Physiological Responses of the Bivalves Mytilus galloprovincialis and Ruditapes decussatus Following Exposure to Phenanthrene: Toxicokinetics, Dynamics and Biomarkers Study
Abstract
Simple Summary
Abstract
1. Introduction
2. Material and Methods
2.1. Bivalve Sampling and Experimental Set-Up
2.2. Contamination
2.3. Biometric Study
- -
- Length (L): the longest dimension from the dorsal to the ventral edge;
- -
- Width (W): the longest dimension from the anterior to the posterior edge;
- -
- Thickness (T): the longest dimension given by the convexity of both valves when gathered;
- -
- Total Fresh Mass (TFM): the mass of a living individual with the shell cleaned of mud and water;
- -
- Fresh Chair Mass (FCM): the mass of drained fresh visceral mass on filter paper;
- -
- The Fresh Shell Mass (FSM): the mass of fresh wiped shell.
2.4. Stress on Stress
2.5. Enzymatic Biomarkers
2.5.1. Sample Preparation for Total Protein Dosages
2.5.2. Biochemical Analyses
2.6. Dosage of Phenanthrene in Sediment and Water
2.7. In Silico Analyses Analyses: Bioavailability, Toxicokinetics and Toxicodynamics
2.8. Statistical Analyses
3. Results
3.1. Concentrations of Phenanthrene
3.2. Biometric Study
3.2.1. Mytilus galloprovincialis
3.2.2. Ruditapes decussatus
3.3. Stress on Stress
3.3.1. Mytilus galloprovincialis
3.3.2. Ruditapes decussatus
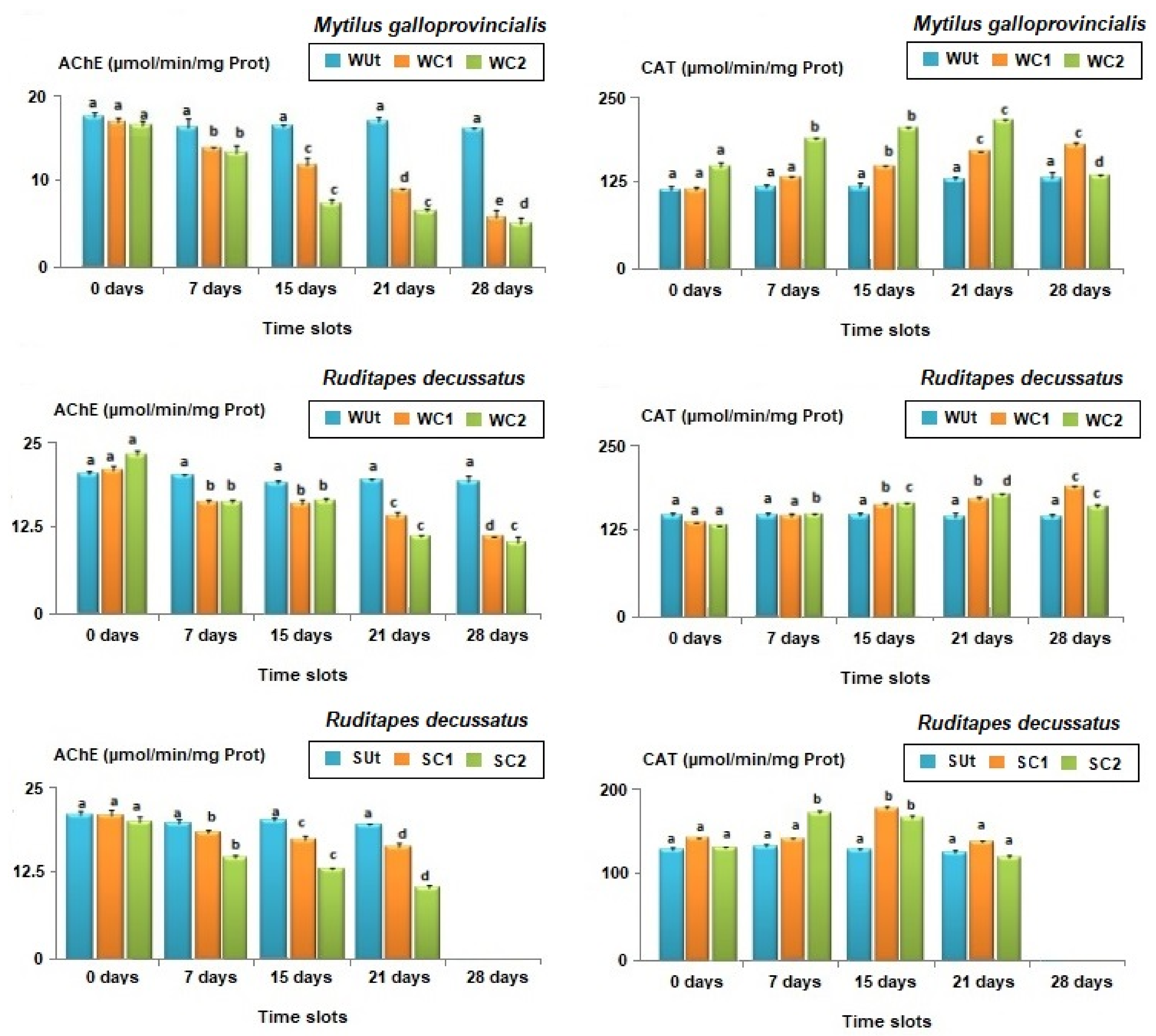
3.4. Biochemical Biomarkers
3.4.1. Mytilus galloprovincialis
3.4.2. Ruditapes decussatus
3.5. In Silico Findings: Bioavailability and Toxicokinetics
4. Discussion
4.1. Does the Addition of Contaminated Water and Sediment with Phenanthrene Modify the Quality of the Environment in Treated Experimental Units?
4.2. What the Biometric Features of M. galloprovincialis and R. decussatus Influenced by Exposure to Phenanthrene?
4.3. Does the Phenanthrene Influence the Responses of M. galloprovincialis and R. decussatus to Stress on Stress?
4.4. Do Enzymatic Biomarkers Respond to Phenanthrene Contamination?
5. Conclusions
Author Contributions
Funding
Institutional Review Board Statement
Informed Consent Statement
Data Availability Statement
Acknowledgments
Conflicts of Interest
References
- Andral, B.; Stanisiere, J.Y.; Sauzade, D.; Damier, E.; Thebault, H.; Galgani, F.; Boissery, P. Monitoring chemical contamination levels in the Mediterranean based on the use of mussel caging. Mar. Pollut. Bull. 2004, 49, 704–712. [Google Scholar] [CrossRef] [PubMed]
- Dellali, M.; Gnassia Barelli, M.; Romeo, M.; Aïssa, P. The use of acetylcholinésterase activity in Ruditapes decussatus and Mytilus galloprovincialis in the biomonitoring of Bizerta lagoon. Comp. Biochem. Phys. 2001, 130, 227–235. [Google Scholar] [CrossRef] [PubMed]
- Baird, A.H.; Marshall, P.A. Mortality, growth and reproduction in scleractinian corals following bleaching on the Great Barrier Reef. Mar. Ecol. Prog. Ser. 2002, 237, 133–141. [Google Scholar] [CrossRef]
- US-EPA. Determination of Benzo(a)pyrene and Other Polynuclear Aromatic Hydrocarbons in Indoor Air; U.S. Environmental Protection Agency: Washington, DC, USA, 1990. [Google Scholar]
- Verschueren, K. Phenathrene. Handbook of Environmental Data on Organic Chemicals, 3rd ed.; Van Nostrand Reinhold Co.: New York, NY, USA, 1996; pp. 1756–1762. [Google Scholar]
- CITI. Biodegradation and Bioaccumulation Data of Existing Chemicals Based on the CSCL Japan; Chemicals Inspection and Testing Institute: Japan, 1992. [Google Scholar]
- Howard, P.H.; Boethling, R.S.; Jarvis, W.F. Phenantrene-Handbook of Environmental Degradation Rates; Meylan, W.M., Michalenko, E.M., Eds.; Lewis Publisher: Chealsea, MI, USA, 1991; p. 725. [Google Scholar]
- Maciorowski, A.G.; Sims, J.L.; Little, L.W.; Gerrard, V. Bioassays: Procedures and results. J. Water Pollut. Control. Fed. 1980, 53, 974–993. [Google Scholar]
- Jensen, L.K.; Honkanen, J.O.; Jæger, I.; Carroll, J. Bioaccumulation of phenanthrene and benzo[a]pyrene in Calanus finmarchicus. Ecotoxicol. Environ. Saf. 2012, 78, 225–231. [Google Scholar] [CrossRef]
- Allouche, M.; Nasri, A.; Harrath, A.H.; Mansour, L.; Alwasel, S.; Beyrem, H.; Plăvan, G.; Rohal-Lupher, M.; Boufahja, F. Meiobenthic nematode Oncholaimus campylocercoides as a model in laboratory studies: Selection, culture, and fluorescence microscopy after exposure to phenanthrene and chrysene. Environ. Sci. Pollut. Res. 2021, 28, 29484–29497. [Google Scholar] [CrossRef]
- Swartz, R.C.; Ferraro, S.P.; Lamberson, J.O.; Cole, F.A.; Ozretich, R.J.; Boese, B.L.; Schults, D.W. Photoactivation and toxicity of mixtures of polycyclic aromatic hydrocarbon compounds in marine sediment. Environ. Toxicol. Chem. 1997, 16, 2151–2157. [Google Scholar] [CrossRef]
- INERIS. Données Technico-économiques Sur Les Substances Chimiques en France. In Rapport D’Étude 3; INERIS: Verneuil-en-Halatte, France, 2006; p. 37. [Google Scholar]
- Chen, H.; Zhang, Z.; Tian, F.; Zhang, L.; Li, Y.; Cai, W.; Jia, X. The effect of pH on the acute toxicity of phenanthrene in a marine microalgae Chlorella salina. Sci. Rep. 2018, 8, 17577. [Google Scholar] [CrossRef]
- Evans, A.D.; Nipper, M. Toxicity of phenanthrene and lindane mixtures to marine invertebrates. Environ. Toxicol. 2007, 22, 495–501. [Google Scholar] [CrossRef]
- Emery, V.L., Jr.; Dillon. T.M. Chronic Toxicity of Phenanthrene to the Marine Polychaete Worm, Nereis (Neanthes) Arenaceodenta. Bull. Environ. Contam. Toxicol. 1996, 56, 265–270. [Google Scholar]
- Mu, J.; Wang, J.; Jin, F.; Wang, X.; Hong, H. Comparative embryotoxicity of phenanthrene and alkyl-phenanthrene to marine medaka (Oryzias melastigma). Mar. Pollut. Bull. 2014, 85, 505–515. [Google Scholar] [CrossRef] [PubMed]
- Storer, J.S.; DeLeon, I.; Millikan, L.E.; Laseter, J.L.; Griffing, C. Human Absorption of Crude Coal Tar Products. Arch. Dermatol. 1984, 120, 874–877. [Google Scholar] [CrossRef] [PubMed]
- Bayne, B.; Hawkins, A.; Navarro, E.; Iglesias, I. Effects of seston concentration on feeding, digestion and growth in the mussel Mytilus edulis. Mar. Ecol. Prog. Ser. 1989, 55, 47–54. [Google Scholar] [CrossRef]
- Lagadic, L.; Caquet, T.; Amiard, J.C. Biomarqueurs en Ecotoxicologie: Aspects Fondamentaux; Masson: Paris, France, 1997; pp. 1–9. [Google Scholar]
- Cheung, C.; Zheng, G.; Li, A.; Richardson, B.; Lam, P. Relationships between tissue concentrations of polycyclic aromatic hydrocarbons and antioxidative responses of marine mussels, Perna viridis. Aquat. Toxicol. 2001, 52, 189–203. [Google Scholar] [CrossRef]
- Sellami, B. Réponse Protéique et Multimarqueurs de la Palourde à la Contamination Par Certains Polluants Organiques (Pesticides, HAP et Cocktail). Ph.D. Thesis, University of Carthage, Bizerte, Tunisia, 2014; 130p. [Google Scholar]
- Livingstone, D.R. Contaminant-stimulated Reactive Oxygen Species production and oxidative damage in aquatic arganisms. Mar. Poll. Bull. 2000, 42, 656–666. [Google Scholar] [CrossRef]
- Cheung, C.; Zheng, G.; Lam, P.; Richardson, B. Relationships between tissue concentrations of chlorinated hydrocarbons (polychlorinated biphenyls and chlorinated pesticides) and antioxidative responses of marine mussels, Perna viridis. Mar. Pollut. Bull. 2002, 45, 181–191. [Google Scholar] [CrossRef]
- Widdows, J.; Donkin, P.; Staff, F.; Matthiessen, P.; Law, R.; Allen, Y.; Thain, J.; Allchin, C.; Jones, B. Measurement of stress effects (scope for growth) and contaminant levels in mussels (Mytilus edulis) collected from the Irish Sea. Mar. Environ. Res. 2002, 53, 327–356. [Google Scholar] [CrossRef]
- Thoré, E.S.; Philippe, C.; Brendonck, L.; Pinceel, T. Towards improved fish tests in ecotoxicology—Efficient chronic and multi-generational testing with the killifish Nothobranchius furzeri. Chemosphere 2021, 273, 129697. [Google Scholar] [CrossRef]
- Perić, L.; Nerlović, V.; Žurga, P.; Žilić, L.; Ramšak, A. Variations of biomarkers response in mussels Mytilus galloprovincialis to low, moderate and high concentrations of organic chemicals and metals. Chemosphere 2017, 174, 554–562. [Google Scholar] [CrossRef]
- Verbruggen, E.M.J. Environmental Risk Limits for Polycyclic Aromatic Hydrocarbons (PAHs) for Direct Aquatic, Benthic, and Terrestrial Toxicity; RIVM Report 607711007/2012; Rijksinstituut voor Volksgezondheid en Milieu RIVM: Utrecht, The Netherlands, 1990; 337p. [Google Scholar]
- Canadian Council of Ministers of the Environment. Protocol for the derivation of Canadian sediment quality guidelines for the protection of aquatic life. CCME EPC-98E. Prepared by Environment Canada, Guideline Division. In Technical Secretariat of the CCME Task Group on Water Quality Guidelines; Canadian Council of Ministers of the Environment: Ottawa, ON, Canada, 1999; 35p. [Google Scholar]
- Macdonald, D.D.; Carr, R.S.; Calder, F.D.; Long, E.R.; Ingersoll, C.G. Development and evaluation of sediment quality guidelines for Florida coastal waters. Ecotoxicology 1996, 5, 253–278. [Google Scholar] [CrossRef]
- Eertman, R.H.M.; Zwaan, A. Survival of the Fittest: Resistance of Mussels to Aerial Exposure. In Biomonitoring of Coastal Waters and Estuaries; Kramer, K.I.M., Ed.; CRC Press: Boca Raton, FL, USA, 1994; pp. 269–282. [Google Scholar]
- Maryoung, L.A.; Lavado, R.; Schlenk, D. Impacts of hypersaline acclimation on the acute toxicity of the organophosphate chlorpyrifos to salmonids. Aquat. Toxicol. 2014, 152, 284–290. [Google Scholar] [CrossRef] [PubMed]
- Verma, V.; Yu, Q.J.; Connell, D.W. Evaluation of effects of long term exposure on lethal toxicity with mammals. Environ. Pollut. 2014, 185, 234–239. [Google Scholar] [CrossRef] [PubMed]
- Bradford, M.M. A rapid and sensitive method for the quantization of microgram quantities of protein utilizing the principle of protein-dry binding. Anal. Biochem. 1976, 72, 248–254. [Google Scholar] [CrossRef] [PubMed]
- Ellman, G.L.; Courtney, K.D.; Andres, V., Jr.; Featherstone, R.M. A new and rapid colorimetric determination of acetylcholinesterase activity. Biochem. Pharmacol. 1961, 7, 88–95. [Google Scholar] [CrossRef]
- Galgani, F.; Bocquené, G.; Cadiou, Y. Evidence of variation in cholinesterase activity in fish along a pollution gradient in the North Sea. Mar. Ecol. Prog. Ser. 1992, 91, 77–82. [Google Scholar] [CrossRef]
- Aebi, H. Methods of Enzymatic Analysis, 2nd ed.; Chemia Weinheium: New York, NY, USA, 1974. [Google Scholar]
- Beutler, E. Red Cell Metabolism: A Manual of Biochemical Methods; Grune & Stratton: New York, NY, USA, 1975. [Google Scholar]
- Claiborne, A. Catalase activity. Handbook of Methods for Oxygen Radical Research; Greenwald, R.A., Ed.; CRC Press: Boca Raton, FL, USA, 1985; pp. 283–284. [Google Scholar]
- Trabelsi, S.; Driss, M.R. Polycyclic aromatic hydrocarbons in superficial coastal sediments from Bizerte lagoon, Tunisia. Mar. Pollut. Bull. 2005, 50, 344–359. [Google Scholar] [CrossRef] [PubMed]
- Zrafi-Nouira, I.; Khedir-Ghenim, Z.; Bahri, R.; Cheraeif, I.; Rouabhia, M.; Saidane-Mosbahi, D. Hydrocarbons in Seawater and Water Extract of Jarzouna-Bizerte Coastal of Tunisia (Mediterranean Sea): Petroleum Origin Investigation Around Refinery Rejection Place. Water Air Soil Pollut. 2009, 202, 19–31. [Google Scholar] [CrossRef]
- Zrafi-Nouira, I.; Safi, N.M.D.; Bahri, R.; Mzoughi, N.; Aissi, A.; Ben Abdennebi, H.; Saidane-Mosbahi, D. Distribution and Sources of Polycyclic Aromatic Hydrocarbons Around a Petroleum Refinery Rejection Area in Jarzouna-Bizerte (Coastal Tunisia). Soil Sediment Contam. Int. J. 2010, 19, 292–306. [Google Scholar] [CrossRef]
- Badraoui, R.; Adnan, M.; Bardakci, F.; Alreshidi, M. Chloroquine and Hydroxychloroquine Interact Differently with ACE2 Domains Reported to Bind with the Coronavirus Spike Protein: Mediation by ACE2 Polymorphism. Molecules 2021, 26, 673. [Google Scholar] [CrossRef]
- Hchicha, K.; Korb, M.; Badraoui, R.; Naïli, H. A novel sulfate-bridged binuclear copper (II) complex: Structure, optical, ADMET and in vivo approach in a murine model of bone metastasis. New J. Chem. 2021, 45, 13775–13784. [Google Scholar] [CrossRef]
- Mhadhbi, N.; Issaoui, N.; Hamadou, W.S.; Alam, J.M.; Elhadi, A.S.; Adnan, M.; Naϊli, H.; Badraoui, R. Physico-Chemical Properties, Pharmacokinetics, Molecular Docking and In-Vitro Pharmacological Study of a Cobalt (II) Complex Based on 2-Aminopyridine. Chem. Select. 2022, 7, e202103592. [Google Scholar] [CrossRef]
- Badraoui, R.; Saeed, M.; Bouali, N.; Hamadou, W.S.; Elkahoui, S.; Alam, M.J.; Siddiqui, A.J.; Adnan, M.; Saoudi, M.; Rebai, T. Expression Profiling of Selected Immune Genes and Trabecular Microarchitecture in Breast Cancer Skeletal Metastases Model: Effect of α–Tocopherol Acetate Supplementation. Calcif. Tissue Int. 2022, 110, 475–488. [Google Scholar] [CrossRef] [PubMed]
- Jedli, O.; Ben-Nasr, H.; Zammel, N.; Rebai, T.; Saoudi, M.; Elkahoui, S.; Jamal, A.; Siddiqui, A.J.; Sulieman, A.E.; Alreshidi, M.M.; et al. Attenation of ovalbumin-induced inflammation and lung oxidative injury in asthamtic rats by Zingiber officinale extract: Combined in silico and in vivo study on antioxidant potential, STAT6 and TNF-pathways. 3 Biotech 2022, 12, 191. [Google Scholar] [CrossRef] [PubMed]
- Zammel, N.; Jedli, O.; Rebai, T.; Hamadou, W.S.; Elkahoui, S.; Jamal, A.; Alam, J.M.; Adnan, M.; Siddiqui, A.J.; Alreshidi, M.M.; et al. Kidney injury and oxidative damage alleviation by Zingiber officinale: Phramacokinetics and protective approach in a combined murine model of osteoporosis. 3 Biotech 2022, 12, 112. [Google Scholar] [CrossRef]
- Roosenburg, W.M.; Dennis, T. Egg Component Comparisons within and among Clutches of the Diamondback Terrapin, Malaclemys terrapin. Copeia 2005, 2, 417–423. [Google Scholar] [CrossRef]
- Hawthorne, S.B.; Grabanski, C.B. Vaporization of Polycyclic Aromatic Hydrocarbons (PAHs) from Sediments at Ambient Conditions. Environ. Sci. Technol. 2000, 34, 4348–4353. [Google Scholar] [CrossRef]
- Afli, A.; Boufahja, F.; Sadraoui, S.; Ben Mustapha, K.; Aïssa, P.; Mrabet, R. Functional organization of the benthic macrofauna in the Bizerte lagoon (SW Mediterranean Sea), semi-enclosed area subject to strong environmental/anthropogenic variations. Cah. Biol. Mar. 2009, 50, 105–117. [Google Scholar]
- Boufahja, F.; Hedfi, A.; Amorri, J.; Aïssa, P.; Beyrem, H.; Mahmoudi, E. Examination of the bioindicator potential of Oncholaimus campylocercoides (Nematoda, Oncholaimidae) from Bizerte bay (Tunisia). Ecol. Indic 2011, 11, 1139–1148. [Google Scholar] [CrossRef]
- Boufahja, F.; Hedfi, A.; Essid, N.; Aïssa, P.; Mahmoudi, E.; Beyrem, H. An observational study on changes in biometry and generation time of Odontophora villoti (Nematoda, Axonolaimidae) related to petroleum pollution in Bizerte bay, Tunisia. Environ. Sci. Pollut. Res. 2012, 19, 646–655. [Google Scholar] [CrossRef]
- Seed, R. Factors Influencing Shell Shape in the Mussel Mytilus edulis. J. Mar. Biol. Assoc. United Kingd. 1968, 48, 561–584. [Google Scholar] [CrossRef]
- Seed, R. Absolute and allometric Growth in the mussel Mytilus edulis (Mollusca, bivalvia). Proc. Malacol. Soc. Lond. 1973, 40, 343–357. [Google Scholar]
- Brown, S.B. Stereospecific haem cleavage. A model for the formation of bile-pigment isomers in vivo and in vitro. Biochem. J. 1976, 159, 23–27. [Google Scholar] [CrossRef] [PubMed]
- Dellali, M. Utilisation D’indicateurs Microbiologiques et Biochimiques Chez Ruditapes Decussatus et Mytilus galloprovincialis Dans la Biosurveillance de la Lagune de Bizerte: Validation de Certains Biomarqueurs. Ph.D. Thesis, University of Carthage, Carthage, Tunisia, 2001. [Google Scholar]
- Trigui-El Menif, N. La Palourde Ruditapes decussatus (Linnée, 1758) des côtes Tunisiennes: Biométrie, Reproduction et Impact de L’environnement sur la Bioaccumulation en Métaux traces. Ph.D. Thesis, University of Tunis II, Tunis, Tunisia, 1995; 261p. [Google Scholar]
- Parache, A.; Massé, H. Croissance de Mytilus galloprovincialis (LMK) sur filières en mer ouverte en Méditerranée Nord-Occidentale. Haliotis 1986, 15, 163–171. [Google Scholar]
- Seed, R.; Suchanek, T.H. Population and Community Ecology of Mytilus. In The Mussel Mytilus; Gosling, E.G., Ed.; Elsevier: Amsterdam, The Netherlands, 1992; pp. 87–169. [Google Scholar]
- Khessiba, A. Premières Données sur la Moule de la Lagune de Bizerte: Potentialités Mytilicoles d’une Ferme Aquacole et Etude des Biomarqueurs; DEA, University of Carthage: Bizerte, Tunisia, 1999; 89p. [Google Scholar]
- Philippe, C.; Gregoir, A.F.; Thoré, E.S.J.; De Boeck, G.; Brendonck, L.; Pinceel, T. Protocol for Acute and Chronic Ecotoxicity Testing of the Turquoise Killifish Nothobranchius furzeri. J. Vis. Exp. 2018, 134, e57308. [Google Scholar] [CrossRef] [PubMed]
- Bates, P.A.; Kurtz, M.K.; Gottlieb, M.; Dwyer, D.M. Leishmania donovani: Generation of monospecific antibody reagents to soluble acid phosphatase. Exp. Parasitol. 1987, 64, 157–164. [Google Scholar] [CrossRef] [PubMed]
- Doong, R.-A.; Lin, Y.-T. Characterization and distribution of polycyclic aromatic hydrocarbon contaminations in surface sediment and water from Gao-ping River, Taiwan. Water Res. 2004, 38, 1733–1744. [Google Scholar] [CrossRef] [PubMed]
- Fernandes, O.; Santos, S.; Junqueira, A.; Jansen, A.M.; Cupolillo, E.; Campbell, D.; Zingales, B.; Coura, J.R. Populational heterogeneity of Brazilian Trypanosoma cruzi isolates revealed by the mini-exon and ribosomal spacers. Mem. Inst. Oswaldo Cruz 1999, 94, 195–197. [Google Scholar] [CrossRef] [PubMed][Green Version]
- White, L.E.; Andrews, T.J.; Hulette, C.; Richards, A.; Groelle, M.; Paydarfar, J.; Purves, D. Structure of the human sensorimotor system. I: Morphology and cytoarchitecture of the central sulcus. Cereb. Cortex 1997, 7, 18–30. [Google Scholar] [CrossRef]
- Gschwend, P.M.; Hites, R.A. Fluxes of polycyclic aromatic hydrocarbons to marine and lacustrine sediments in the northeastern United States. Geochim. Cosmochim. Acta 1981, 45, 2359–2367. [Google Scholar] [CrossRef]
- Mackay, D.; Shiu, W.Y.; Ma, K.C. Illustrated Handbook of Physical-Chemical Properties and Environmental Fate for Organic Chemicals; Lewis Publishers: Chelsea, UK, 1992; 697p. [Google Scholar]
- Hughes, J.B.; Beckles, D.M.; Chandra, S.D.; Ward, C.H. Utilization of bioremediation processes for the treatment of PAH-contaminated sediments. J. Ind. Microbiol. Biotechnol. 1997, 18, 152–160. [Google Scholar] [CrossRef]
- Ke, L.; Wong, T.W.; Wong, Y.; Tam, N.F. Fate of polycyclic aromatic hydrocarbon (PAH) contamination in a mangrove swamp in Hong Kong following an oil spill. Mar. Pollut. Bull. 2002, 45, 339–347. [Google Scholar] [CrossRef] [PubMed]
- Stark, A.; Brennecke, J.; Russell, R.B.; Cohen, S.M. Identification of Drosophila MicroRNA Targets. PLoS Biol. 2003, 1, e60. [Google Scholar] [CrossRef] [PubMed]
- Singh, H.; Bhattacharya, A.K. Susceptibility of Spodoptera litura to diflubenzuron. Ann. Pl. Protec. Sci. 2003, 11, 243–245. [Google Scholar]
- Akcha, F.; Izuel, C.; Venier, P.; Budzinski, H.; Burgeot, T.; Narbonne, J.F. Enzymatic biomarker measurement and study of DNA adduct formation in benzo [a] pyrene-contaminated mussels, Mytilus galloprovincialis. Aquat. Toxicol. 2000, 49, 269–287. [Google Scholar] [CrossRef]
- Banni, M.; Negri, A.; Dagnino, A.; Jebali, J.; Ameur, S.; Boussetta, H. Acute effects of benzo[a]pyrene on digestive gland enzymatic biomarkers and DNA damage on mussel Mytilus galloprovincialis. Ecotoxicol. Environ. Saf. 2010, 73, 842–848. [Google Scholar] [CrossRef]
- Bocquene, G. L’Acétylcholinestérase, Marqueur de Neurotoxicité. Application à la Surveillance des Effets Biologiques des Polluants Chez les Organismes Marins. Ph.D. Thesis, University of Montpellier, Montpellier, France, 1996; 254p. [Google Scholar]
- Dellali, M.; Hedfi, A.; Ben Ali, M.; Noureldeen, A.; Darwish, H.; Beyrem, H.; Gyedu-Ababio, T.; Dervishi, A.; Karachle, P.K.; Boufahja, F. Multi-biomarker approach in Mytilus galloprovincialis and Ruditapes decussatus as a predictor of pelago-benthic responses after exposure to Benzo[a]Pyrene. Comp. Biochem. Physiol. Part C Toxicol. Pharmacol. 2021, 249, 109141. [Google Scholar] [CrossRef]
- Moulton, C.A.; Fleming, W.J.; Purnell, C.E. Effects of two cholinesterase-inhibiting pesticides on freshwater mussels. Environ. Toxicol. Chem. 1996, 15, 131–137. [Google Scholar] [CrossRef]
- Dellali, M.; Romeo, M.; Gnassia-Barelli, M.; Aïssa, P. A Multivariate Data Analysis of the Clam Ruditapes decussatus as Sentinel Organism of the Bizerta Lagoon (Tunisia). Water Air Soil Pollut. 2004, 156, 131–144. [Google Scholar] [CrossRef]
- Kevin, B.; Temeyer Andrew, Y.; Li Kimberly, H.; Lohmeyer Andrew, C.; Chen Pia, U.; Olafson, D.W.; Sanson Lane Foil, D. Acetylcholinesterase mutation in diazinon resistant Haematobia irritans (L.) (Diptera), Muscidae. Vet. Parasitol. 2008, 154, 300–310. [Google Scholar]
- Laguerre, C.; Sanchez-Hernandez, J.C.; Köhler, H.R.; Triebskorn, R.; Capowiez, Y.; Rault, M.; Mazzia, C. B-type esterases in the snail Xeropicta derbentina. Environ. Pollut. 2009, 157, 199–207. [Google Scholar] [CrossRef]
- Richardson, C.; Alessi, D. The regulation of salt transport and blood pressure by the WNK-SPAK/OSR1 signalling pathway. J. Cell Sci. 2008, 121, 3293–3304. [Google Scholar] [CrossRef] [PubMed]
- Serafim, A.; Lopes, B.; Company, R.; Ferreira, A.M.; Bebianno, M.J. Comparative petroleum hydrocarbons levels and biochemical responses in mussels from hydrothermal vents (Bathymodiolus azoricus) and coastal environments (Mytilus galloprovincialis). Mar. Pollut. Bull. 2008, 57, 529–537. [Google Scholar] [CrossRef] [PubMed]
- Eertman, R.H.M.; Groenink, C.L.F.M.G.; Sandee, B.; Hummel, H.; Smaal, A.C. Response of the blue mussel Mytilus edulis L. following exposure to PAHs or contaminated sediment. Mar. Environ. Res. 1994, 39, 169–173. [Google Scholar] [CrossRef]
- Downs, C.A.; Shigenaka, G.; Fauth, J.E.; Robinson, C.E.; Huang, A. Cellular Physiological Assessment of Bivalves after Chronic Exposure to Spilled Exxon valdez Crude Oil Using a Novel Molecular Diagnostic Biotechnology. Environ. Sci. Technol. 2002, 36, 2987–2993. [Google Scholar] [CrossRef]
- Vieira, L.; Sousa, A.; Frasco, M.; Lima, I.; Morgado, F.; Guilhermino, L. Acute effects of Benzo[a]pyrene, anthracene and a fuel oil on biomarkers of the common goby Pomatoschistus microps (Teleostei, Gobiidae). Sci. Total Environ. 2008, 395, 87–100. [Google Scholar] [CrossRef]
- Bebianno, M.J.; Barreira, L.A. Polycyclic aromatic hydrocarbons concentrations and biomarker responses in the clam Ruditapes decussatus transplanted in the Ria Formosa lagoon. Ecotoxicol. Environ. Saf. 2009, 72, 1849–1860. [Google Scholar] [CrossRef]
- Khessiba, P.H.A.; Hoarau, P.; Gnassia-Barelli, M.; Aissa, P.; Roméo, M. Biochemical Response of the Mussel Mytilus galloprovincialis from Bizerta (Tunisia) to Chemical Pollutant Exposure. Arch. Environ. Contam. Toxicol. 2001, 40, 222–229. [Google Scholar] [CrossRef]
- Altenburger, R.; Segner, H.; van der Oost, R. PAHs—Prospects for the Assessment of Exposure and Effects in Aquatic Systems; PAHs: An Ecotoxicological Perspective; Wiley: Hoboken, NJ, USA, 2003; p. 297. [Google Scholar]
- Olga-Lopez Antonio, F.; Hernandez Lourdes, R.; Fernando, G.; Gloria, P.; Jose, L.S.; Tesifon, P.; Enrique, V. Changes in antioxidant enzymes in humans with long-term exposure to pesticides. Toxicol. Lett. 2007, 171, 146–153. [Google Scholar]
- Anguiano, V.; Llera-Herrera, R.; Rojas, E.; Vazquez Boucard, C. Subchronic organismal toxicity, cytotoxicity, genotoxicity, and feeding response of Pacific oyster (Crassostrea gigas) to lindane (gamma-HCH) exposure under experimental conditions. Environ. Toxicol. Chem. 2007, 26, 2192–2197. [Google Scholar] [CrossRef]
- Badraoui, R.; Allouche, M.; El Ouaer, D.; Siddiqui, A.J.; Ishak, S.; Hedfi, A.; Beyrem, H.; Pacioglu, O.; Rudayni, H.A.; Boufahja, F. Ecotoxicity of chrysene and phenanthrene on meiobenthic nematodes with a case study of Terschellingia longicaudata: Taxonomics, toxicokinetics, and molecular interactions modelling. Environ. Pollut. 2023, 316, 120459. [Google Scholar] [CrossRef]
- Allouche, M.; Ishak, S.; Ben Ali, M.; Hedfi, A.; Almalki, M.; Karachle, P.K.; Harrath, A.H.; Abu-Zied, R.H.; Badraoui, R.; Boufahja, F. Molecular interactions of polyvinyl chloride microplastics and beta-blockers (Diltiazem and Bisoprolol) and their effects on marine meiofauna: Combined in vivo and modeling study. J. Hazard. Mater. 2022, 431, 128609. [Google Scholar] [CrossRef] [PubMed]
- Hedfi, A.; Ben Ali, M.; Korkobi, M.; Allouche, M.; Harrath, A.H.; Beyrem, H.; Pacioglu, O.; Badraoui, R.; Boufahja, F. The exposure to polyvinyl chloride microplastics and chrysene induces multiple changes in the structure and functionality of marine meiobenthic communities. J. Hazard. Mater. 2022, 436, 129161. [Google Scholar] [CrossRef] [PubMed]






| Targeted Concentration | Species | 7 Days | 15 Days | 21 Days | 28 Days |
|---|---|---|---|---|---|
| WUt (0 µg/L) | Mytilus galloprovincialis | 10.2 ± 0.19 (a) | 10.0 ± 0.08 (a) | 9.9 ± 0.03 (a) | 10.0 ± 0.06 (a) |
| Ruditapes decussatus | 9.8 ± 0.19 (a) | 10.1 ± 0.07 (a) | 9.6 ± 0.10 (a) | 10.3 ± 0.13 (a) | |
| WC1 (50 µg/L) | Mytilus galloprovincialis | 45.2 ± 2.11 (b) | 47.1 ± 5.61 (b) | 42.6 ± 4.08 (b) | 44.5 ± 7.28 (b) |
| Ruditapes decussatus | 44.9 ± 1.07 (b) | 47.4 ± 5.52 (b) | 43.1 ± 6.08 (b) | 44.8 ± 3.20 (b) | |
| WC2 (100 µg/L) | Mytilus galloprovincialis | 92.7 ± 2.85 (c) | 92.3 ± 6.10 (c) | 84.1 ± 4.68 (c) | 87.9 ± 8.04 (c) |
| Ruditapes decussatus | 92.4 ± 3.07 (c) | 90.9 ± 5.46 (c) | 86 ± 5.32 (c) | 88.2 ± 6.27 (c) | |
| SUt (0 µg/kg) | Ruditapes decussatus | 8.9 ± 1.09 (A) | 8.5 ± 0.62 (A) | 8.6 ± 1.10 (A) | 8.6 ± 1.17 (A) |
| SC1 (50 µg/kg) | Ruditapes decussatus | 46.1 ± 5.01 (B) | 42.5 ± 2.18 (B) | 44.8 ± 3.37 (B) | 45.9 ± 4.04 (B) |
| SC2 (100 µg/kg) | Ruditapes decussatus | 90.2 ± 5.12 (C) | 92.3 ± 3.75 (C) | 94.2 ± 5.06 (C) | 90.1 ± 6.14 (C) |
| Lipophilicity | Physicochemical Properties | |||
|---|---|---|---|---|
| Log Po/w (iLOGP) | Consensus Log Po/w | TPSA (A2) | Log S (Ali) | No. rotatable bonds |
| 1.54 | 1.12 | 51.56 | −1.14 | 0 |
| Toxicokinetics | ||||
| GI absorption | BBB permeant | P-gp substrate | Log Kp (cm/s) | Bioavailability score |
| High | Yes | No | −7.06 | 0.55 |
| CYP1A2 inhibitor | CYP2C19 inhibitor | CYP2C9 inhibitor | CYP2D6 inhibitor | CYP3A4 inhibitor |
| Yes | No | No | No | Yes |
| Reference | Location | Species | LT50 |
|---|---|---|---|
| Khessiba (1999) | Bizerte lagoon, Tunisia | Ruditapes decussatus | 5.75 |
| Mytilus galloprovincialis | 4.16–8.17 | ||
| Dellali (2001) | Bizerte lagoon, Tunisia | Ruditapes decussatus | 6–8.66 |
| Mytilus galloprovincialis | 6.23–6.67 | ||
| Current study | Bizerte lagoon, Tunisia | Mytilus galloprovincialis (WUt) | 9 |
| Ruditapes decussatus (Wut) | 13 | ||
| Ruditapes decussatus (SWt) | 13 | ||
| Bizerte lagoon, Tunisia | Mytilus galloprovincialis (WC1) | 4.31–7.42 | |
| Ruditapes decussatus (WC1) | 4.73–9.49 | ||
| Ruditapes decussata (SC1) | 5.86–10.73 | ||
| Bizerte lagoon, Tunisia | Mytilus galloprovincialis (WC2) | 2.77–6.4 | |
| Ruditapes decussatus (WC2) | 3.85–7.67 | ||
| Ruditapes decussatus (SC2) | 3.73–7.82 |
Disclaimer/Publisher’s Note: The statements, opinions and data contained in all publications are solely those of the individual author(s) and contributor(s) and not of MDPI and/or the editor(s). MDPI and/or the editor(s) disclaim responsibility for any injury to people or property resulting from any ideas, methods, instructions or products referred to in the content. |
© 2022 by the authors. Licensee MDPI, Basel, Switzerland. This article is an open access article distributed under the terms and conditions of the Creative Commons Attribution (CC BY) license (https://creativecommons.org/licenses/by/4.0/).
Share and Cite
Dellali, M.; Mardassi, K.; Harrath, A.H.; Mansour, L.; Pacioglu, O.; Aldahmash, W.; Nahdi, S.; Badraoui, R.; Alrefaei, A.F.; Boufahja, F. Physiological Responses of the Bivalves Mytilus galloprovincialis and Ruditapes decussatus Following Exposure to Phenanthrene: Toxicokinetics, Dynamics and Biomarkers Study. Animals 2023, 13, 151. https://doi.org/10.3390/ani13010151
Dellali M, Mardassi K, Harrath AH, Mansour L, Pacioglu O, Aldahmash W, Nahdi S, Badraoui R, Alrefaei AF, Boufahja F. Physiological Responses of the Bivalves Mytilus galloprovincialis and Ruditapes decussatus Following Exposure to Phenanthrene: Toxicokinetics, Dynamics and Biomarkers Study. Animals. 2023; 13(1):151. https://doi.org/10.3390/ani13010151
Chicago/Turabian StyleDellali, Mohamed, Khadija Mardassi, Abdel Halim Harrath, Lamjed Mansour, Octavian Pacioglu, Waleed Aldahmash, Saber Nahdi, Riadh Badraoui, Abdulwahed Fahad Alrefaei, and Fehmi Boufahja. 2023. "Physiological Responses of the Bivalves Mytilus galloprovincialis and Ruditapes decussatus Following Exposure to Phenanthrene: Toxicokinetics, Dynamics and Biomarkers Study" Animals 13, no. 1: 151. https://doi.org/10.3390/ani13010151
APA StyleDellali, M., Mardassi, K., Harrath, A. H., Mansour, L., Pacioglu, O., Aldahmash, W., Nahdi, S., Badraoui, R., Alrefaei, A. F., & Boufahja, F. (2023). Physiological Responses of the Bivalves Mytilus galloprovincialis and Ruditapes decussatus Following Exposure to Phenanthrene: Toxicokinetics, Dynamics and Biomarkers Study. Animals, 13(1), 151. https://doi.org/10.3390/ani13010151

