Compound Probiotics Improve the Diarrhea Rate and Intestinal Microbiota of Newborn Calves
Abstract
Simple Summary
Abstract
1. Introduction
2. Materials and Methods
2.1. Animals and Sample Collection
2.2. Weight, Diarrhea Rate, and Fecal Score
2.3. DNA Extraction and Sequencing
2.4. Statistics Analysis
3. Results
3.1. Average Daily Gain, Fecal Score, and Diarrhea Rate
3.2. 16S rRNA Gene Sequencing and Microbial Diversity
3.3. Beta Diversity
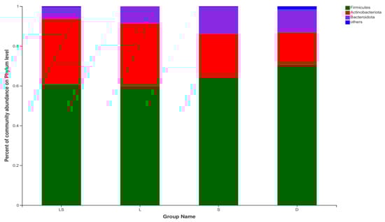
3.4. Bacterial Community Taxonomic Composition
3.5. Microbial Signatures
4. Discussion
5. Conclusions
Supplementary Materials
Author Contributions
Funding
Institutional Review Board Statement
Informed Consent Statement
Data Availability Statement
Acknowledgments
Conflicts of Interest
References
- Longstreth, G.F.; Thompson, W.G.; Chey, W.D.; Houghton, L.A.; Mearin, F.; Spiller, R.C. Functional bowel disorders. Gastroenterology 2006, 130, 1480–1491. [Google Scholar] [CrossRef] [PubMed]
- Moon, H.W.; Isaacson, R.E.; Pohlenz, J. Mechanisms of association of enteropathogenic Escherichia coli with intestinal epithelium. Am. J. Clin. Nutr. 1979, 32, 119–127. [Google Scholar] [CrossRef] [PubMed]
- Qin, J.; Li, R.; Raes, J.; Arumugam, M.; Burgdorf, K.S.; Manichanh, C.; Nielsen, T.; Pons, N.; Levenez, F.; Yamada, T.; et al. A human gut microbial gene catalogue established by metagenomic sequencing. Nature 2010, 464, 59–65. [Google Scholar] [CrossRef] [PubMed]
- Cho, Y.I.; Yoon, K.J. An overview of calf diarrhea—infectious etiology, diagnosis, and intervention. J. Vet. Sci. 2014, 15, 1–17. [Google Scholar] [CrossRef] [PubMed]
- Oikonomou, G.; Teixeira, A.G.V.; Foditsch, C.; Bicalho, M.L.; Machado, V.S.; Bicalho, R.C. Fecal microbial diversity in pre-weaned dairy calves as described by pyrosequencing of metagenomic 16S rDNA. Associations of Faecalibacterium species with health and growth. PLoS ONE 2013, 8, e63157. [Google Scholar] [CrossRef] [PubMed]
- Lee, Y.E.; Kang, I.J.; Yu, E.A.; Kim, S.; Lee, H.J. Effect of feeding the combination with Lactobacillus plantarum and Bacillus subtilis on fecal microflora and diarrhea incidence of Korean native calves. Korean J. Vet. Serv. 2012, 35, 343–346. [Google Scholar] [CrossRef][Green Version]
- Xu, H.; Zhao, F.; Hou, Q.; Huang, W.; Liu, Y.; Zhang, H.; Sun, Z. Metagenomic analysis revealed beneficial effects of probiotics in improving the composition and function of the gut microbiota in dogs with diarrhea. Food Funct. 2019, 10, 2618–2629. [Google Scholar] [CrossRef]
- Kawakami, S.I.; Yamada, T.; Nakanishi, N.; Cai, Y. Feeding of lactic acid bacteria and yeast affects fecal flora of Holstein calves. J. Anim. Vet. Adv. 2011, 10, 269–271. [Google Scholar] [CrossRef][Green Version]
- An, H.M.; Lee, D.K.; Cha, M.K.; Lee, S.W.; Lee, S.J.; Kim, B.S.; Ha, N.J. Effects of Lactic Acid Bacteria (LAB) supplement on the growth rate and elimination of enteropathogenic bacteria in calves. Biotechnol. Biotechnol. Equip. 2011, 25, 2597–2603. [Google Scholar] [CrossRef]
- Vesterlund, S.; Karp, M.; Salminen, S.; Ouwehand, A.C. Staphylococcus aureus adheres to human intestinal mucus but can be displaced by certain lactic acid bacteria. Microbiology 2006, 152, 1819–1826. [Google Scholar] [CrossRef]
- Magoč, T.; Salzberg, S.L. FLASH: Fast length adjustment of short reads to improve genome assemblies. Bioinformatics 2011, 27, 2957–2963. [Google Scholar] [CrossRef] [PubMed]
- Ning, Y.; Qi, J.; Dobbins, M.T.; Liang, X.; Wang, J.; Chen, S.; Ma, J.; Jiang, G. Comparative analysis of microbial community structure and function in the gut of wild and captive Amur tiger. Front. Microbiol. 2020, 11, 1665. [Google Scholar] [CrossRef] [PubMed]
- Caporaso, J.G.; Lauber, C.L.; Walters, W.A.; Berg-Lyons, D.; Huntley, J.; Fierer, N.; Owens, S.M.; Betley, J.; Fraser, L.; Bauer, M.; et al. Ultra-high-throughput microbial community analysis on the Illumina HiSeq and MiSeq platforms. ISME J. 2012, 6, 1621–1624. [Google Scholar] [CrossRef] [PubMed]
- Chen, S.; Zhou, Y.; Chen, Y.; Gu, J. fastp: An ultra-fast all-in-one FASTQ preprocessor. Bioinformatics 2018, 34, i884–i890. [Google Scholar] [CrossRef]
- Edgar, R.C. UPARSE: Highly accurate OTU sequences from microbial amplicon reads. Nat. Methods 2013, 10, 996–998. [Google Scholar] [CrossRef]
- Wu, Z.; Zhang, Q.; Lin, Y.; Hao, J.; Wang, S.; Zhang, J.; Li, A. Taxonomic and functional characteristics of the gill and gastrointestinal microbiota and its correlation with intestinal metabolites in NEW GIFT strain of farmed adult Nile Tilapia (Oreochromis niloticus). Microorganisms 2021, 9, 617. [Google Scholar] [CrossRef]
- Welkie, D.G.; Stevenson, D.M.; Weimer, P.J. ARISA analysis of ruminal bacterial community dynamics in lactating dairy cows during the feeding cycle. Anaerobe 2010, 16, 94–100. [Google Scholar] [CrossRef]
- Foditsch, C.; Pereira, R.; Ganda, E.K.; Gomez, M.S.; Marques, E.C.; Santin, T.; Bicalho, R.C. Oral administration of Faecalibacterium prausnitzii decreased the incidence of severe diarrhea and related mortality rate and increased weight gain in preweaned dairy heifers. PLoS ONE 2015, 10, e0145485. [Google Scholar] [CrossRef]
- Pascher, M.; Hellweg, P.; Khol-Parisini, A.; Zentek, J. Effects of a probiotic Lactobacillus acidophilus strain on feed tolerance in dogs with non-specific dietary sensitivity. Arch. Anim. Nutr. 2008, 62, 107–116. [Google Scholar] [CrossRef]
- Zeng, J.; Pan, Y.; Yang, J.; Hou, M.; Zeng, Z.; Xiong, W. Metagenomic insights into the distribution of antibiotic resistome between the gut-associated environments and the pristine environments. Environ. Int. 2019, 126, 346–354. [Google Scholar] [CrossRef]
- Yang, C.; Huang, W.; Sun, Y.; You, L.; Jin, H.; Sun, Z. Effect of probiotics on diversity and function of gut microbiota in Moschus berezovskii. Arch. Microbiol. 2021, 203, 3305–3315. [Google Scholar] [CrossRef] [PubMed]
- Grześkowiak, Ł.; Endo, A.; Beasley, S.; Salminen, S. Microbiota and probiotics in canine and feline welfare. Anaerobe 2015, 34, 14–23. [Google Scholar] [CrossRef] [PubMed]
- Bayatkouhsar, J.; Tahmasebi, A.M.; Naserian, A.A.; Mokarram, R.R.; Valizadeh, R. Effects of supplementation of lactic acid bacteria on growth performance, blood metabolites and fecal coliform and lactobacilli of young dairy calves. Anim. Feed Sci. Technol. 2013, 186, 1–11. [Google Scholar] [CrossRef]
- Shanks, O.C.; Kelty, C.A.; Archibeque, S.; Jenkins, M.; Newton, R.J.; McLellan, S.L.; Huse, S.M.; Sogin, M.L. Community structures of fecal bacteria in cattle from different animal feeding operations. Appl. Environ. Microbiol. 2011, 77, 2992–3001. [Google Scholar] [CrossRef]
- Singh, K.M.; Ahir, V.B.; Tripathi, A.; Ramani, U.V.; Sajnani, M.; Koringa, P.G.; Jakhesara, S.; Pandya, P.R.; Rank, D.N.; Murty, D.S.; et al. Metagenomic analysis of Surti buffalo (Bubalus bubalis) rumen: A preliminary study. Mol. Biol. Rep. 2012, 39, 4841–4848. [Google Scholar] [CrossRef]
- Aricha, H.; Simujide, H.; Wang, C.; Zhang, J.; Lv, W.; Jimisi, X.; Liu, B.; Chen, H.; Zhang, C.; He, L.; et al. Comparative analysis of fecal microbiota of grazing Mongolian cattle from different regions in Inner Mongolia, China. Animals 2021, 11, 1938. [Google Scholar] [CrossRef]
- Sommer, F.; Ståhlman, M.; Ilkayeva, O.; Arnemo, J.M.; Kindberg, J.; Josefsson, J.; Newgard, C.B.; Fröbert, O.; Bäckhed, F. The gut microbiota modulates energy metabolism in the hibernating brown bear Ursus arctos. Cell Rep. 2016, 14, 1655–1661. [Google Scholar] [CrossRef]
- Binda, C.; Lopetuso, L.R.; Rizzatti, G.; Gibiino, G.; Cennamo, V.; Gasbarrini, A. Actinobacteria: A relevant minority for the maintenance of gut homeostasis. Dig. Liver Dis. 2018, 50, 421–428. [Google Scholar] [CrossRef]
- Pokusaeva, K.; Fitzgerald, G.F.; Sinderen, D.V. Carbohydrate metabolism in Bifidobacteria. Genes Nutr. 2011, 6, 285–306. [Google Scholar] [CrossRef]
- Lyons, A.; O’Mahony, D.; O’Brien, F.; Mac Sharry, J.; Sheil, B.; Ceddia, M.; Russell, W.M.; Forsythe, P.; Bienenstock, J.; Kiely, B.; et al. Bacterial strain-specific induction of Foxp3+T regulatory cells is protective in murine allergy models. Clin. Exp. Allergy 2010, 40, 811–819. [Google Scholar] [CrossRef]
- Gutzwiller, A.; Jost, M. Piglet diarrhea and oedema: Disease prevention is better. Agrarforschung 1998, 5, 459–462. [Google Scholar]
- Botelho, P.B.; Ferreira, M.; de Mesquita Araújo, A.; Mendes, M.M.; Nakano, E.Y. Effect of multi-species probiotic on gut microbiota composition on healthy individuals with intestinal constipation: A double-blind, placebo-controlled randomized trial. Nutrition 2020, 78, 110890. [Google Scholar] [CrossRef] [PubMed]
- Nakashima, A.; Sasaki, K.; Sasaki, D.; Yasuda, K.; Suzuki, K.; Kondo, A. The alga Euglena gracilis stimulates Faecalibacterium in the gut and contributes to increased defecation. Sci. Rep. 2021, 11, 1074. [Google Scholar] [CrossRef]
- Zitvogel, L.; Kroemer, G. Immunostimulatory gut bacteria. Science 2019, 366, 1077–1078. [Google Scholar] [CrossRef] [PubMed]







| Items 1 | Content of Milk Substitute 2 | Content of Calf Starter |
|---|---|---|
| Dry matter (%) | 90.16 | 87.2 |
| Crude protein (%) | 22.6 | 20.6 |
| Ether extract (%) | 17.8 | 4.56 |
| Ash (%) | 5.62 | 8.06 |
| Crude fiber (%) | 0.18 | 10.89 |
| Calcium (%) | 0.71 | 1.12 |
| Phosphorus (%) | 0.61 | 0.51 |
| Item | Groups 1 | SEM | p-Value | |||
|---|---|---|---|---|---|---|
| LS | L | S | D | |||
| Initial body weight (Kg) | 36 | 36.3 | 36.4 | 36.6 | 1.93 | 0.053 |
| Final body weight (Kg) | 45.23 a | 45.03 a | 45.46 a | 43.69 b | 2.19 | 0.049 |
| ADG (Kg/day) | 0.6 | 0.6 | 0.61 | 0.47 | 0.13 | 0.227 |
| Fecal score | ||||||
| Fecal score day 1 | 2.4 | 2.3 | 2.3 | 2.2 | 0.46 | 0.202 |
| Fecal score day 2 | 2.4 | 2.2 | 2.3 | 2.3 | 0.46 | 0.202 |
| Fecal score day 3 | 2.4 | 2.5 | 2.5 | 2.6 | 0.68 | 0.272 |
| Fecal score day 4 | 2.4 | 2.4 | 2.6 | 3 | 0.74 | 0.286 |
| Fecal score day 5 | 2.3 | 2.1 | 2.3 | 3.1 | 0.68 | 0.277 |
| Fecal score day 6 | 2.2 | 2.2 | 2.1 | 2.4 | 0.42 | 0.19 |
| Fecal score day 7 | 2.1 | 2.2 | 2.1 | 2.1 | 0.33 | 0.158 |
| Fecal score day 8 | 2.2 | 2.1 | 2.2 | 2.1 | 0.36 | 0.168 |
| Fecal score day 9 | 2.2 | 2.2 | 2.1 | 2.4 | 0.42 | 0.19 |
| Fecal score day 10 | 2.5 | 2.3 | 2.6 | 2.8 | 0.63 | 0.25 |
| Fecal score day 11 | 2.3 | 2.3 | 2.3 | 2.9 | 0.59 | 0.244 |
| Fecal score day 12 | 2.3 | 2.2 | 2.3 | 2.2 | 0.44 | 0.195 |
| Fecal score day 13 | 2.3 | 2.2 | 2.2 | 2.2 | 0.42 | 0.19 |
| Fecal score day 14 | 2.2 | 2.2 | 2.2 | 2.3 | 0.42 | 0.19 |
| Fecal score day 15 | 2.2 | 2.3 | 2.2 | 2.7 | 0.58 | 0.247 |
| Diarrhea rate (%) | 22 | 28 | 26 | 39 | ||
| Group 1 | Community Diversity | Community Richness | Goods_Coverage (%) | ||
|---|---|---|---|---|---|
| Shannon | Simpson | Chao1 | ACE | ||
| LS | 0.86 ± 0.042 a | 0.48 ± 0.028 a | 9.67 ± 1.24 a | 10.21 ± 1.39 a | 99.99 ± 0.001 a |
| L | 0.86 ± 0.108 a | 0.48 ± 0.086 a | 7.20 ± 2.16 b | 7.26 ± 1.43 b | 99.99 ± 0.001 a |
| S | 0.89 ± 0.046 a | 0.49 ± 0.039 a | 7.00 ± 1.22 b | 7.64 ± 1.13 b | 99.99 ± 0.001 a |
| D | 0.85 ± 0.054 a | 0.54 ± 0.033 a | 5.00 ± 0.71 c | 5.60 ± 0.89 c | 99.99 ± 0.001 a |
| p-Value | 0.798 | 0.253 | <0.001 | <0.001 | 0.99 |
Publisher’s Note: MDPI stays neutral with regard to jurisdictional claims in published maps and institutional affiliations. |
© 2022 by the authors. Licensee MDPI, Basel, Switzerland. This article is an open access article distributed under the terms and conditions of the Creative Commons Attribution (CC BY) license (https://creativecommons.org/licenses/by/4.0/).
Share and Cite
Liu, B.; Wang, C.; Huasai, S.; Han, A.; Zhang, J.; He, L.; Aorigele, C. Compound Probiotics Improve the Diarrhea Rate and Intestinal Microbiota of Newborn Calves. Animals 2022, 12, 322. https://doi.org/10.3390/ani12030322
Liu B, Wang C, Huasai S, Han A, Zhang J, He L, Aorigele C. Compound Probiotics Improve the Diarrhea Rate and Intestinal Microbiota of Newborn Calves. Animals. 2022; 12(3):322. https://doi.org/10.3390/ani12030322
Chicago/Turabian StyleLiu, Bo, Chunjie Wang, Simujide Huasai, Aricha Han, Jian Zhang, Lina He, and Chen Aorigele. 2022. "Compound Probiotics Improve the Diarrhea Rate and Intestinal Microbiota of Newborn Calves" Animals 12, no. 3: 322. https://doi.org/10.3390/ani12030322
APA StyleLiu, B., Wang, C., Huasai, S., Han, A., Zhang, J., He, L., & Aorigele, C. (2022). Compound Probiotics Improve the Diarrhea Rate and Intestinal Microbiota of Newborn Calves. Animals, 12(3), 322. https://doi.org/10.3390/ani12030322

