Monthly Dynamics of Plasma Elements, Hematology, Oxidative Stress Markers, and Hormonal Concentrations in Growing Male Shiba Goats (Capra hircus) Reared in Tokyo-Japan
Abstract
:Simple Summary
Abstract
1. Introduction
2. Materials and Methods
2.1. Animals
2.2. Clinical Examination
2.3. Blood Samples and Hematology
2.4. Analysis of Plasma Elements Concentration
2.4.1. Preparations of Samples, Blank and Standard
2.4.2. ICP-MS Quality Control and Data Calculations
2.5. Plasma Hormonal Assays
2.6. Assessment of Oxidative Stress Markers
2.7. Statistical Analysis
3. Results
3.1. Age-Related Changes in Hematology
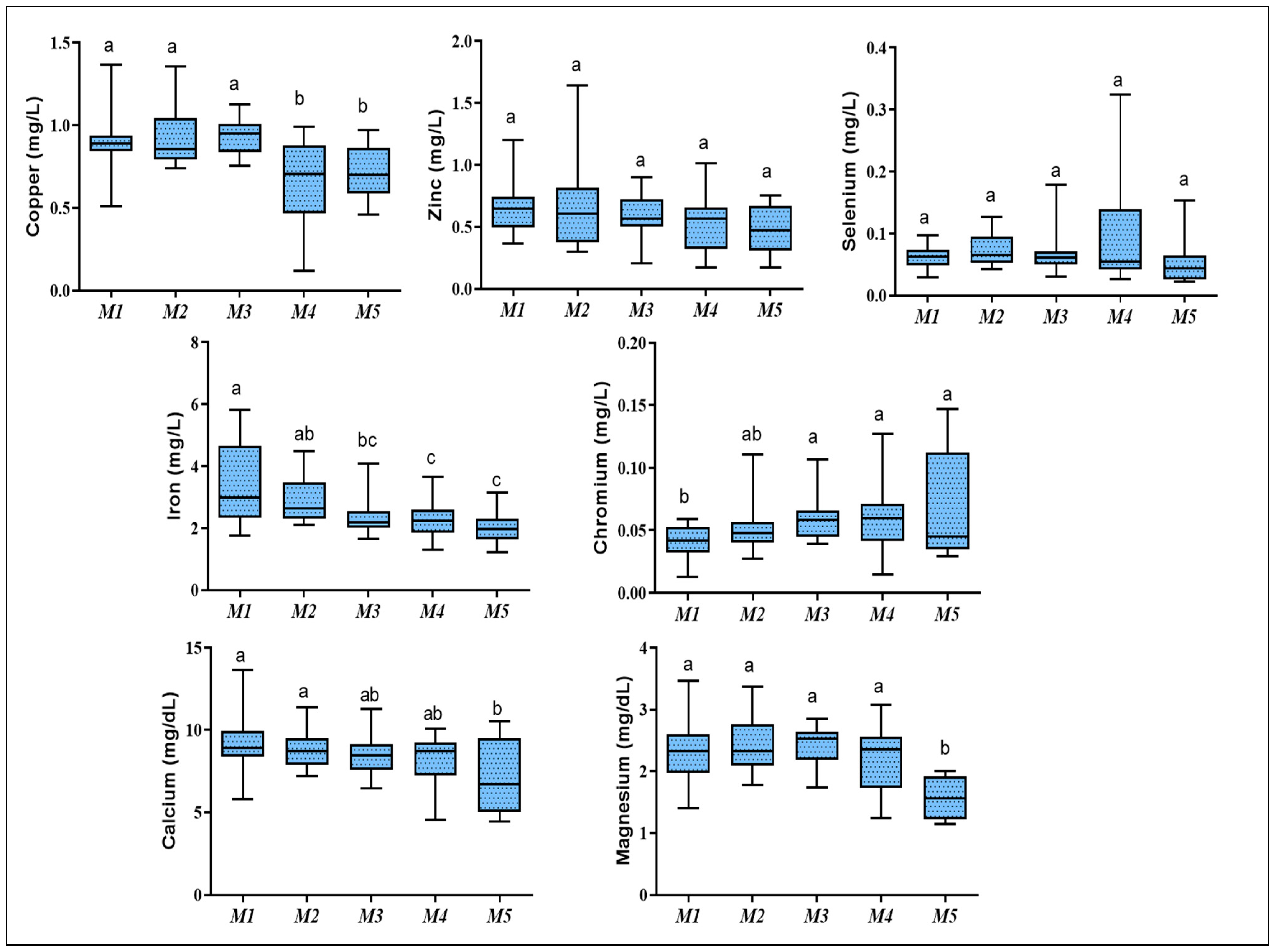
3.2. Age-Related Changes in Plasma Elements Concentration
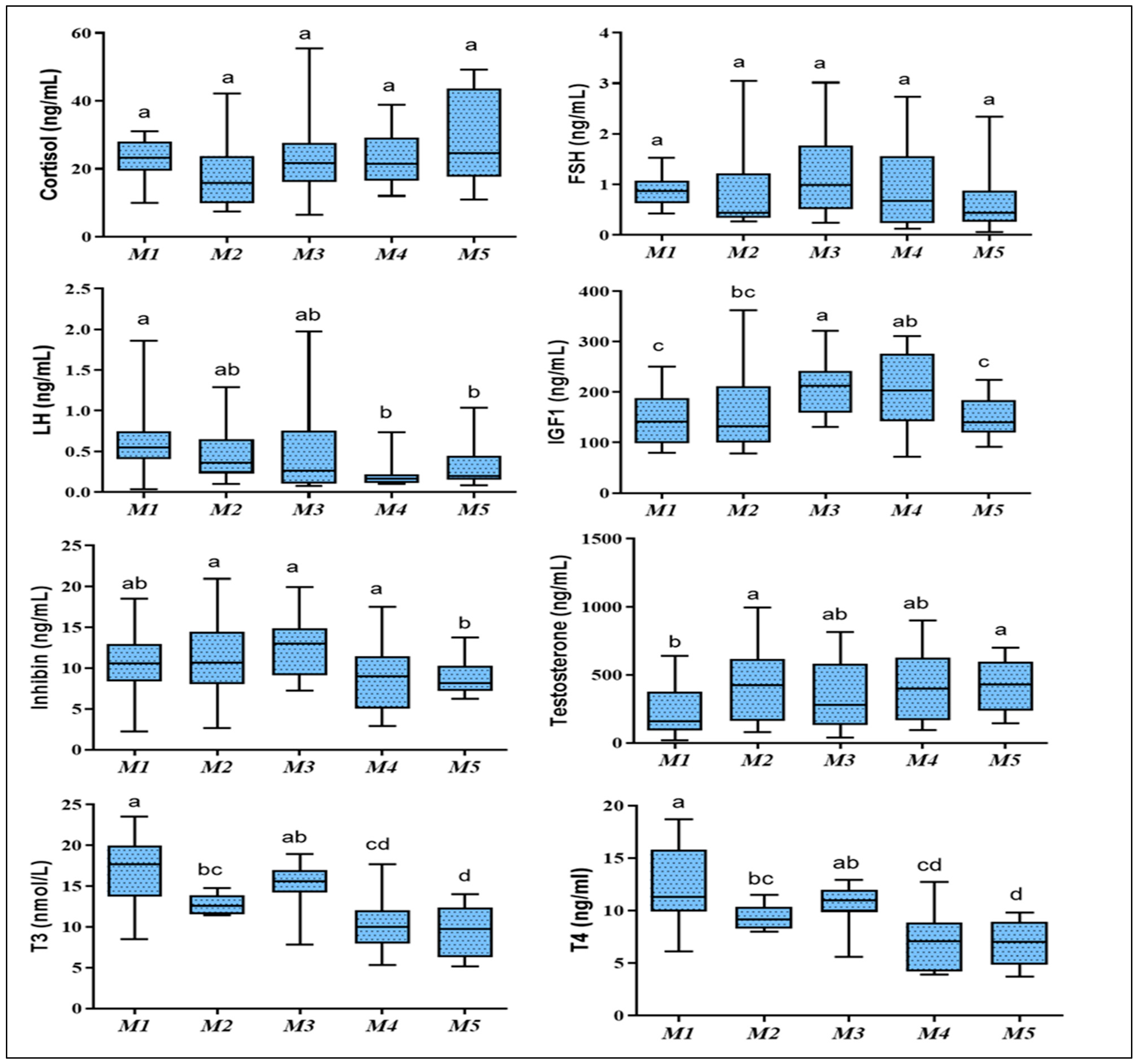
3.3. Age-Related Changes in the Concentration of Plasma Hormones
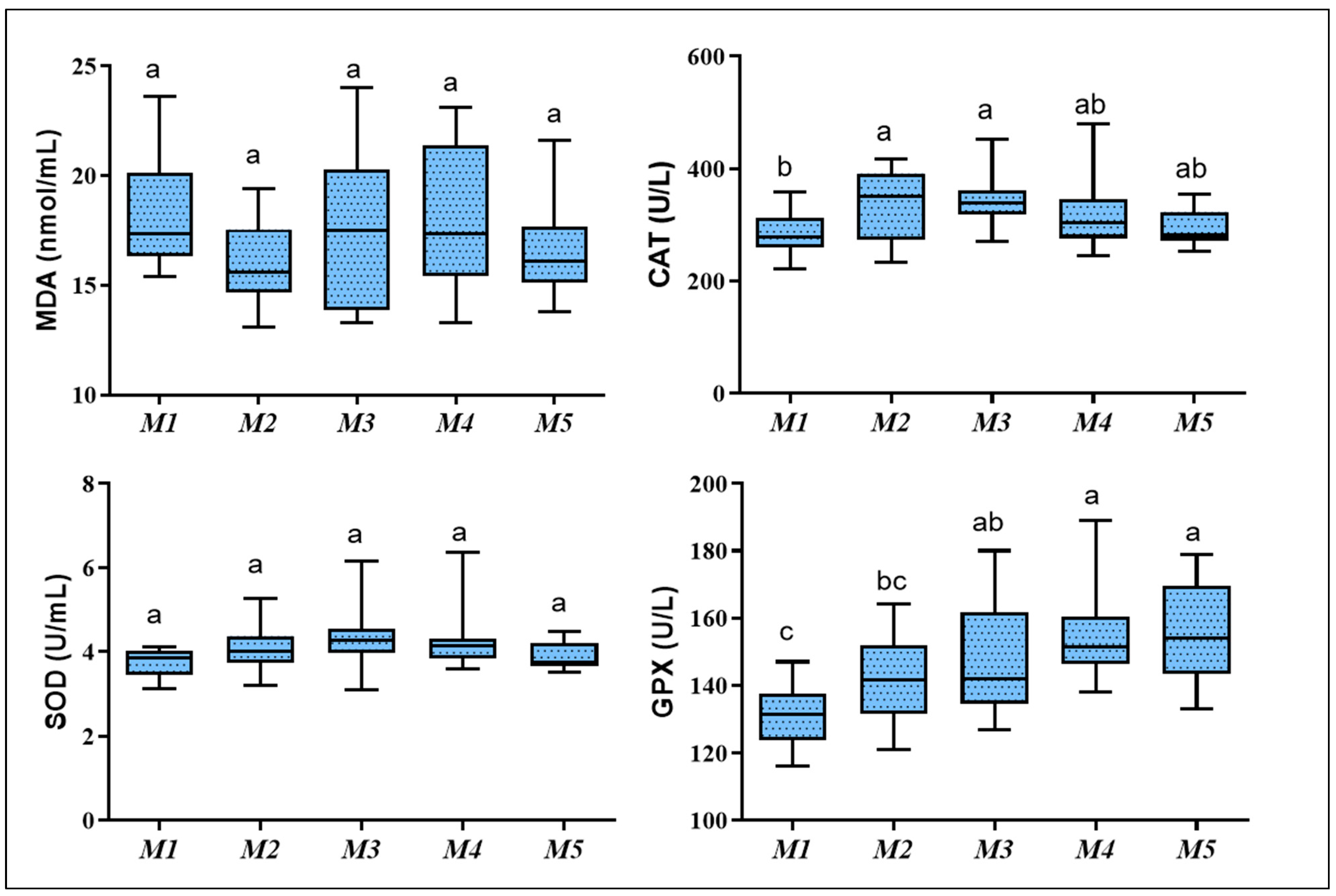
3.4. Age-Related Changes in the Level of Oxidative Stress Markers
3.5. Correlation Analysis between the Measured Variables
4. Discussion
5. Conclusions
Supplementary Materials
Author Contributions
Funding
Institutional Review Board Statement
Informed Consent Statement
Data Availability Statement
Acknowledgments
Conflicts of Interest
References
- Samir, H.; Nyametease, P.; Elbadawy, M.; Fathi, M.; Mandour, A.S.; Radwan, F.; Nagaoka, K.; Sasaki, K.; Watanabe, G. Assessment of correlations and concentrations of salivary and plasma steroids, testicular morphometry, and semen quality in different climatic conditions in goats. Theriogenology 2020, 157, 238–244. [Google Scholar] [CrossRef] [PubMed]
- Mandour, A.S.; Elsayed, R.F.; Ali, A.O.; Mahmoud, A.E.; Samir, H.; Dessouki, A.A.; Matsuura, K.; Watanabe, I.; Sasaki, K.; Al-Rejaie, S.; et al. The utility of electrocardiography and echocardiography in copper deficiency-induced cardiac damage in goats. Environ. Sci. Pollut. Res. 2021, 28, 7815–7827. [Google Scholar] [CrossRef] [PubMed]
- Mandour, A.S.; Samir, H.; El-Beltagy, M.A.; Abdel-Daim, M.M.; Izumi, W.; Ma, D.; Matsuura, K.; Tanaka, R.; Watanabe, G. Effect of supra-nutritional selenium-enriched probiotics on hematobiochemical, hormonal, and Doppler hemodynamic changes in male goats. Environ. Sci. Pollut. Res. 2020, 27, 19447–19460. [Google Scholar] [CrossRef] [PubMed]
- Mandour, A.S.; Samir, H.; Yoshida, T.; Matsuura, K.; Abdelmageed, H.A.; Elbadawy, M.; Al-Rejaie, S.; El-Husseiny, H.M.; Elfadadny, A.; Ma, D.; et al. Assessment of the Cardiac Functions Using Full Conventional Echocardiography with Tissue Doppler Imaging before and after Xylazine Sedation in Male Shiba Goats. Animals 2020, 10, 2320. [Google Scholar] [CrossRef] [PubMed]
- Koda, N.; Kutsumi, S.; Hirose, T.; Watanabe, G. Educational Possibilities of Keeping Goats in Elementary Schools in Japan. Front. Vet. Sci. 2016, 3, 118. [Google Scholar] [CrossRef] [Green Version]
- Vázquez-Armijo, J.; Rojo, R.; López, D.; Tinoco, J.; González, A.; Pescador, N.; Domínguez-Vara, I. Trace elements in sheep and goats reproduction: A review. Trop. Subtrop. Agroecosyst. 2011, 14, 1–13. [Google Scholar]
- Wilde, D. Influence of macro and micro minerals in the peri-parturient period on fertility in dairy cattle. Anim. Reprod. Sci. 2006, 96, 240–249. [Google Scholar] [CrossRef]
- Lucy, M.C. Mechanisms linking nutrition and reproduction in postpartum cows. Reprod. Suppl. 2003, 61, 415–427. [Google Scholar] [CrossRef]
- Hazeleger, W.; Soede, N.M.; Kemp, B. The effect of feeding strategy during the pre-follicular phase on subsequent follicular development in the pig. Domest. Anim. Endocrinol. 2005, 29, 362–370. [Google Scholar] [CrossRef]
- Mandour, A.S.; Mahmoud, A.E.; Ali, A.O.; Matsuura, K.; Samir, H.; Abdelmageed, H.A.; Ma, D.; Yoshida, T.; Hamabe, L.; Uemura, A.; et al. Expression of cardiac copper chaperone encoding genes and their correlation with cardiac function parameters in goats. Vet. Res. Commun. 2021, 45, 305–317. [Google Scholar]
- Lewicka, I.; Kocyłowski, R.; Grzesiak, M.; Gaj, Z.; Oszukowski, P.; Suliburska, J. Selected trace elements concentrations in pregnancy and their possible role—Literature review. Ginekol. Pol. 2017, 88, 509–514. [Google Scholar] [CrossRef] [PubMed]
- Spears, J.W.; Weiss, W.P. Role of antioxidants and trace elements in health and immunity of transition dairy cows. Vet. J. 2008, 176, 70–76. [Google Scholar] [CrossRef] [PubMed]
- Hostetler, C.E.; Kincaid, R.L.; Mirando, M.A. The role of essential trace elements in embryonic and fetal development in livestock. Vet. J. 2003, 166, 125–139. [Google Scholar] [PubMed]
- Smith, B.P. Large Animal Internal Medicine-E-Book; Elsevier Health Sciences: Amsterdam, The Netherlands, 2014. [Google Scholar]
- Haenlein, G.F.W.; Anke, M. Mineral and trace element research in goats: A review. Small Rumin. Res. 2011, 95, 2–19. [Google Scholar] [CrossRef]
- Ahmed, M.M.; Hamed, T.F.; Barri, M.E. Variation of zinc and copper concentrations in the plasma of Nubian goats according to physiological state. Small Rumin. Res. 2001, 39, 189–193. [Google Scholar] [CrossRef]
- Lima, J.M.; Vale, R.G.; Sousa, R.d.S.; Nunes, T.L.; Gameleira, J.d.S.; Cavalcante, J.M.; Minervino, A.H.H.; Ortolani, E.L.; Barrêto Júnior, R.A. Seasonality Effects on the Mineral Profile of Goats Farmed in the Semiarid Region of Brazil. Vet. Sci. 2021, 8, 8. [Google Scholar]
- Abdolvahabi, S.; Zaeemi, M.; Mohri, M.; Naserian, A.A. Age related changes in serum biochemical profile of Saanen goat kids during the first three months of life. Rev. Med. Vet. 2016, 167, 106–112. [Google Scholar]
- Cetin, N.; Funda, E.; Leyla, M.; Naseer, Z.; Bolacali, M. Dynamics of oxidants, antioxidants and hormones during different phases of pregnancy in hairy goats. Kafkas Univ. Vet. Fak. Derg. 2021, 27, 117–121. [Google Scholar]
- Brun-Hansen, H.C.; Kampen, A.H.; Lund, A. Hematologic values in calves during the first 6 months of life. Vet. Clin. Pathol. 2006, 35, 182–187. [Google Scholar] [CrossRef]
- Egli, C.P.; Blum, J.W. Clinical, Haematological, Metabolic and Endocrine Traits During the First Three Months of Life of Suckling Simmentaler Calves Held in a Cow-Calf Operation1. J. Vet. Med. Ser. A 1998, 45, 99–118. [Google Scholar]
- Herosimczyk, A.; Lepczyński, A.; Dratwa-Chałupnik, A.; Kurpińska, A.; Klonowska, A.; Skrzypczak, W.F. Age-related changes of selected blood biochemical indicators in dairy calves during their first week of life. Folia Biol. 2011, 59, 25–30. [Google Scholar] [CrossRef]
- Kim, U.-H.; Lee, S.-H.; Cho, S.-R.; Kang, S.-S.; Jin, S.; Ahn, J.-S.; Lee, S.-H. Hematological Changes and Reference Intervals in Hanwoo Calves during the First 28 Weeks of Life. Animals 2021, 11, 1806. [Google Scholar] [CrossRef]
- Singh, S.P.; Dass, G.; Natesan, R.; Kushwah, Y.; Sharma, N.; Kumar, A. Endocrine and hematobiochemical profile of lambs raised in a semiarid region with different growth potentials during the postweaning period. Turk. J. Vet. Anim. Sci. 2018, 42, 120–129. [Google Scholar] [CrossRef]
- Hossan Shaikat, A.; Mahmudul Hassan, M.; Ali Khan, S.; Islam, N.; Hoque, A.; Bari, S.; Emran Hossain, M. Haemato-biochemical profiles of indigenous goats (Capra hircus) at Chittagong, Bangladesh. Vet. World 2013, 6, 789–793. [Google Scholar] [CrossRef]
- Valavi, E.; Zaeemi, M.; Mohri, M. Age-related changes in thyroid hormones, some serum oxidative biomarkers and trace elements and their relationships in healthy Saanen goat kids during the first three month of age. J. Anim. Physiol. Anim. Nutr. 2021, 1–12. [Google Scholar] [CrossRef]
- Araki, K.; Arai, K.Y.; Watanabe, G.; Taya, K. Involvement of Inhibin in the Regulation of Follicle-Stimulating Hormone Secretion in the Young Adult Male Shiba Goat. J. Androl. 2000, 21, 558–565. [Google Scholar]
- Radostits, O.M.; Mayhew, I.G.; Houston, D.M. Veterinary Clinical Examination and Diagnosis; WB Saunders: Philadelphia, PA, USA, 2000. [Google Scholar]
- Weiss, D.J.; Wardrop, K.J. Schalm’s Veterinary Hematology; John Wiley & Sons: Hoboken, NJ, USA, 2011. [Google Scholar]
- Luna, D.; Miranda, M.; Minervino, A.H.H.; Piñeiro, V.; Herrero-Latorre, C.; López-Alonso, M. Validation of a simple sample preparation method for multielement analysis of bovine serum. PLoS ONE 2019, 14, e0211859. [Google Scholar] [CrossRef] [Green Version]
- Horai, S.; Nakashima, Y.; Nawada, K.; Watanabe, I.; Kunisue, T.; Abe, S.; Yamada, F.; Sugihara, R. Trace element concentrations in the small Indian mongoose (Herpestes auropunctatus) from Hawaii, USA. Ecol. Indic. 2018, 91, 92–104. [Google Scholar] [CrossRef] [Green Version]
- Suzuki, Y.; Watanabe, I.; Tanabe, S.; Kuno, K. Trace elements accumulation and their variations with growth, sex and habitat: Effects on Formosan squirrel (Callosciurus erythraeus). Chemosphere 2006, 64, 1296–1310. [Google Scholar] [CrossRef]
- Taya, K. Radioimmunoassay for progesterone, testosterone and estradiol17β using^<125> I-iodohistamine radiolligands. Jpn. J. Anim. Reprod. 1985, 31, 186–197. [Google Scholar]
- Hamada, T.; Watanabe, G.; Kokuho, T.; Taya, K.; Sasamoto, S.; Hasegawa, Y.; Miyamoto, K.; Igarashi, M. Radioimmunoassay of inhibin in various mammals. J. Endocrinol. 1989, 122, 697–704. [Google Scholar] [CrossRef]
- Mori, Y.; Kano, Y. Changes in plasma concentrations of LH, progesterone and oestradiol in relation to the occurrence of luteolysis, oestrus and time of ovulation in the Shiba goat (Capra hircus). Reproduction 1984, 72, 223–230. [Google Scholar] [CrossRef] [Green Version]
- Samir, H.; Nagaoka, K.; Watanabe, G. The stimulatory effect of subluteal progesterone environment on the superovulatory response of passive immunization against inhibin in goats. Theriogenology 2018, 121, 188–195. [Google Scholar] [CrossRef]
- Mizukami, H.; Suzuki, T.; Nambo, Y.; Ishimaru, M.; Naito, H.; Korosue, K.; Akiyama, K.; Miyata, K.; Yamanobe, A.; Nagaoka, K.; et al. Comparison of growth and endocrine changes in Thoroughbred colts and fillies reared under different climate conditions. J. Equine Sci. 2015, 26, 49–56. [Google Scholar] [CrossRef] [Green Version]
- Tangyuenyong, S.; Sato, F.; Nambo, Y.; Murase, H.; Endo, Y.; Tanaka, T.; Nagaoka, K.; Watanabe, G. Comparison of physical body growth and metabolic and reproductive endocrine functions between north and south climates of Japan in trained Thoroughbred yearling horses. J. Equine Sci. 2017, 28, 77–86. [Google Scholar] [CrossRef] [Green Version]
- Nielsen, F.; Mikkelsen, B.B.; Nielsen, J.B.; Andersen, H.R.; Grandjean, P. Plasma malondialdehyde as biomarker for oxidative stress: Reference interval and effects of life-style factors. Clin. Chem. 1997, 43, 1209–1214. [Google Scholar] [CrossRef] [PubMed] [Green Version]
- Johansson, L.H.; Håkan Borg, L.A. A spectrophotometric method for determination of catalase activity in small tissue samples. Anal. Biochem. 1988, 174, 331–336. [Google Scholar] [CrossRef]
- Paglia, D.E.; Valentine, W.N. Studies on the quantitative and qualitative characterization of erythrocyte glutathione peroxidase. J. Lab. Clin. Med. 1967, 70, 158–169. [Google Scholar]
- McCord, J.M.; Fridovich, I. The utility of superoxide dismutase in studying free radical reactions. I. Radicals generated by the interaction of sulfite, dimethyl sulfoxide, and oxygen. J. Biol. Chem. 1969, 244, 6056–6063. [Google Scholar] [CrossRef]
- Faul, F.; Erdfelder, E.; Buchner, A.; Lang, A.-G. Statistical power analyses using G*Power 3.1: Tests for correlation and regression analyses. Behav. Res. Methods 2009, 41, 1149–1160. [Google Scholar] [CrossRef] [Green Version]
- Cohen, J. Statistical Power Analysis for the Behavioral Sciences; Academic Press: Cambridge, MA, USA, 2013. [Google Scholar]
- Sinclair, L.A.; Mackenzie, A.M. Mineral nutrition of dairy cows: Supply vs. requirements. In Recent Advances in Animal Nutrition; Garnsworthy, P.C., Wiseman, J., Eds.; Context Products Ltd.: Ashby de la Zouch, UK, 2013; pp. 13–30. [Google Scholar]
- Porter, V.; Alderson, L.; Hall, S.J.; Sponenberg, D.P. Mason’s World Encyclopedia of Livestock Breeds and Breeding; 2 Volume Pack; Cabi: Wallingford, UK, 2016. [Google Scholar]
- Mohri, M.; Sharifi, K.; Eidi, S. Hematology and serum biochemistry of Holstein dairy calves: Age related changes and comparison with blood composition in adults. Res. Vet. Sci. 2007, 83, 30–39. [Google Scholar] [CrossRef]
- Al-Samarai, F.R.; Mohammad, M.H. Estimation of hematological reference intervals for clinically healthy Iraqi local goats using reference value advisor. Comp. Clin. Pathol. 2017, 26, 831–836. [Google Scholar] [CrossRef]
- Antunović, Z.; Marić, I.; Klir, Ž.; Šerić, V.; Mioč, B.; Novoselec, J. Haemato-biochemical profile and acid–base status of Croatian spotted goats of different ages. Arch. Anim. Breed. 2019, 62, 455–463. [Google Scholar] [CrossRef] [Green Version]
- Luna, D.; López-Alonso, M.; Cedeño, Y.; Rigueira, L.; Pereira, V.; Miranda, M. Determination of Essential and Toxic Elements in Cattle Blood: Serum vs Plasma. Animals 2019, 9, 465. [Google Scholar] [CrossRef] [Green Version]
- Suttle, N.F.; Angus, K.W. Experimental copper deficiency in the calf. J. Comp. Pathol. 1976, 86, 595–608. [Google Scholar] [CrossRef]
- Gould, L.; Kendall, N.R. Role of the rumen in copper and thiomolybdate absorption. Nutr. Res. Rev. 2011, 24, 176–182. [Google Scholar] [CrossRef]
- McDowell, L.R. Minerals in Animal and Human Nutrition; Elsevier Science BV: Amsterdam, The Netherlands, 2003. [Google Scholar]
- Soetan, K.; Olaiya, C.; Oyewole, O. The importance of mineral elements for humans, domestic animals and plants-A review. Afr. J. Food Sci. 2010, 4, 200–222. [Google Scholar]
- Spears, J.W. Trace Mineral Bioavailability in Ruminants. J. Nutr. 2003, 133, 1506S–1509S. [Google Scholar] [CrossRef] [Green Version]
- Park, Y.W.; Chukwu, H.I. Trace mineral concentrations in goat milk from French-Alpine and Anglo-Nubian breeds during the first 5 months of lactation. J. Food Compos. Anal. 1989, 2, 161–169. [Google Scholar] [CrossRef]
- Barrionuevo, M.; López Aliaga, I.; Alférez, M.J.; Mesa, E.; Nestáres, T.; Campos, M.S. Beneficial effect of goat milk on bioavailability of copper, zinc and selenium in rats. J. Physiol. Biochem. 2003, 59, 111–118. [Google Scholar] [CrossRef]
- Suttle, N.F. Mineral Nutrition of Livestock; Cabi: Wallingford, UK, 2010. [Google Scholar]
- Eisler, R. Zinc hazards to Fish, Wildlife, and Invertebrates: A Synoptic Review; U.S. Department of the Interior, Fish and Wildlife Service: Laurel, MD, USA, 1993. [Google Scholar]
- Galbraith, M.L.; Vorachek, W.R.; Estill, C.T.; Whanger, P.D.; Bobe, G.; Davis, T.Z.; Hall, J.A. Rumen Microorganisms Decrease Bioavailability of Inorganic Selenium Supplements. Biol. Trace Elem. Res. 2016, 171, 338–343. [Google Scholar] [CrossRef] [PubMed]
- Hosnedlova, B.; Kepinska, M.; Skalickova, S.; Fernandez, C.; Ruttkay-Nedecky, B.; Malevu, T.D.; Sochor, J.; Baron, M.; Melcova, M.; Zidkova, J.; et al. A Summary of New Findings on the Biological Effects of Selenium in Selected Animal Species—A Critical Review. Int. J. Mol. Sci. 2017, 18, 2209. [Google Scholar] [CrossRef] [PubMed]
- Hendawy, A.O.; Sugimura, S.; Sato, K.; Mansour, M.M.; Abd El-Aziz, A.H.; Samir, H.; Islam, M.A.; Bostami, A.B.M.R.; Mandour, A.S.; Elfadadny, A.; et al. Effects of Selenium Supplementation on Rumen Microbiota, Rumen Fermentation and Apparent Nutrient Digestibility of Ruminant Animals: A Review. Ferment 2022, 8, 4. [Google Scholar] [CrossRef]
- Counotte, G.H.; Hartmans, J. Relation between selenium content and glutathione-peroxidase activity in blood of cattle. Vet. Q. 1989, 11, 155–160. [Google Scholar] [CrossRef]
- Haldar, S.; Ghosh, T.; Pakhira, M.; De, K. Effects of incremental dietary chromium (Cr3+) on growth, hormone concentrations and glucose clearance in growing goats (Capra hircus). J. Agric. Sci. 2006, 144, 269. [Google Scholar] [CrossRef]
- Counotte, G.; Holzhauer, M.; Carp-van Dijken, S.; Muskens, J.; Van der Merwe, D. Levels of trace elements and potential toxic elements in bovine livers: A trend analysis from 2007 to 2018. PLoS ONE 2019, 14, e0214584. [Google Scholar] [CrossRef] [Green Version]
- Mohammed, A.; Khan, A.; Pargass, I.; Bridgemohan, P.; Edwards, A.; Stewart, H.; Youssef, F.; Sieuchand, S. Serum Mineral Levels in Goats of Various Physiological Stages in the Dry and Wet Seasons in Central Trinidad. Микроэлементы в Медицине 2017, 18, 17–27. [Google Scholar] [CrossRef]
- Nemeth, M.V.; Wilkens, M.R.; Liesegang, A. Vitamin D status in growing dairy goats and sheep: Influence of ultraviolet B radiation on bone metabolism and calcium homeostasis. J. Dairy Sci. 2017, 100, 8072–8086. [Google Scholar] [CrossRef] [Green Version]
- Mbassa, G.K.; Poulsen, J.S.D. Reference ranges for clinical chemical values in Landrace goats. Small Rumin. Res. 1993, 10, 133–142. [Google Scholar] [CrossRef]
- Trova, S.; Bovetti, S.; Pellegrino, G.; Bonzano, S.; Giacobini, P.; Peretto, P. HPG-Dependent Peri-Pubertal Regulation of Adult Neurogenesis in Mice. Front. Neuroanat. 2020, 14, 584493. [Google Scholar] [CrossRef]
- Stamatiades, G.A.; Kaiser, U.B. Gonadotropin regulation by pulsatile GnRH: Signaling and gene expression. Mol. Cell Endocrinol. 2018, 463, 131–141. [Google Scholar] [CrossRef]
- Miyamoto, A.; Umezu, M.; Ishii, S.; Furusawa, T.; Masaki, J.; Hasegawa, Y.; Ohta, M. Serum inhibin, FSH, LH and testosterone levels and testicular inhibin content in beef bulls from birth to puberty. Anim. Reprod. Sci. 1989, 20, 165–178. [Google Scholar] [CrossRef]
- Ahmad, N.; Noakes, D.E.; Wilson, C.A. Secretory profiles of LH and testosterone in pubescent male goat kids. Small Rumin. Res. 1996, 21, 51–56. [Google Scholar] [CrossRef]
- Deng, S.-L.; Wang, Z.-P.; Jin, C.; Kang, X.-L.; Batool, A.; Zhang, Y.; Li, X.-Y.; Wang, X.-X.; Chen, S.-R.; Chang, C.-S.; et al. Melatonin promotes sheep Leydig cell testosterone secretion in a co-culture with Sertoli cells. Theriogenology 2018, 106, 170–177. [Google Scholar] [CrossRef] [PubMed]
- Paulíková, I.; Seidel, H.; Nagy, O.; Tóthová, C.; Kováč, G. Concentrations of thyroid hormones in various age categories of ruminants and swine. Acta Vet. Scand. 2011, 61, 489–503. [Google Scholar] [CrossRef]
- Chakraborty, P.K.; Stuart, L.D.; Brown, J.L. Puberty in the male Nubian Goat: Serum concentrations of LH, FSH and testosterone from birth through puberty and semen characteristics at sexual maturity. Anim. Reprod. Sci. 1989, 20, 91–101. [Google Scholar] [CrossRef]
- Teama, F.E.I. Evaluation of some oxidative-stress and antioxidant markers in goats during estrous cycle under Egyptian environmental conditions. Rev. Bras. Zootec. 2018, 47. [Google Scholar] [CrossRef] [Green Version]
- Huang, Y.; Wen, J.; Kong, Y.; Zhao, C.; Liu, S.; Liu, Y.; Li, L.; Yang, J.; Zhu, X.; Zhao, B.; et al. Oxidative status in dairy goats: Periparturient variation and changes in subclinical hyperketonemia and hypocalcemia. BMC Vet. Res. 2021, 17, 238. [Google Scholar] [CrossRef]
- Cecchini, S.; Fazio, F. Assessment of total (anti)oxidant status in goat kids. Arch. Anim. Breed. 2021, 64, 139–146. [Google Scholar] [CrossRef]
- Celi, P.; Trana, A.D.; Claps, S. Effects of plane of nutrition on oxidative stress in goats during the peripartum period. Vet. J. 2010, 184, 95–99. [Google Scholar] [CrossRef]
- Tsiplakou, E.; Mitsiopoulou, C.; Mavrommatis, A.; Karaiskou, C.; Chronopoulou, E.G.; Mavridis, G.; Sotirakoglou, K.; Labrou, N.E.; Zervas, G. Effect of under- and overfeeding on sheep and goat milk and plasma enzymes activities related to oxidation. J. Anim. Physiol. Anim. Nutr. 2018, 102, e288–e298. [Google Scholar] [CrossRef] [PubMed]
- Kurhaluk, N.; Tkachenko, H.; Czopowicz, M.; Sikora, J.; Urbańska, D.M.; Kawęcka, A.; Kaba, J.; Bagnicka, E. A Comparison of Oxidative Stress Biomarkers in the Serum of Healthy Polish Dairy Goats with Those Naturally Infected with Small Ruminant Lentivirus in the Course of Lactation. Animals 2021, 11, 1945. [Google Scholar] [CrossRef] [PubMed]
- Yatoo, M.I.; Saxena, A.; Deepa, P.M.; Habeab, B.P.; Devi, S.; Jatav, R.S.; Dimri, U. Role of trace elements in animals: A review. Vet. World 2013, 6, 963. [Google Scholar] [CrossRef] [Green Version]




| Time of Sampling | |||||
|---|---|---|---|---|---|
| M1 | M2 | M3 | M4 | M5 | |
| Temp (°C) | 6.9 | 8.5 | 14.7 | 20.0 | 22.0 |
| RH% | 67 | 69 | 70 | 76 | 83 |
| Wind-speed | 4.6 | 4.0 | 5.3 | 5.6 | 5.4 |
| THI (°C) | 4.41 | 6.66 | 13.28 | 20.04 | 22.4 |
| Ingredients | Concentration |
|---|---|
| Ash | 2% |
| Crude protein | 18% |
| Crude fiber | 5.44% |
| Dm | 91.5% |
| Ether extract | 7.63% |
| Moisture | 8.1% |
| Nitrogen-free extract | 58.83% |
| Organic matter | 88.64% |
| Calcium (Ca) | 6.3 gm/kg Dm |
| Cobalt (Co) | 0.3 mg/kg Dm |
| Chromium (Cr) | 1.9 mg/kg Dm |
| Copper (Cu) | 8.5 mg/kg Dm |
| Iron (Fe) | 191.5 mg/kg Dm |
| Potassium (K) | 4.9 gm/kg Dm |
| Magnesium (Mg) | 2.1 gm/kg Dm |
| Manganese (Mn) | 48.1 mg/kg Dm |
| Molybdenum (Mo) | 0.5 mg/kg Dm |
| Sodium (Na) | 2. 6 gm/kg Dm |
| Selenium (Se) | 0.5 mg/kg Dm |
| Zinc (Zn) | 37.0 mg/kg Dm |
| Parameter | Age (Month) | ||||
|---|---|---|---|---|---|
| M1 | M2 | M3 | M4 | M5 | |
| Respiratory rate | 71.0 a ± 7.0 | 64.0 b ± 4.0 | 55.0 b ± 5 | 51.0 b ± 4.0 | 57.0 b ± 4.0 |
| Heart rate | 150.0 a ± 10.0 | 119 ab ± 6.0 | 116.0 ab ± 10.0 | 96.0 b ± 9.0 | 87.0 b ± 9.0 |
| B. temperature | 39.5 a ± 0.3 | 38.7 a ± 0.7 | 39.0 a ± 0.2 | 39.4 a ± 0.4 | 39.6 a ± 0.4 |
| Body weight | 5.48 b ± 0.88 | 8.92 ab ± 1.25 | 9.28 ab ± 1.34 | 9.92 a ± 1.19 | 11.52 a ± 1.32 |
| Working Condition | Setting |
|---|---|
| Plasma gas flow | 15.0 L/minute |
| Auxiliary gas flow | 0.90 L/minute |
| Nebulizer gas flow | 0.90 L/minute |
| Sample flow rate | 0.55 mL/minute |
| HF-power | 1.60 kW |
| Nebulizer type | Micro Mist |
| Sampling depth | 9 mm |
| Integration time | 100 msec |
| Scans | 3 times |
| Scanning mode | Spectral analysis |
| Total analysis time | 78 h |
| Measured Isotopes | |
| Trace elements | 63Cu, 66Zn, 78Se,56Fe, 52Cr, 59Co, 55Mn,95Mo |
| Macroelements | 44Ca, 24Mg |
| Variables | Age (Month) | p Value | ||||
|---|---|---|---|---|---|---|
| M1 | M2 | M3 | M4 | M5 | ||
| RBC (106) | 13.3 (12–16) a | 12.9 (8.56–14.96) a | 12.8 (6–16) a | 11.8 (7.7–13.9) a | 11.7 (7.6–17.3) a | NS |
| Hb (gm/dL) | 9.9 (7.6–12.5) a | 10.45 (8.9–11.7) a | 9.8 (9–13) a | 8.6 (6.6–12.4) a | 10 (8.2–11.3) a | NS |
| HCT % | 34.4 (25–48) a | 33.2 (30.5–42.4) a | 33 (30–38.8) a | 29 (22.2–38)b | 31.4 (27–38) ab | * |
| MCV(fl) | 27.2 (21.4–37.2) a | 28.5 (22.5–37.2) a | 26.8 (19.6–55.2) a | 26.4 (20.5–31.6) a | 26.5 (19.1–39.2) a | NS |
| MCH (pg) | 7.6 (4.69–10.3) a | 7.9 (6.2–11.9) a | 8.6 (5.9–16.3) a | 7.8 (6.5–9.1) a | 8 (4.9–14.9) a | NS |
| MCHC (fl) | 29.2 (26.1–30.3) a | 28.1 (26.5–29.5) a | 28 (26.3–29.6) a | 29 (26–30.5) a | 29 (27.7–30.4) a | NS |
| RDW% | 20 (17.9–23.4) a | 21 (19.3–22.7) a | 19.9 (18–22.2) ab | 19.8 (18–23.5) bc | 19 (18.1–20.15) c | ** |
| PLT (104) | 16.7 (9.5–34.2) b | 25 (12.3–48.7) ab | 39.5 (14.4–75.5) a | 38 (13.4–82.1) a | 23.3 (15.7–55.4) ab | * |
| PCT% | 0.06 (0.03–0.13) c | 0.09 (0.04–42.4) bc | 0.14 (0.05–0.26) ab | 0.13 (0.05–0.3) ab | 0.08 (0.05–0.19) bc | * |
| MPV (fl) | 3.8 (3.3–4) a | 3.5 (2.7–3.9) ab | 3.4 (3.3–3.5) bc | 3.5 (3.4–3.7) ab | 3.4 (3.4–3.6) c | ** |
| PDW% | 7.4 (6.5–8.7) a | 6.8 (5.9–7.6)b | 7.3 (6.6–7.4) ab | 7 (6.2–8.1) a | 7.3 (6.5–7.6)b | * |
| WBC (102) | 154 (91–195) a | 186 (103–249) a | 166 (108–215) a | 167 (137–239) a | 184 (101–237) a | NS |
| Neut % | 29 (24–41) ab | 25.7 (6.52–33) b | 35 (7–45) ab | 36.7 (20–55) a | 32 (23–46) ab | NS |
| Lymph % | 57.4 (56–68) b | 70.6 (65–79) a | 67 (54–95) a | 62.6 (38–80) ab | 63.7 (48–74) ab | * |
| Mono % | 1.0 (1–12) a | 1.3 (0–6) a | 0.0 (0–5) ab | 0.0 (0–2) b | 0.0 (0–2) b | ** |
| Esino % | 3.0 (2–7) a | 1.8 (0–3) bc | 1.0 (0–4) c | 2.0 (0–5) bc | 2.0 (2–6) ab | ** |
Publisher’s Note: MDPI stays neutral with regard to jurisdictional claims in published maps and institutional affiliations. |
© 2022 by the authors. Licensee MDPI, Basel, Switzerland. This article is an open access article distributed under the terms and conditions of the Creative Commons Attribution (CC BY) license (https://creativecommons.org/licenses/by/4.0/).
Share and Cite
Mandour, A.S.; Samir, H.; El-Beltagy, M.A.; Hamabe, L.; Abdelmageed, H.A.; Watanabe, I.; Elfadadny, A.; Shimada, K.; El-Masry, G.; Al-Rejaie, S.; et al. Monthly Dynamics of Plasma Elements, Hematology, Oxidative Stress Markers, and Hormonal Concentrations in Growing Male Shiba Goats (Capra hircus) Reared in Tokyo-Japan. Animals 2022, 12, 645. https://doi.org/10.3390/ani12050645
Mandour AS, Samir H, El-Beltagy MA, Hamabe L, Abdelmageed HA, Watanabe I, Elfadadny A, Shimada K, El-Masry G, Al-Rejaie S, et al. Monthly Dynamics of Plasma Elements, Hematology, Oxidative Stress Markers, and Hormonal Concentrations in Growing Male Shiba Goats (Capra hircus) Reared in Tokyo-Japan. Animals. 2022; 12(5):645. https://doi.org/10.3390/ani12050645
Chicago/Turabian StyleMandour, Ahmed S., Haney Samir, Marwa A. El-Beltagy, Lina Hamabe, Hend A. Abdelmageed, Izumi Watanabe, Ahmed Elfadadny, Kazumi Shimada, Gamal El-Masry, Salim Al-Rejaie, and et al. 2022. "Monthly Dynamics of Plasma Elements, Hematology, Oxidative Stress Markers, and Hormonal Concentrations in Growing Male Shiba Goats (Capra hircus) Reared in Tokyo-Japan" Animals 12, no. 5: 645. https://doi.org/10.3390/ani12050645
APA StyleMandour, A. S., Samir, H., El-Beltagy, M. A., Hamabe, L., Abdelmageed, H. A., Watanabe, I., Elfadadny, A., Shimada, K., El-Masry, G., Al-Rejaie, S., Tanaka, R., & Watanabe, G. (2022). Monthly Dynamics of Plasma Elements, Hematology, Oxidative Stress Markers, and Hormonal Concentrations in Growing Male Shiba Goats (Capra hircus) Reared in Tokyo-Japan. Animals, 12(5), 645. https://doi.org/10.3390/ani12050645

