An Open-Hardware Insemination Device for Small-Bodied Live-Bearing Fishes to Support Development and Use of Germplasm Repositories
Abstract
Simple Summary
Abstract
1. Introduction
2. Materials and Methods
2.1. Design and Fabrication
2.2. Characterization of Linear Actuator
2.3. Evaluation of Fluid Volume Delivery
2.4. Evaluation of Pressure
2.5. Evaluation of Sample Delivery into Female Live-Bearing Fish
3. Results
3.1. Design and Fabrication
3.2. Characterization of Linear Actuator and Volume Control
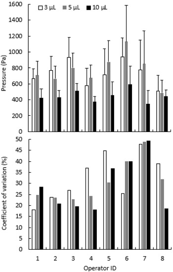
3.3. Evaluation of Pressure
3.4. Evaluation of Sample Delivery into Female Live-Bearing Fish
4. Discussion
4.1. Design and Fabrication
4.2. Linear Actuator Characterization
4.3. Volume Control
4.4. Pressure Generation
4.5. Sample Delivery into Females
5. Conclusions
Supplementary Materials
Author Contributions
Funding
Institutional Review Board Statement
Informed Consent Statement
Data Availability Statement
Acknowledgments
Conflicts of Interest
References
- Liu, Y.; Yang, H.; Torres, L.; Tiersch, T.R. Activation of free sperm and dissociation of sperm bundles (spermatozeugmata) of an endangered viviparous fish, Xenotoca eiseni. Comp. Biochem. Physiol. A Mol. Integr. Physiol. 2018, 218, 35–45. [Google Scholar] [CrossRef] [PubMed]
- Liu, Y.; Blackburn, H.; Taylor, S.S.; Tiersch, T.R. Development of germplasm repositories to assist conservation of endangered fishes: Examples from small-bodied livebearing fishes. Theriogenology 2019, 135, 138–151. [Google Scholar] [CrossRef] [PubMed]
- Boswell, M.; Boswell, W.; Lu, Y.; Savage, M.; Mazurek, Z.; Chang, J.; Muster, J.; Walter, R. The transcriptional response of skin to fluorescent light exposure in viviparous (Xiphophorus) and oviparous (Danio, Oryzias) fishes. Comp. Biochem. Physiol. C Toxicol. Pharmacol. 2018, 208, 77–86. [Google Scholar] [CrossRef] [PubMed]
- Walter, R.B.; Kazianis, S. Xiphophorus interspecies hybrids as genetic models of induced neoplasia. ILAR J. 2001, 42, 299–321. [Google Scholar] [CrossRef] [PubMed]
- Lu, Y.; Sandoval, A.; Voss, S.; Lai, Z.; Kneitz, S.; Boswell, W.; Boswell, M.; Savage, M.; Walter, C.; Warren, W.; et al. Oncogenic allelic interaction in Xiphophorus highlights hybrid incompatibility. Proc. Natl. Acad. Sci. USA 2020, 117, 29786–29794. [Google Scholar] [CrossRef]
- Liotta, M.N.; Abbott, J.K.; Rios-Cardenas, O.; Morris, M.R. Tactical dimorphism: The interplay between body shape and mating behaviour in the swordtail Xiphophorus multilineatus (Cyprinodontiformes: Poeciliidae). Biol. J. Linn. Soc. 2019, 127, 337–350. [Google Scholar] [CrossRef]
- Marcus, J.M.; McCune, A.R. Ontogeny and phylogeny in the Northern swordtail clade of Xiphophorus. Syst. Biol. 1999, 48, 491–522. [Google Scholar] [CrossRef]
- Kelly, R.K.; Loh, P.C. Some Properties of an established fish cell line from Xiphophorus helleri (Red Swordtail). In Vitro 1973, 9, 73–80. [Google Scholar] [CrossRef]
- Scarpino, S.V.; Hunt, P.J.; Garcia-De-Leon, F.J.; Juenger, T.E.; Schartl, M.; Kirkpatrick, M. Evolution of a genetic incompatibility in the genus Xiphophorus. Mol. Biol. Evol. 2013, 30, 2302–2310. [Google Scholar] [CrossRef]
- Smith, C.C.; Ryan, M.J. Evolution of sperm quality but not quantity in the internally fertilized fish Xiphophorus nigrensis. J. Evol. Biol. 2010, 23, 1759–1771. [Google Scholar] [CrossRef]
- Hagedorn, M.; Varga, Z.; Walter, R.B.; Tiersch, T.R. Workshop report: Cryopreservation of aquatic biomedical models. Cryobiology 2019, 86, 120–129. [Google Scholar] [CrossRef] [PubMed]
- Liu, Y.; Torres, L.; Tiersch, T.R. Cryopreservation of sperm bundles (spermatozeugmata) from endangered livebearing goodeids. Cryobiology 2018, 82, 49–56. [Google Scholar] [CrossRef] [PubMed]
- Liu, Y.; Cheng, H.; Tiersch, T.R. The role of alkalinization-induced Ca2+ influx in sperm motility activation of a viviparous fish Redtail Splitfin (Xenotoca eiseni). Biol. Reprod. 2018, 99, 1159–1170. [Google Scholar] [CrossRef] [PubMed]
- Lyons, J.; Piller, K.R.; Artigas-Azas, J.M.; Dominguez-Dominguez, O.; Gesundheit, P.; Köck, M.; Medina-Nava, M.; Mercado-Silva, N.; García, A.R.; Findley, K.M. Distribution and current conservation status of the Mexican Goodeidae (Actinopterygii, Cyprinodontiformes). ZooKeys 2019, 885, 115. [Google Scholar] [CrossRef]
- Yang, H.; Hazlewood, L.; Heater, S.J.; Guerrero, P.A.; Walter, R.B.; Tiersch, T.R. Production of F1 interspecies hybrid offspring with cryopreserved sperm from a live-bearing fish, the Swordtail Xiphophorus helleri. Biol. Reprod. 2007, 76, 401–406. [Google Scholar] [CrossRef] [PubMed]
- Tiersch, T.; Yang, H. Sperm cryopreservation in biomedical research fish models. In Cryopreservation in Aquatic Species, 2nd ed.; The World Aquaculture Society: Baton Rouge, LA, USA, 2011; Volume 7, pp. 439–454. [Google Scholar]
- Lu, Y.; Boswell, M.; Boswell, W.; Kneitz, S.; Hausmann, M.; Klotz, B.; Regneri, J.; Savage, M.; Amores, A.; Postlethwait, J. Molecular genetic analysis of the melanoma regulatory locus in Xiphophorus interspecies hybrids. Mol. Carcinog. 2017, 56, 1935–1944. [Google Scholar] [CrossRef]
- Clark, E. A method for artificial insemination in viviparous fishes. Science 1950, 112, 722–723. [Google Scholar] [CrossRef]
- Yang, H.; Hazlewood, L.; Walter, R.B.; Tiersch, T.R. Sperm cryopreservation of a live-bearing fish, Xiphophorus couchianus: Male-to-male variation in post-thaw motility and production of F 1 hybrid offspring. Comp. Biochem. Physiol. Part C Toxicol. Pharmacol. 2009, 149, 233–239. [Google Scholar] [CrossRef][Green Version]
- Yang, H.; Savage, M.G.; Hazlewood, L.; Walter, R.B.; Tiersch, T.R. Offspring production with cryopreserved sperm from a live-bearing fish Xiphophorus maculatus and implications for female fecundity. Comp. Biochem. Physiol. Part C Toxicol. Pharmacol. 2012, 155, 55–63. [Google Scholar] [CrossRef]
- Huang, C.; Sun, C.; Su, X.; Zhao, X.; Miao, M.; Liu, Y.; Dong, Q. Sperm cryopreservation in guppies and black mollies—A generalized freezing protocol for livebearers in Poeciliidae. Cryobiology 2009, 59, 351–356. [Google Scholar] [CrossRef]
- Liu, Y.; Grier, H.J.; Tiersch, T.R. Production of live young with cryopreserved sperm from the endangered livebearing fish Redtail Splitfin (Xenotoca eiseni, Rutter, 1896). Anim. Reprod. Sci. 2018, 196, 77–90. [Google Scholar] [CrossRef] [PubMed]
- Christensen, P.; Stryhn, H.; Hansen, C. Discrepancies in the determination of sperm concentration using Bürker-Türk, Thoma and Makler counting chambers. Theriogenology 2005, 63, 992–1003. [Google Scholar] [CrossRef] [PubMed]
- Liu, Y.; Dong, J.; Tiersch, T.R.; Wu, Q.; Monroe, W.T. An open hardware 3-D printed device for measuring tensile properties of thermoplastic filament polymers at cryogenic temperatures. Cryogenics 2022, 121, 103409. [Google Scholar] [CrossRef]
- Zuchowicz, N.C.; Belgodere, J.A.; Liu, Y.; Semmes, I.; Monroe, W.T.; Tiersch, T.R. Low-Cost resin 3-D printing for rapid prototyping of microdevices: Opportunities for supporting aquatic germplasm repositories. Fishes 2022, 7, 49. [Google Scholar] [CrossRef]
- Tiersch, C.J.; Liu, Y.; Tiersch, T.R.; Monroe, W.T. 3-D printed customizable vitrification devices for preservation of genetic resources of aquatic species. Aquacult. Eng. 2020, 90, 102097. [Google Scholar] [CrossRef]
- Liu, Y.; Monroe, W.T.; Belgodere, J.; Choi, J.-W.; Gutierrez-Wing, M.T.; Tiersch, T.R. The emerging role of open technologies for community-based improvement of cryopreservation and quality management for repository development in aquatic species. Anim. Reprod. Sci. 2021, 106871. (in press). [CrossRef]
- Liu, Y.; Lin, A.; Tiersch, T.R.; Monroe, W.T. A 3D printed vitrification device for storage in cryopreservation vials. Appl. Sci. 2021, 11, 7977. [Google Scholar] [CrossRef]
- Childress, W.M.; Liu, Y.; Tiersch, T.R. Design, alpha testing, and beta testing of a 3-D printed open-hardware portable cryopreservation device for aquatic species. J. Appl. Aquacult. 2021, 1–24. (in press). [CrossRef]
- Liu, Y.; Eskridge, M.; Guitreau, A.; Beckham, J.; Chesnut, M.; Torres, L.; Tiersch, T.R.; Monroe, W.T. Development of an open hardware 3-D printed conveyor device for continuous cryopreservation of non-batched samples. Aquacult. Eng. 2021, 95, 102202. [Google Scholar] [CrossRef]
- McGovern-Hopkins, K.; Tamaru, C.S.; Takeshita, G.; Yamamoto, M. Procedural guide for the artificial insemination of the lyretail swordtail, Xiphophorus helleri. Cent. Trop. Subtrop. Aquac. 2003, 149, 20. [Google Scholar]
- Feldmann, R.; Lochner, K.H. Influences on volume in piston-operated air-displacement pipettes. Accredit. Qual. Assur. 2016, 21, 69. [Google Scholar] [CrossRef]
- Pinckney, N. Pulse-width modulation for microcontroller servo control. IEEE Potentials 2006, 25, 27–29. [Google Scholar] [CrossRef]
- Pankhurst, D. How to Connect a Linear Actuator to the Arduino. Available online: https://www.utopiamechanicus.com/article/linear-actuator-arduino/ (accessed on 27 March 2022).
- Schindelin, J.; Arganda-Carreras, I.; Frise, E.; Kaynig, V.; Longair, M.; Pietzsch, T.; Preibisch, S.; Rueden, C.; Saalfeld, S.; Schmid, B.; et al. Fiji: An open-source platform for biological-image analysis. Nat. Methods 2012, 9, 682. [Google Scholar] [CrossRef] [PubMed]
- Liu, Y.; Torres, L.; Tiersch, T.R. Quality evaluation of sperm from livebearing fishes: Standardized assessment of sperm bundles (spermatozeugmata) from Xenotoca eiseni (Goodeidae). Theriogenology 2018, 107, 50–56. [Google Scholar] [CrossRef]
- Barkley, W.E. Mouth pipetting: A threat more difficult to eradicate than small pox. Appl. Biosaf. 1997, 2, 7–10. [Google Scholar] [CrossRef]
- Wijnen, B.; Hunt, E.J.; Anzalone, G.C.; Pearce, J.M. Open-source syringe pump library. PLoS ONE 2014, 9, e107216. [Google Scholar]
- Chepelev, L.; Ravi, P.; Rybicki, F.J. Practical frontline 3D printing of biomedical equipment: From design to distribution—A North American experience. In Emerging Applications of 3D Printing During COVID 19 Pandemic; Springer: Berlin/Heidelberg, Germany, 2022; pp. 1–13. [Google Scholar]
- Choudhari, C.; Patil, V. Product development and its comparative analysis by SLA, SLS and FDM rapid prototyping processes. In Proceedings of the IOP Conference Series: Materials Science and Engineering, Bangalore, India, 14–16 July 2016; p. 012009. [Google Scholar]
- Quan, H.; Zhang, T.; Xu, H.; Luo, S.; Nie, J.; Zhu, X. Photo-curing 3D printing technique and its challenges. Bioact. Mater. 2020, 5, 110–115. [Google Scholar] [CrossRef]
- Espino, M.T.; Tuazon, B.; Robles, G.S.; Dizon, J. Application of Taguchi methodology in evaluating the Rockwell hardness of SLA 3D printed polymers. Mater. Sci. Forum 2020, 1005, 166–173. [Google Scholar] [CrossRef]
- Chen, A. 4 Vital Things on Post-Processing 3D Printed Parts. Available online: https://www.cmac.com.au/blog/4-vital-things-post-processing-3d-printed-parts (accessed on 27 March 2022).
- Zhakeyev, A.; Leung, D.Y.; Xuan, J. GO-modified flexible polymer nanocomposites fabricated via 3D stereolithography. Front. Chem. Sci. Eng. 2019, 13, 736–743. [Google Scholar]
- Behrens, M.R.; Fuller, H.C.; Swist, E.R.; Wu, J.; Islam, M.M.; Long, Z.; Ruder, W.C.; Steward, R. Open-source, 3D-printed peristaltic pumps for small volume point-of-care liquid handling. Sci. Rep. 2020, 10, 1–10. [Google Scholar] [CrossRef]
- Jenke, C.; Pallejà Rubio, J.; Kibler, S.; Häfner, J.; Richter, M.; Kutter, C. The combination of micro diaphragm pumps and flow sensors for single stroke based liquid flow control. Sensors 2017, 17, 755. [Google Scholar] [CrossRef]
- Usevitch, N.; Hammond, Z.; Follmer, S.; Schwager, M. Linear actuator robots: Differential kinematics, controllability, and algorithms for locomotion and shape morphing. In Proceedings of the 2017 IEEE/RSJ International Conference on Intelligent Robots and Systems (IROS), Vancouver, BC, Canada, 24–28 September 2017; pp. 5361–5367. [Google Scholar]
- Florian, D.C.; Odziomek, M.; Ock, C.L.; Chen, H.; Guelcher, S.A. Principles of computer-controlled linear motion applied to an open-source affordable liquid handler for automated micropipetting. Sci. Rep. 2020, 10, 13663. [Google Scholar] [CrossRef]
- NIH. Advisory Committee to the Director (ACD) Working Group Report: Enhancing Rigor, Transparency, and Translatability in Animal Research. Available online: https://acd.od.nih.gov/working-groups/eprar.html (accessed on 27 March 2022).
- Munson, B.R.; Okiishi, T.H.; Huebsch, W.W.; Rothmayer, A.P. Fluid Mechanics; Wiley: Singapore, 2013. [Google Scholar]






| Item | Printing Material | Vendor | Price (USD) | Quantity | Cost (USD) |
|---|---|---|---|---|---|
| Air displacement chamber | Resin | Anycubic a | 40.00/L | 2.304 mL | 0.09 |
| Piston adapter | Resin | Anycubic a | 40.00/L | 0.273 mL | 0.01 |
| Actuator base | Resin | Anycubic a | 40.00/L | 0.853 mL | 0.03 |
| Handling case | PLA | Hatchbox b | 24.99/kg | 17.6 g | 0.44 |
| O-ring holder | PLA | Hatchbox b | 24.99/kg | 0.9 g | 0.02 |
| O-ring | Amazon c | 0.27/ct | 1 ct | 0.27 | |
| Metal rod (piston) | Amazon c | 0.37/ct | 1 ct | 0.37 | |
| Linear actuator (GS-1502) | Amazon c | 7.00/ct | 1 ct | 7.00 | |
| Arduino Nano | Arduino e | 15.99/3ct | 1 ct | 6.00 | |
| Monochrome OLED (1.3”) | Adafruit f | 19.95/ct | 1 ct | 19.95 | |
| Rechargeable Battery (Anker PowerCore, 5 V) | Amazon c | 16.19/ct | 1 ct | 16.19 | |
| Foot Pedal (MLCS 9080) | Amazon c | 22.95/ct | 1 ct | USD 22.95 | |
| Total | USD 73.32 | ||||
Publisher’s Note: MDPI stays neutral with regard to jurisdictional claims in published maps and institutional affiliations. |
© 2022 by the authors. Licensee MDPI, Basel, Switzerland. This article is an open access article distributed under the terms and conditions of the Creative Commons Attribution (CC BY) license (https://creativecommons.org/licenses/by/4.0/).
Share and Cite
Harmon, E.R.; Liu, Y.; Shamkhalichenar, H.; Browning, V.; Savage, M.; Tiersch, T.R.; Monroe, W.T. An Open-Hardware Insemination Device for Small-Bodied Live-Bearing Fishes to Support Development and Use of Germplasm Repositories. Animals 2022, 12, 961. https://doi.org/10.3390/ani12080961
Harmon ER, Liu Y, Shamkhalichenar H, Browning V, Savage M, Tiersch TR, Monroe WT. An Open-Hardware Insemination Device for Small-Bodied Live-Bearing Fishes to Support Development and Use of Germplasm Repositories. Animals. 2022; 12(8):961. https://doi.org/10.3390/ani12080961
Chicago/Turabian StyleHarmon, Elise R., Yue Liu, Hamed Shamkhalichenar, Valentino Browning, Markita Savage, Terrence R. Tiersch, and William Todd Monroe. 2022. "An Open-Hardware Insemination Device for Small-Bodied Live-Bearing Fishes to Support Development and Use of Germplasm Repositories" Animals 12, no. 8: 961. https://doi.org/10.3390/ani12080961
APA StyleHarmon, E. R., Liu, Y., Shamkhalichenar, H., Browning, V., Savage, M., Tiersch, T. R., & Monroe, W. T. (2022). An Open-Hardware Insemination Device for Small-Bodied Live-Bearing Fishes to Support Development and Use of Germplasm Repositories. Animals, 12(8), 961. https://doi.org/10.3390/ani12080961

