580 | 15.7 | 58.1 | 
| Mn | 93.6 | 14.2 | 13.6 | 
| Mo | 2.1 | 1.0 | 0.5 | 
| Sb | <5.0 | <5.0 | <5.0 | 
| Se | <10.0 | <10.0 | <10.0 | 
| Zn | 24.3 | 23.2 | 25.9 | 
| Toxic heavy metals | |||
| As | 16.1 | 9.7 | 9.7 | 
| Ba | 9.2 | 0.3 | 0.9 | 
| Cd | <0.5 | 1.0 | 2.2 | 
| Hg | <10.0 | <10.0 | <10.0 | 
| Pb | <2.5 | <2.5 | <2.5 | 
| TI | <10.0 | <10.0 | <10.0 | 
| Control | Asparagopsis taxiformis | Mazzaella japonica | Palmaria mollis | SEM | Treat | Phase | T × P | |
|---|---|---|---|---|---|---|---|---|
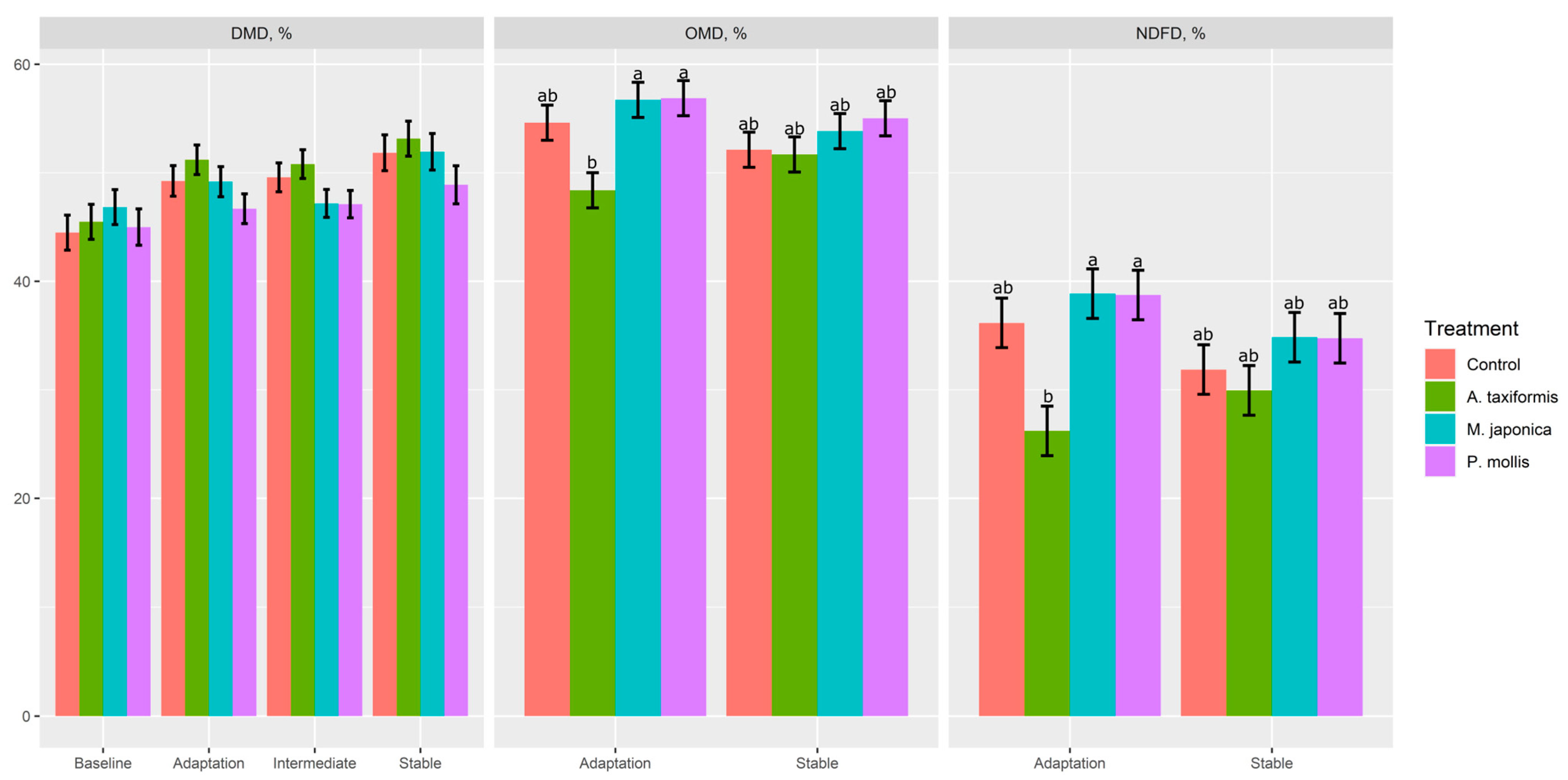
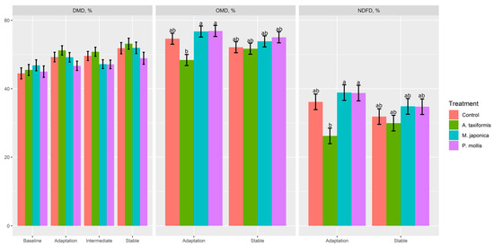
| DMD, % | 48.8 ab | 51.2 a | 48.8 ab | 46.9 b | 0.78 | <0.01 | <0.001 | 0.20 | 
| OMD, % | 53.4 | 50.0 | 55.3 | 55.9 | 1.44 | 0.05 | 0.21 | 0.04 | 
| CPD, % | 72.5 | 70.8 | 71.6 | 72.7 | 0.65 | 0.17 | 0.12 | 0.43 | 
| NDFD, % | 34.0 | 28.1 | 36.8 | 36.7 | 2.04 | 0.03 | 0.06 | 0.05 | 
| Effluent, mL | 648.1 ab | 633.4 b | 645.1 ab | 650.4 a | 4.23 | 0.03 | 0.03 | 0.08 | 
| pH | 6.9 | 6.9 | 6.9 | 6.9 | 0.01 | 0.91 | <0.001 | 0.36 | 
| VFA, mol/100 mol | ||||||||
| Acetate | 53.8 a | 49.3 b | 53.5 a | 54.1 a | 0.60 | <0.001 | <0.001 | 0.26 | 
| Propionate | 26.2 | 21.7 | 25.9 | 26.4 | 0.33 | <0.001 | <0.001 | <0.001 | 
| Butyrate | 13.0 b | 16.8 a | 13.2 b | 12.6 b | 0.56 | <0.001 | <0.001 | 0.12 | 
| BCVFA | 1.22 | 1.63 | 1.21 | 1.27 | 0.021 | <0.001 | <0.001 | <0.001 | 
| Caproate | 0.64 | 1.75 | 0.69 | 0.65 | 0.080 | <0.001 | <0.001 | <0.001 | 
| Valerate | 5.15 | 7.72 | 5.24 | 4.84 | 0.422 | <0.001 | <0.001 | <0.001 | 
| Total VFA, mmol/d | 64.3 | 59.7 | 65.5 | 66.5 | 2.14 | 0.16 | 0.01 | 0.01 | 
| A:P | 2.08 | 2.29 | 2.04 | 2.06 | 0.034 | <0.001 | <0.001 | <0.001 | 
| NH3, mmol/d | 3.31 | 3.16 | 3.28 | 3.40 | 0.087 | 0.30 | <0.001 | 0.58 | 
| Control | Asparagopsis taxiformis | Mazzaella japonica | Palmaria mollis | SEM | Treat | Phase | T × P | |
|---|---|---|---|---|---|---|---|---|
| Gas, mL/d | 1450.2 | 1436.2 | 1523.8 | 1649.7 | 115.03 | 0.55 | <0.001 | 0.61 | 
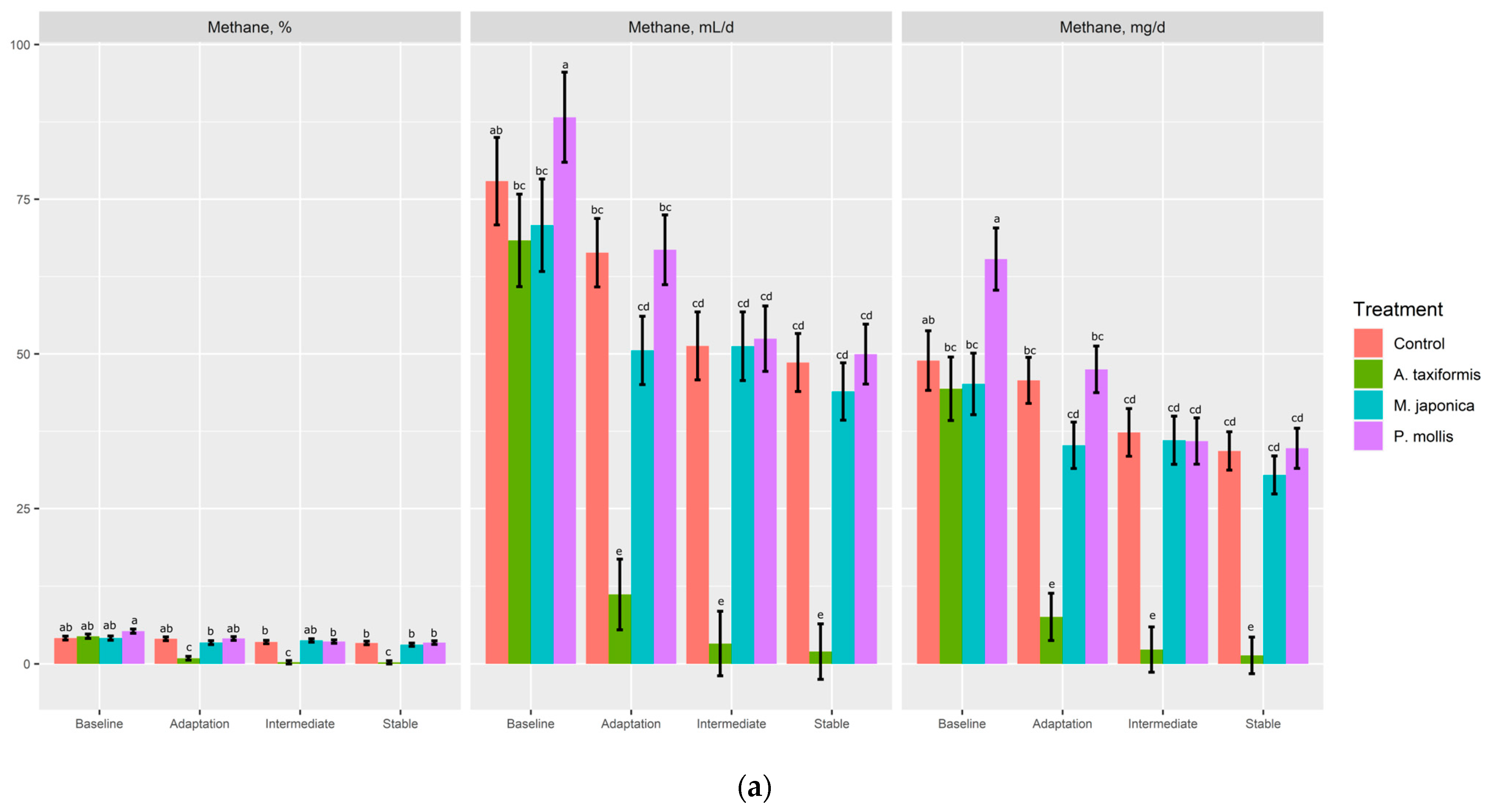
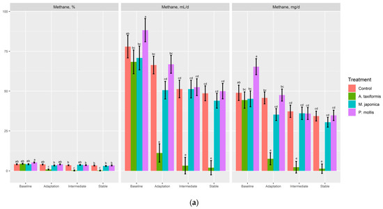
| CH4, % | 3.75 | 1.45 | 3.60 | 4.08 | 0.238 | <0.001 | <0.001 | <0.001 | 
| CH4, mL/d | 59.0 | 20.2 | 51.8 | 65.9 | 4.59 | <0.001 | <0.001 | <0.001 | 
| CH4, mg/d | 41.6 | 13.9 | 36.7 | 45.9 | 3.06 | <0.001 | <0.001 | <0.001 | 
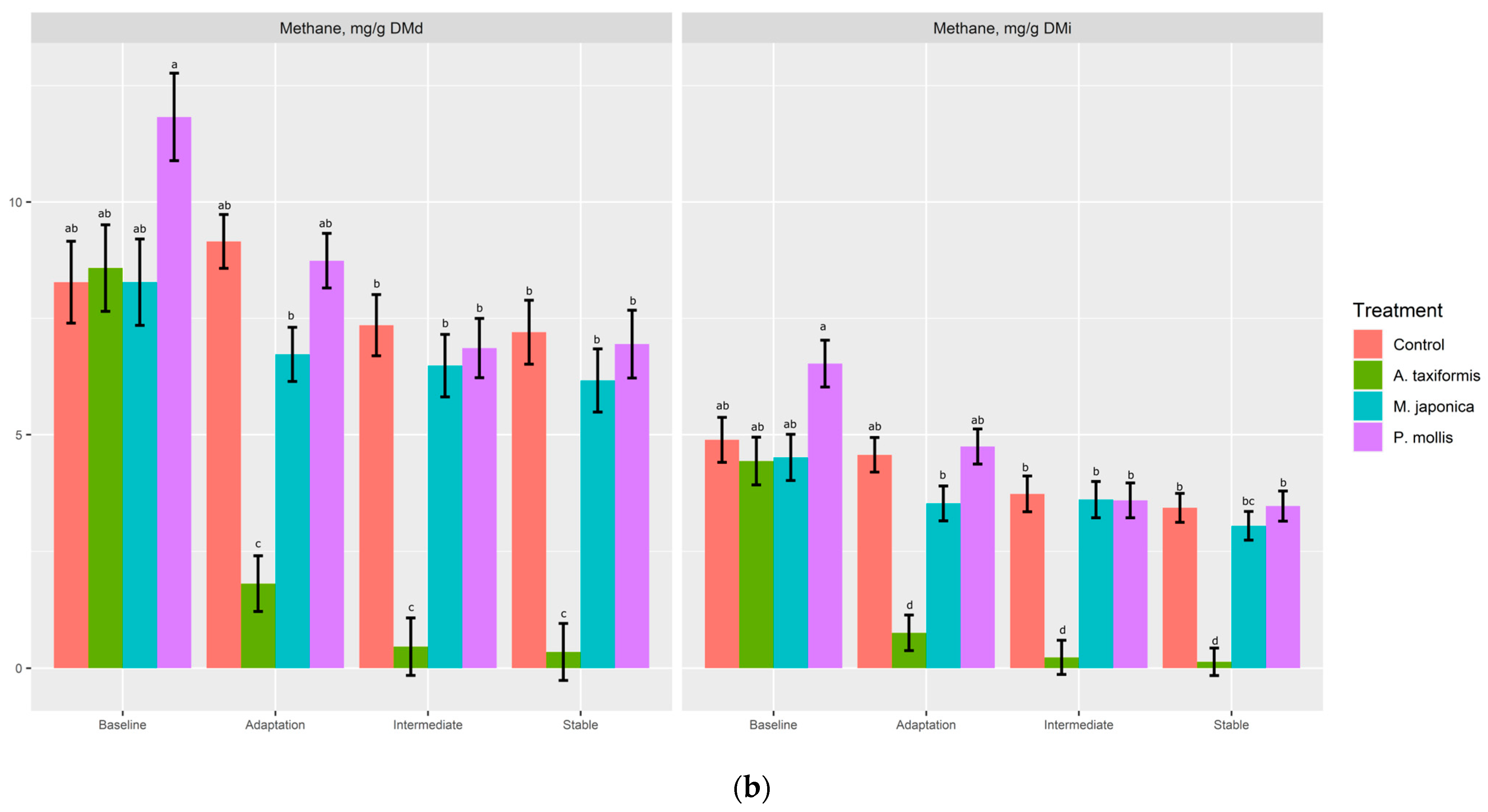
| CH4, mg/g DMd | 8.00 | 2.80 | 6.91 | 8.59 | 0.450 | <0.001 | <0.001 | <0.001 | 
| CH4, mg/g DMi | 4.15 | 1.39 | 3.67 | 4.58 | 0.306 | <0.001 | <0.001 | <0.001 | 
| CO2, % | 27.7 ab | 25.0 b | 26.2 ab | 29.8 a | 1.12 | 0.05 | <0.001 | 0.24 | 
| CO2, mL/d | 416.7 ab | 317.1 b | 386.3 ab | 474.8 a | 26.55 | 0.01 | <0.001 | 0.50 | 
| H2, % | 0.48 | 1.90 | 0.55 | 0.49 | 0.053 | <0.001 | 0.06 | <0.001 | 
| H2, mL/d | 8.08 | 24.52 | 8.32 | 8.06 | 1.086 | <0.001 | 0.72 | <0.001 | 
| Disclaimer/Publisher’s Note: The statements, opinions and data contained in all publications are solely those of the individual author(s) and contributor(s) and not of MDPI and/or the editor(s). MDPI and/or the editor(s) disclaim responsibility for any injury to people or property resulting from any ideas, methods, instructions or products referred to in the content. | 
© 2023 by the authors. Licensee MDPI, Basel, Switzerland. This article is an open access article distributed under the terms and conditions of the Creative Commons Attribution (CC BY) license (https://creativecommons.org/licenses/by/4.0/).
Share and Cite
Terry, S.A.; Krüger, A.M.; Lima, P.M.T.; Gruninger, R.J.; Abbott, D.W.; Beauchemin, K.A. Evaluation of Rumen Fermentation and Microbial Adaptation to Three Red Seaweeds Using the Rumen Simulation Technique. Animals 2023, 13, 1643. https://doi.org/10.3390/ani13101643
Terry SA, Krüger AM, Lima PMT, Gruninger RJ, Abbott DW, Beauchemin KA. Evaluation of Rumen Fermentation and Microbial Adaptation to Three Red Seaweeds Using the Rumen Simulation Technique. Animals. 2023; 13(10):1643. https://doi.org/10.3390/ani13101643
Chicago/Turabian StyleTerry, Stephanie A., Ana M. Krüger, Paulo M. T. Lima, Robert J. Gruninger, D. Wade Abbott, and Karen A. Beauchemin. 2023. "Evaluation of Rumen Fermentation and Microbial Adaptation to Three Red Seaweeds Using the Rumen Simulation Technique" Animals 13, no. 10: 1643. https://doi.org/10.3390/ani13101643
APA StyleTerry, S. A., Krüger, A. M., Lima, P. M. T., Gruninger, R. J., Abbott, D. W., & Beauchemin, K. A. (2023). Evaluation of Rumen Fermentation and Microbial Adaptation to Three Red Seaweeds Using the Rumen Simulation Technique. Animals, 13(10), 1643. https://doi.org/10.3390/ani13101643
 
        


 
       