Investigation of Thresholds for Asymmetry Indices to Represent the Visual Assessment of Single Limb Lameness by Expert Veterinarians on Horses Trotting in a Straight Line
Abstract
:Simple Summary
Abstract
1. Introduction
2. Materials and Methods
2.1. Horses
2.2. Locomotor Examination
2.3. Data Collection
2.4. Data Processing
2.5. Data Analysis
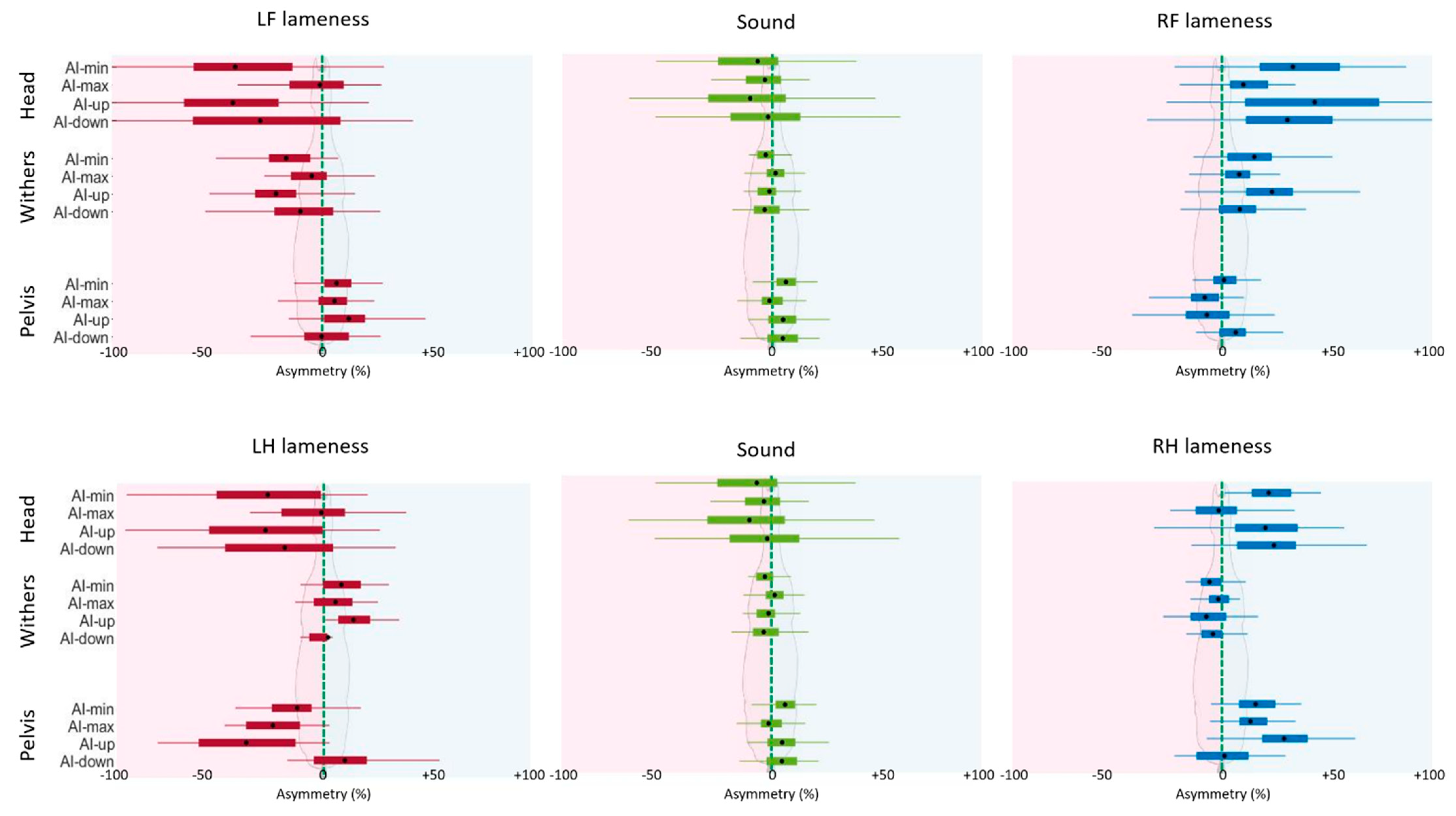
3. Results
3.1. Descriptive Results
3.2. Forelimb Lameness Discrimination
3.3. Hindlimb Lameness Discrimination
3.4. Asymmetry Thresholds of Reliable Indices
4. Discussion
5. Conclusions
Supplementary Materials
Author Contributions
Funding
Institutional Review Board Statement
Informed Consent Statement
Data Availability Statement
Acknowledgments
Conflicts of Interest
References
- Keegan, K.G.; Dent, E.V.; Wilson, D.A.; Janicek, J.; Kramer, J.; Lacarrubba, A.; Walsh, D.M.; Cassells, M.W.; Esther, T.M.; Schiltz, P.; et al. Repeatability of subjective evaluation of lameness in horses: Repeatability of subjective evaluation of lameness in horses. Equine Vet. J. 2010, 42, 92–97. [Google Scholar] [CrossRef] [PubMed]
- Starke, S.D.; Oosterlinck, M. Reliability of equine visual lameness classification as a function of expertise, lameness severity and rater confidence. Vet. Rec. 2019, 184, 63. [Google Scholar] [CrossRef] [PubMed]
- Marin, F. Human and Animal Motion Tracking Using Inertial Sensors. Sensors 2020, 20, 6074. [Google Scholar] [CrossRef] [PubMed]
- Warner, S.M.; Koch, T.O.; Pfau, T. Inertial sensors for assessment of back movement in horses during locomotion over ground: Inertial sensors for back movement. Equine Vet. J. 2010, 42, 417–424. [Google Scholar] [CrossRef]
- Buchner, H.H.F.; Savelberg, H.H.C.M.; Schamhardt, H.C.; Barneveld, A. Head and trunk movement adaptations in horses with experimentally induced fore- or hindlimb lameness. Equine Vet. J. 1996, 28, 71–76. [Google Scholar] [CrossRef] [PubMed]
- Kramer, J.; Keegan, K.G.; Kelmer, G.; Wilson, D.A. Objective determination of pelvic movement during hind limb lameness by use of a signal decomposition method and pelvic height differences. Am. J. Vet. Res. 2004, 65, 741–747. [Google Scholar] [CrossRef]
- Keegan, K.G.; Pai, P.F.; Wilson, D.A.; Smith, B.K. Signal decomposition method of evaluating head movement to measure induced forelimb lameness in horses trotting on a treadmill. Equine Vet. J. 2010, 33, 446–451. [Google Scholar] [CrossRef]
- Kallerud, A.S.; Fjordbakk, C.T.; Hendrickson, E.H.S.; Persson-Sjodin, E.; Hammarberg, M.; Rhodin, M.; Hernlund, E. Objectively measured movement asymmetry in yearling Standardbred trotters. Equine Vet. J. 2021, 53, 590–599. [Google Scholar] [CrossRef]
- Greve, L.; Pfau, T.; Dyson, S. Thoracolumbar movement in sound horses trotting in straight lines in hand and on the lunge and the relationship with hind limb symmetry or asymmetry. Vet. J. 2017, 220, 95–104. [Google Scholar] [CrossRef] [Green Version]
- Scheidegger, M.D.; Gerber, V.; Dolf, G.; Burger, D.; Flammer, A.; Ramseyer, A. Quantitative gait analysis before and after a cross-country test in a population of elite eventing horses. J. Equine Vet. Sci. 2022, 117, 104077. [Google Scholar] [CrossRef]
- Rhodin, M.; Persson-Sjodin, E.; Egenvall, A.; Serra Bragança, F.M.; Pfau, T.; Roepstorff, L.; Weishaupt, M.A.; Thomsen, M.H.; van Weeren, P.R.; Hernlund, E. Vertical movement symmetry of the withers in horses with induced forelimb and hindlimb lameness at trot. Equine Vet. J. 2018, 50, 818–824. [Google Scholar] [CrossRef] [PubMed]
- Reed, S.K.; Kramer, J.; Thombs, L.; Pitts, J.B.; Wilson, D.A.; Keegan, K.G. Comparison of results for body-mounted inertial sensor assessment with final lameness determination in 1224 equids. J. Am. Vet. Med. Assoc. 2020, 256, 590–599. [Google Scholar] [CrossRef] [PubMed] [Green Version]
- McCracken, M.J.; Kramer, J.; Keegan, K.G.; Lopes, M.; Wilson, D.A.; Reed, S.K.; LaCarrubba, A.; Rasch, M. Comparison of an inertial sensor system of lameness quantification with subjective lameness evaluation: Comparison of inertial system with subjective lameness evaluation. Equine Vet. J. 2012, 44, 652–656. [Google Scholar] [CrossRef]
- Keegan, K.G.; Kramer, J.; Yonezawa, Y.; Maki, H.; Pai, P.F.; Dent, E.V.; Kellerman, T.E.; Wilson, D.A.; Reed, S.K. Assessment of repeatability of a wireless, inertial sensor–based lameness evaluation system for horses. Am. J. Vet. Res. 2011, 72, 1156–1163. [Google Scholar] [CrossRef] [PubMed]
- Pfau, T.; Boultbee, H.; Davis, H.; Walker, A.; Rhodin, M. Agreement between two inertial sensor gait analysis systems for lameness examinations in horses. Equine Vet. Educ. 2016, 28, 203–208. [Google Scholar] [CrossRef] [Green Version]
- Kallerud, A.S.; Hernlund, E.; Byström, A.; Persson-Sjodin, E.; Rhodin, M.; Hendrickson, E.H.S.; Fjordbakk, C.T. Non-banked curved tracks influence movement symmetry in two-year-old Standardbred trotters. Equine Vet. J. 2021, 53, 1178–1187. [Google Scholar] [CrossRef]
- Rhodin, M.; Egenvall, A.; Haubro Andersen, P.; Pfau, T. Head and pelvic movement asymmetries at trot in riding horses in training and perceived as free from lameness by the owner. PLoS ONE 2017, 12, e0176253. [Google Scholar] [CrossRef] [Green Version]
- Movement asymmetries in 200 non-lame elite and non-elite horses during in-hand trot. Equine Vet. J. 2021, 53, 10. [CrossRef]
- Weeren, P.R.; Pfau, T.; Rhodin, M.; Roepstorff, L.; Serra Bragança, F.; Weishaupt, M.A. Do we have to redefine lameness in the era of quantitative gait analysis? Equine Vet. J. 2017, 49, 567–569. [Google Scholar] [CrossRef] [Green Version]
- Serra Bragança, F.M.; Rhodin, M.; van Weeren, P.R. On the brink of daily clinical application of objective gait analysis: What evidence do we have so far from studies using an induced lameness model? Vet. J. 2018, 234, 11–23. [Google Scholar] [CrossRef]
- Pfau, T.; Sepulveda Caviedes, M.F.; McCarthy, R.; Cheetham, L.; Forbes, B.; Rhodin, M. Comparison of visual lameness scores to gait asymmetry in racing Thoroughbreds during trot in-hand. Equine Vet. Educ. 2020, 32, 191–198. [Google Scholar] [CrossRef]
- May, S.A.; Wyn-Jones, G. Identification of hindleg lameness. Equine Vet. J. 1987, 19, 185–188. [Google Scholar] [CrossRef] [PubMed]
- Dyson, S. Can lameness be graded reliably?: Can lameness be graded reliably? Equine Vet. J. 2011, 43, 379–382. [Google Scholar] [CrossRef] [PubMed]
- Arkell, M.; Archer, R.M.; Guitian, F.J.; May, S.A. Evidence of bias affecting the interpretation of the results of local anaesthetic nerve blocks when assessing lameness in horses. Vet. Rec. 2006, 159, 346–348. [Google Scholar] [CrossRef] [PubMed]
- Hatrisse, C.; Macaire, C.; Sapone, M.; Hebert, C.; Hanne-Poujade, S.; De Azevedo, E.; Marin, F.; Martin, P.; Chateau, H. Stance Phase Detection by Inertial Measurement Unit Placed on the Metacarpus of Horses Trotting on Hard and Soft Straight Lines and Circles. Sensors 2022, 22, 703. [Google Scholar] [CrossRef]
- Pfau, T.; Witte, T.H.; Wilson, A.M. A method for deriving displacement data during cyclical movement using an inertial sensor. J. Exp. Biol. 2005, 208, 2503–2514. [Google Scholar] [CrossRef] [Green Version]
- Oppong, F.B.; Agbedra, S.Y. Assessing Univariate and Multivariate Normality, A Guide For Non-Statisticians. Math. Theory Model. 2016, 6, 26–33. [Google Scholar]
- Saporta, G. Probabilités, Analyse des Données et Statistique, 2nd ed.; révisée et augm.; Editions Technip: Paris, France, 2008; ISBN 978-2-7108-0814-5. [Google Scholar]
- Power, M.; Fell, G.; Wright, M. Principles for high-quality, high-value testing. Evid. Based Med. 2013, 18, 5–10. [Google Scholar] [CrossRef] [Green Version]
- Marunova, E.; Dod, L.; Witte, S.; Pfau, T. Smartphone-Based Pelvic Movement Asymmetry Measures for Clinical Decision Making in Equine Lameness Assessment. Animals 2021, 11, 1665. [Google Scholar] [CrossRef]
- Hardeman, A.; Serra Braganca, F.M.; Koene, M.; Swagemakers, J.-H.; van Weeren, P.R.; Roepstorff, L. Variation in Gait Symmetry Parameters in Sound Horses at Trot, on the Straight Line and on the Lunge; Utrecht University: Utrecht, The Netherlands, 2018. [Google Scholar] [CrossRef]
- Hardeman, A.M.; Egenvall, A.; Serra Bragança, F.M.; Koene, M.H.W.; Swagemakers, J.; Roepstorff, L.; Weeren, R.; Byström, A. Movement asymmetries in horses presented for prepurchase or lameness examination. Equine Vet. J. 2021, evj.13453. [Google Scholar] [CrossRef]
- Hopkins, S.; Pfau, T. Effect of Side of Handling on Movement Symmetry in Horses. Equine Vet. J. 2014, 46, 42. [Google Scholar] [CrossRef] [Green Version]
- Serra Bragança, F.M.; Roepstorff, C.; Rhodin, M.; Pfau, T.; van Weeren, P.R.; Roepstorff, L. Quantitative lameness assessment in the horse based on upper body movement symmetry: The effect of different filtering techniques on the quantification of motion symmetry. Biomed. Signal Process. Control 2020, 57, 101674. [Google Scholar] [CrossRef]
- Pfau, T.; Noordwijk, K.; Sepulveda Caviedes, M.F.; Persson-Sjodin, E.; Barstow, A.; Forbes, B.; Rhodin, M. Head, withers and pelvic movement asymmetry and their relative timing in trot in racing Thoroughbreds in training. Equine Vet. J. 2018, 50, 117–124. [Google Scholar] [CrossRef] [PubMed] [Green Version]
- Audigié, F.; Pourcelot, P.; Degueurce, C.; Geiger, D.; Denoix, J.M. Fourier analysis of trunk displacements: A method to identify the lame limb in trotting horses. J. Biomech. 2002, 35, 1173–1182. [Google Scholar] [CrossRef] [PubMed]
- Movement Symmetry of the Withers Can be Used to Discriminate Primary Forelimb Lameness From Compensatory Forelimb Asymmetry in Horses with Induced Lameness. Equine Vet. J. 2016, 48, 32–33. [CrossRef]
- Pfau, T.; Jennings, C.; Mitchell, H.; Olsen, E.; Walker, A.; Egenvall, A.; Tröster, S.; Weller, R.; Rhodin, M. Lungeing on hard and soft surfaces: Movement symmetry of trotting horses considered sound by their owners: Movement symmetry on hard and soft surfaces on the lunge. Equine Vet. J. 2016, 48, 83–89. [Google Scholar] [CrossRef]






| Clinical Lameness Grade | 2/10 | 3/10 | 4/10 | 5/10 | 6/10 | Total | Mean ± SD |
|---|---|---|---|---|---|---|---|
| Right Forelimb lameness | 35 | 9 | 17 | 4 | 2 | 67 | 1.5 ± 0.7 |
| Left Forelimb lameness | 40 | 9 | 7 | 4 | 2 | 62 | 1.4 ± 0.8 |
| Right Hindlimb lameness | 7 | 4 | 11 | 0 | 1 | 23 | 1.7 ± 0.5 |
| Left Hindlimb lameness | 7 | 6 | 5 | 1 | 4 | 23 | 1.8 ± 0.6 |
| Location | AI1 | Sound | RF2 | LF3 | RH4 | LH5 |
|---|---|---|---|---|---|---|
| Head (_H) | AI-min_H (%) | −7 ± 29 | 34 ± 30 | −41 ± 38 | 22 ± 18 | −27 ± 33 |
| AI-max_H (%) | −4 ± 12 | 10 ± 17 | −1 ± 27 | −2 ± 16 | −1 ± 27 | |
| AI-up_H (%) | −11 ± 29 | 44 ± 36 | −42 ± 36 | 21 ± 21 | −28 ± 36 | |
| AI-down_H (%) | −2 ± 29 | 31 ± 35 | −29 ± 37 | 25 ± 21 | −19 ± 32 | |
| Withers (_W) | AI-min_W (%) | −3 ± 8 | 16 ± 15 | −17 ± 18 | −6 ± 8 | 9 ± 13 |
| AI-max_W (%) | 2 ± 8 | 8 ± 9 | −5 ± 14 | −2 ± 7 | 6 ± 12 | |
| AI-up_W (%) | −1 ± 9 | 24 ± 20 | −22 ± 14 | −7 ± 13 | 15 ± 18 | |
| AI-down_W (%) | −3 ± 11 | 9 ± 14 | −10 ± 24 | −4 ± 7 | 2 ± 15 | |
| Pelvis (_P) | AI-min_P (%) | 6 ± 8 | 1 ± 8 | 7 ± 10 | 16 ± 12 | −13 ± 19 |
| AI-max_P (%) | −1 ± 9 | −8 ± 11 | 6 ± 12 | 14 ± 10 | −25 ± 16 | |
| AI-up_P (%) | 5 ± 13 | −7 ± 15 | 13 ± 16 | 30 ± 17 | −38 ± 27 | |
| AI-down_P (%) | 5 ± 11 | 7 ± 11 | 0 ± 14 | 1 ± 15 | 10 ± 18 |
| AI | AUC RF1 (%) | Sensitivity RF (%) | Specificity RF (%) | Threshold RF (%) | AUC LF2 (%) | Sensitivity LF (%) | Specificity LF (%) | Threshold LF (%) |
|---|---|---|---|---|---|---|---|---|
| AI-min_H | 86 [78;93] | 86 [78;95] | 84 [73;92] | 6 [−6;13] | 79 [71;87] | 69 [54;78] | 84 [73;96] | −30 [−38;−24] |
| AI-max_H | 79 [70;87] | 75 [64;86] | 78 [63;87] | 5 [−1;10] | 48 [38;59] | 46 [29;53] | 69 [53;87] | −10 [−24;−4] |
| AI-up_H | 90 [84;95] | 76 [62;81] | 92 [85;100] | 24 [14;45] | 79 [70;87] | 66 [51;76] | 86 [74;100] | −36 [−49;−26] |
| AI-down_H | 79 [70;87] | 73 [61;81] | 82 [70;94] | 17 [10;25] | 73 [65;83] | 66 [56;79] | 80 [66;85] | −25 [−29;−18] |
| AI-min_W | 90 [83;95] | 81 [68;90] | 84 [71;93] | 3 [−2;6] | 79 [71;87] | 69 [57;79] | 88 [77;98] | −10 [−14;−8] |
| AI-max_W | 77 [68;86] | 70 [56;81] | 73 [59;85] | 6 [3;9] | 71 [61;79] | 63 [48;72] | 76 [65;89] | −2 [−6;0] |
| AI-up_W | 91 [85;96] | 85 [77;93] | 88 [78;95] | 7 [1;10] | 91 [85;95] | 84 [74;91] | 92 [84;100] | −10 [−13;−8] |
| AI-down_W | 72 [61;80] | 61 [41;75] | 71 [49;89] | 1 [−7;7] | 58 [48;69] | 48 [22;58] | 73 [56;100] | −8 [−16;−4] |
| AI-min_P | 70 [59;78] | 69 [56;85] | 65 [45;74] | 4 [1;7] | 55 [43;64] | 69 [59;95] | 47 [18;54] | 5 [−2;7] |
| AI-max_P | 72 [63;81] | 67 [55;77] | 78 [66;89] | −5 [−7;−4] | 70 [60;79] | 71 [58;86] | 63 [44;73] | 1 [−2;4] |
| AI-up_P | 76 [67;84] | 69 [55;78] | 78 [66;90] | −3 [−7;0] | 67 [57;77] | 63 [52;77] | 69 [48;76] | 10 [6;13] |
| AI-down_P | 55 [44;67] | 49 [32;59] | 63 [48;78] | 7 [4;12] | 61 [50;71] | 56 [47;68] | 69 [53;81] | 1 [−3;6] |
| AI | AUC RH1 (%) | Sensitivity RH (%) | Specificity RH (%) | Threshold RH (%) | AUC LH2 (%) | Sensitivity LH (%) | Specificity LH (%) | Threshold LH (%) |
|---|---|---|---|---|---|---|---|---|
| AI-min_H | 84 [75;93] | 87 [73;100] | 84 [73;95] | 8 [4;11] | 60 [45;76] | 43 [6;47] | 76 [64;100] | −25 [−53;−16] |
| AI-max_H | 51 [36;66] | 57 [34;70] | 51 [23;63] | −5 [−14;3] | 48 [32;66] | 43 [17;45] | 67 [47;84] | 3 [−2;24] |
| AI-up_H | 81 [71;91] | 87 [74;100] | 67 [47;75] | −1 [−18;7] | 60 [46;75] | 57 [37;73] | 61 [33;78] | −19 [−42;6] |
| AI-down_H | 80 [69;89] | 70 [41;77] | 80 [67;100] | 16 [8;35] | 58 [43;73] | 43 [8;49] | 78 [66;100] | −22 [−53;−14] |
| AI-min_W | 62 [47;76] | 65 [46;82] | 71 [55;83] | −6 [−10;−3] | 75 [61;86] | 70 [50;85] | 73 [57;86] | 0 [−4;3] |
| AI-max_W | 59 [43;72] | 57 [37;70] | 65 [46;79] | 0 [−4;3] | 70 [55;84] | 70 [51;88] | 80 [66;92] | 7 [4;9] |
| AI-up_W | 62 [46;76] | 52 [29;64] | 92 [74;100] | −11 [−21;−5] | 81 [67;92] | 83 [70;100] | 78 [59;87] | 3 [−6;7] |
| AI-down_W | 54 [41;68] | 52 [20;64] | 57 [37;75] | −5 [−12;−1] | 55 [41;69] | 52 [19;59] | 65 [53;90] | −7 [−13;−4] |
| AI-min_P | 72 [58;84] | 70 [53;91] | 65 [33;78] | 10 [1;15] | 89 [77;98] | 87 [76;100] | 84 [68;90] | −1 [−4;5] |
| AI-max_P | 88 [77;95] | 87 [75;100] | 82 [64;88] | 6 [2;8] | 89 [80;96] | 78 [59;86] | 88 [78;100] | −10 [−19;−6] |
| AI-up_P | 86 [74;95] | 83 [65;91] | 90 [82;100] | 18 [16;27] | 96 [90;99] | 91 [82;100] | 86 [69;91] | −7 [−12;2] |
| AI-down_P | 64 [49;77] | 65 [47;84] | 69 [54;81] | 0 [−3;4] | 57 [42;71] | 52 [33;63] | 67 [47;82] | 9 [2;17] |
Publisher’s Note: MDPI stays neutral with regard to jurisdictional claims in published maps and institutional affiliations. |
© 2022 by the authors. Licensee MDPI, Basel, Switzerland. This article is an open access article distributed under the terms and conditions of the Creative Commons Attribution (CC BY) license (https://creativecommons.org/licenses/by/4.0/).
Share and Cite
Macaire, C.; Hanne-Poujade, S.; De Azevedo, E.; Denoix, J.-M.; Coudry, V.; Jacquet, S.; Bertoni, L.; Tallaj, A.; Audigié, F.; Hatrisse, C.; et al. Investigation of Thresholds for Asymmetry Indices to Represent the Visual Assessment of Single Limb Lameness by Expert Veterinarians on Horses Trotting in a Straight Line. Animals 2022, 12, 3498. https://doi.org/10.3390/ani12243498
Macaire C, Hanne-Poujade S, De Azevedo E, Denoix J-M, Coudry V, Jacquet S, Bertoni L, Tallaj A, Audigié F, Hatrisse C, et al. Investigation of Thresholds for Asymmetry Indices to Represent the Visual Assessment of Single Limb Lameness by Expert Veterinarians on Horses Trotting in a Straight Line. Animals. 2022; 12(24):3498. https://doi.org/10.3390/ani12243498
Chicago/Turabian StyleMacaire, Claire, Sandrine Hanne-Poujade, Emeline De Azevedo, Jean-Marie Denoix, Virginie Coudry, Sandrine Jacquet, Lélia Bertoni, Amélie Tallaj, Fabrice Audigié, Chloé Hatrisse, and et al. 2022. "Investigation of Thresholds for Asymmetry Indices to Represent the Visual Assessment of Single Limb Lameness by Expert Veterinarians on Horses Trotting in a Straight Line" Animals 12, no. 24: 3498. https://doi.org/10.3390/ani12243498
APA StyleMacaire, C., Hanne-Poujade, S., De Azevedo, E., Denoix, J.-M., Coudry, V., Jacquet, S., Bertoni, L., Tallaj, A., Audigié, F., Hatrisse, C., Hébert, C., Martin, P., Marin, F., & Chateau, H. (2022). Investigation of Thresholds for Asymmetry Indices to Represent the Visual Assessment of Single Limb Lameness by Expert Veterinarians on Horses Trotting in a Straight Line. Animals, 12(24), 3498. https://doi.org/10.3390/ani12243498

