Effects of Mowing Times on Nutrient Composition and In Vitro Digestibility of Forage in Three Sown Pastures of China Loess Plateau
Abstract
Simple Summary
Abstract
1. Introduction
2. Materials and Methods
2.1. Experimental Site
2.2. Experimental Design
2.3. Sampling and Sample Preparation
2.4. Analysis of Nutrient Compositions of Forages
2.5. In Vitro Degradability
2.6. Statistical Analysis
3. Results
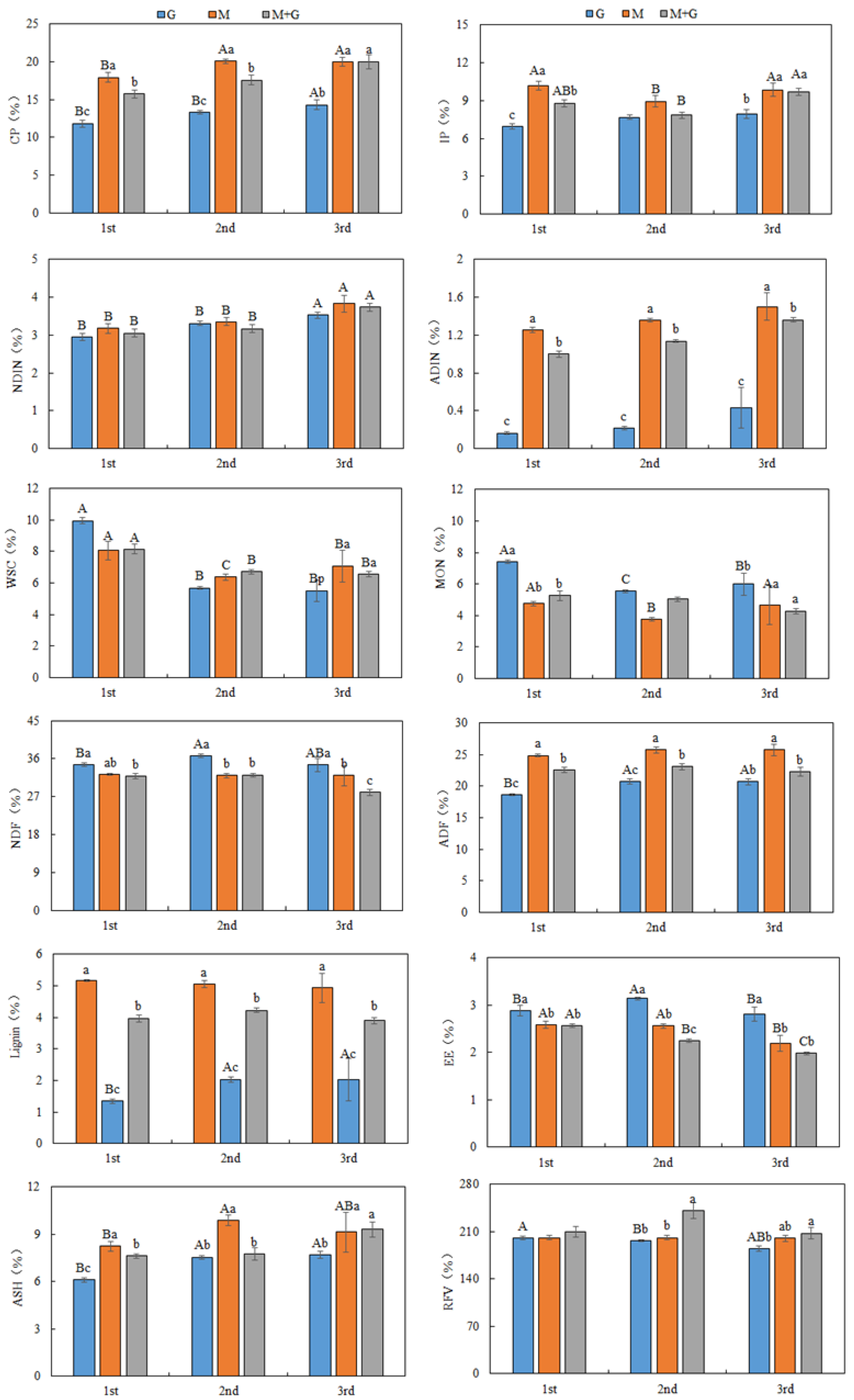
3.1. Nutrient Compositions of Forages of Three Grasslands under Different Stubble Mowing Times
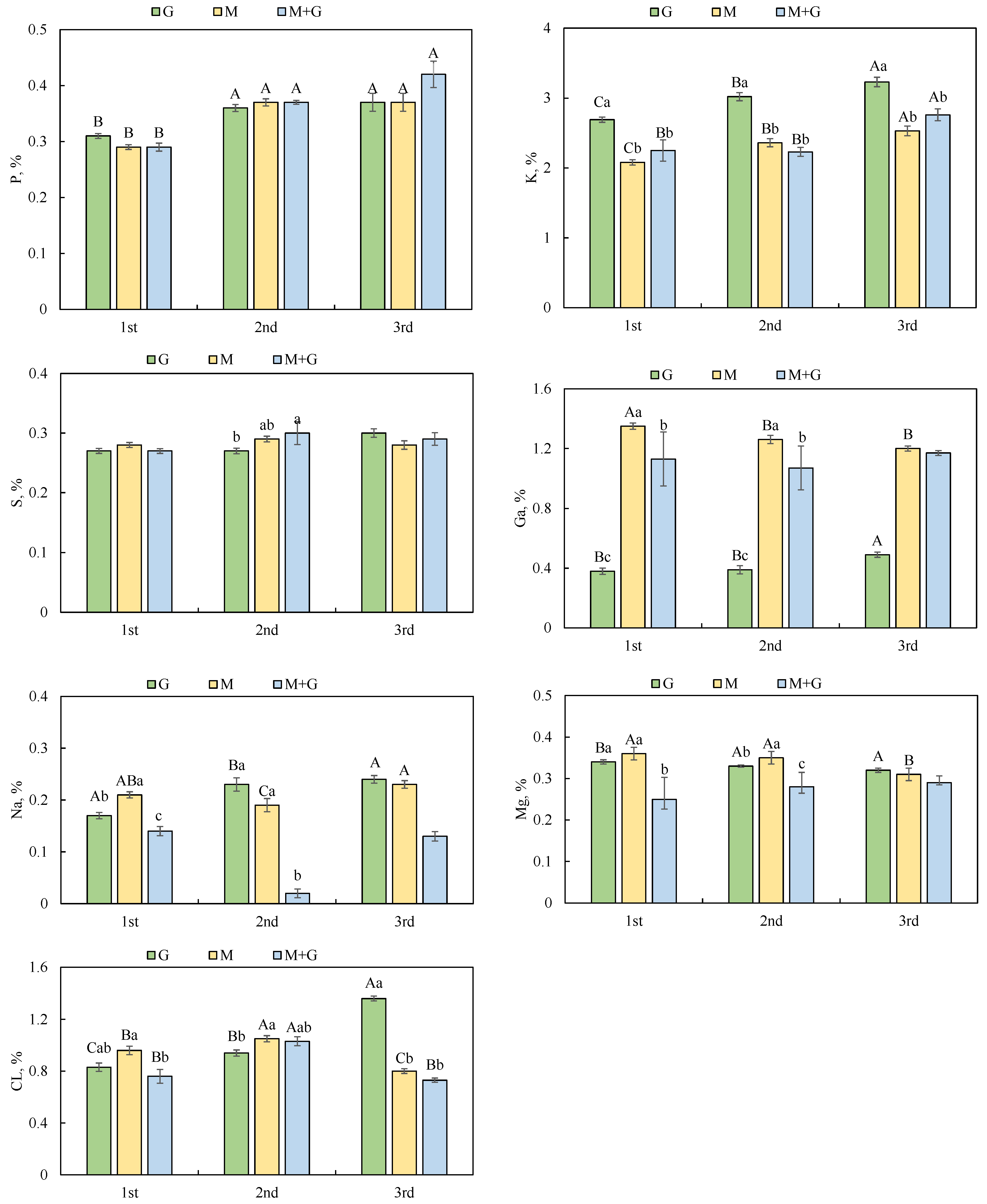
3.2. Effects of Stubble Times on Mineral Element Contents of Forage under Different Sowing Methods
3.3. Characteristics of Dry Matter Digestibility
3.4. Using of Forage Chemical Compositions to Predict In Vitro Fermentation Digestibility
4. Discussion
4.1. Effects of Stubble Times and Nutrient Compositions of Three Cultivated Grasslands on Chemical Compositions
4.2. Effects of Mowing Time and Digestibility of Forage
4.3. Forage Evaluation
5. Conclusions
Author Contributions
Funding
Institutional Review Board Statement
Informed Consent Statement
Data Availability Statement
Acknowledgments
Conflicts of Interest
References
- Suter, M.; Huguenin-Elie, O.; Lüscher, A. Multispecies for multifunctions: Combining four complementary species enhances multifunctionality of Cultivated grassland. Sci. Rep. 2021, 11, 3835. [Google Scholar] [CrossRef] [PubMed]
- Braghieri, A.; Pacelli, C.; Bragaglio, A.; Sabia, E.; Napolitano, F. The hidden costs of livestock environmental sustainability: The case of Podolian cattle. In The Sustainability of Agro-Food and Natural Resource Systems in the Mediterranean Basin; Antonella, V., Ed.; Springer: Cham, Switzerland, 2015; Chapter 4; pp. 47–56. [Google Scholar]
- Napolitano, F.; Serrapica, F.; Braghieri, A.; Masucci, F.; Sabia, E.; De Rosa, G. Human-animal interactions in dairy buffalo farms. Animals 2019, 9, 246. [Google Scholar] [CrossRef] [PubMed]
- Fang, Y.; Huang, Z.; Cui, Z.; He, H.; Liu, Y. Trade-offs between forage crop productivity and soil nutrients for different ages of alfalfa grassland. Land Degrad Dev. 2021, 32, 374–386. [Google Scholar] [CrossRef]
- Sabia, E.; Claps, S.; Morone, G.; Bruno, A.; Sepe, L.; Aleandri, R. Field inoculation of arbuscular mycorrhiza on maize (Zea mays L.) under low inputs: Preliminary study on quantitative and qualitative aspects. Ital. J. Agron. 2015, 10, 607. [Google Scholar] [CrossRef]
- Faircloth, J.C.; Edmisten, K.L.; Wells, R.; Stewart, A.M. The influence of defoliation timing on yields and quality of two cotton cultivars. Crop Sci. 2004, 44, 165–172. [Google Scholar] [CrossRef]
- Hu, A.; Kang, Y.; Hou, F. The Prediction of alfalfa forage composition and yield established on loess plateau. Acta Greogr. Sin. 2016, 24, 1155–1163. [Google Scholar]
- Hirpara, D.V.; Sakarvadia, H.L.; Savaliya, C.M.; Ranpariya, V.S.; Modhavadiya, V.L. Effect of different levels of boron and molybdenum on growth and yield of summer groundnut (Arachis hypogaea L.) under medium black calcareous soils of south saurashtra region of gujarat. Int. J. Chem. Stud 2017, 5, 1290–1293. [Google Scholar]
- Zhao, C.; Li, Q.; Cheng, L.; Zhong, R. Effects of mowing regimes on forage yield and crude protein of leymus chinensis (trin.) tzvel in songnen grassland. Grass 2021, 4, 275–284. [Google Scholar] [CrossRef]
- Baoyin, T.; Li, F.Y.; Bao, Q.; Minggagud, H.; Zhong, Y. Effects of mowing regimes and climate variability on hay production of Leymus chinensis (Trin.) Tzvelev grassland in northern China. Rangel. J. 2014, 36, 593–600. [Google Scholar] [CrossRef]
- Younis, S. Effect of Seeding Rates and Mowing Stages on Growth, Yield and Quality of Forage and Seed of Common Vetch (Vicia sativa L.). Mesop. J. Agric. 2018, 46, 219–232. [Google Scholar] [CrossRef]
- Yun, S.K.; Taeil, P.; Jaehwan, S.; Kyeonghoon, K.; Song, T.H.; Kihun, P.; Han, O. Effect of harvest time and cultivars on forage yield and quality of whole crop barley. J. Kor. Grassl. Forage. Sci. 2009, 29, 36–37. [Google Scholar]
- Grebennikov, V. Agro-energy efficiency of growing intermediate wheatgrass, elongated wheatgrass and yellow alfalfa on downed forage lands in the dry-steppe zone. Multifunct. Adapt. Fodd. Prod. 2020, 23, 125–129. [Google Scholar]
- Guo, T.; Huang, Y.Q.; Guo, L.; Li, F.D.; Pan, F.M.; Zhang, Z.J.; Li, F. Rapid prediction of nutrient content of alfalfa hay by using near infrared spectroscopy. Pratacultural. Sci. 2020, 37, 2374–2381. [Google Scholar]
- Dai, L.M.; Guo, T.; Li, F.; Wang, F.B.; Jia, Q.M.; Pan, F.M.; Zhang, A.W.; Li, F.D. Analysis of nutrient content of tall fescue hay by nearinfrared spectroscopy. Pratacultural. Sci. 2022, 39, 731–739. [Google Scholar]
- Aghsaghali, A.M.; Sis, N.M.; Aghazadeh, A.M.; Safaei, A.R. Estimation of quality indices of iranian alfalfa varieties using in vivo and in situ methods. J. Anim. Vet. Adv. 2012, 6, 1022–1027. [Google Scholar]
- Menke, K.H. Estimation of the energetic feed value obtained from chemical analysis and in vitro gas production using rumen fluid. Anim. Res. Dev. 1988, 28, 7–55. [Google Scholar]
- Gaweł, E. Effect of cutting frequency of leavings on performance and utilization of pasture sward. J. Res. Appl. Agric. Eng. 2013, 58, 131–136. [Google Scholar]
- Sun, L.; Xue, Y.L.; Zhang, F.J.; Wu, X.G.; Xiao, Y.Z.; Zhang, X.X.; Liu, G.H.; Liu, S.B. Effects of cutting number and pelletizing on vitamin content and chemical composition of alfalfa. Pratacultural. Sci. 2021, 1, 99–109. [Google Scholar]
- Sharif, F.; Shahzad, L.; Ghafoor, G.Z.; Khan, A.U.H.; Shahid, M.G.; Siddiq, Z. Effect of climate warming on seedling growth and biomass accumulation of acacia modesta and olea ferruginea in a subtropical scrub forest of pakistan. Ecoscience 2020, 29, 133–146. [Google Scholar]
- Coblentz, W.K.; Akins, M.S.; Kalscheur, K.F.; Brink, G.E.; Cavadini, J.S. Effects of growth stage and growing degree day accumulations on triticale forages: 2. in vitro disappearance of neutral detergent fiber. J. Dairy Sci. 2018, 101, 8965. [Google Scholar] [CrossRef]
- Brown, A.N.; Ferreira, G.; Teets, C.L.; Thomason, W.E.; Teutsch, C.D. Nutritional composition and in vitro digestibility of grass and legume winter (cover) crops. J. Dairy Sci. 2018, 101, 2037–2047. [Google Scholar] [CrossRef]
- Kyriazopoulos, A.P.; Abraham, E.M.; Parissi, Z.M.; Koukoura, Z.; Nastis, A.S. Forage production and nutritive value of Dactylis glomerata and Trifolium subterraneum mixtures under different shading treatments. Grass Forage Sci. 2012, 68, 72–82. [Google Scholar] [CrossRef]
- Owens, T.G.; Barnes, M.; Gargano, V.M.; Julien, L.; Mansilla, W.D.; Devries, T.J.; McBride, B.W.; Merkies, K.; Shoveller, A.K. Nutrient content changes from steaming or soaking timothy-alfalfa hay: Effects on feed preferences and acute glycemic response in Standardbred racehorses1. J. Anim. Sci. 2019, 97, 4199–4207. [Google Scholar] [CrossRef]
- Rufino-Moya, P.J.; Blanco, M.; Lobón, S.; Bertolín, J.R.; Armengol, R.; Joy, M. The Inclusion of Concentrate with Quebracho Is Advisable in Two Forage-Based Diets of Ewes According to the In Vitro Fermentation Parameters. Animals 2019, 9, 451. [Google Scholar] [CrossRef]
- White, K.E.; Cavigelli, M.A.; Bagley, G. Legumes and nutrient management improve phosphorus and potassium balances in long-term crop rotations. Agron. J. 2021, 113, 2681–2697. [Google Scholar] [CrossRef]
- Singh, R.K.; Bohra, J.S.; Nath, T.; Srivastava, R.K. Effect of varying level of diversification and intensification of rice-wheat cropping system on the production potential and nutrient balance of soil in indo-gangetic plain of india. Agricultura 2013, 10, 9–16. [Google Scholar]
- Potts, L.; Hinkson, J.; Graham, B.; LoEst, C.; Turner, J. Nitrogen retention and nutrient digestibility in geldings fed grass hay, alfalfa hay, or alfalfa cubes. J. Equine Vet. Sci. 2010, 30, 330–333. [Google Scholar] [CrossRef]
- Rosser, C.L.; Beattie, A.D.; Block, H.C.; McKinnon, J.J.; Lardner, H.A.; Górka, P.; Penner, G.B. Effect of maturity at harvest for whole-crop barley and oat on dry matter intake, sorting, and digestibility when fed to beef cattle1. J. Anim. Sci. 2016, 94, 697–708. [Google Scholar] [CrossRef] [PubMed]
- Shahbazi, H.R.; Sadeghi, A.A.; Fazaeli, H.; Raisali, G.; Chamani, M.; Shawrang, P. Effects of electron beam irradiation on ruminal ndf and adf degradation characteristics of barley straw. J. Anim. Vet. Adv. 2012, 7, 464–468. [Google Scholar]
- Michaud, A.; Plantureux, S.; Pottier, E.; Baumont, R. Links between functional composition, biomass production and forage quality in permanent grasslands over a broad gradient of conditions. J. Agric. Sci. 2015, 153, 891–906. [Google Scholar] [CrossRef]
- Codognoto, L.; Conde, T.T.; Maltoni, K.L.; Faria, G.A.; Cavali, J. Effects of glyphosate plus foliar manganese application on the production and quality of marandu grass. Acta Sci. 2021, 43, e52796. [Google Scholar] [CrossRef]
- Aufrère, J.; Graviou, D.; Demarquilly, C. Ruminal degradation of protein of cocksfoot and perennial ryegrass as affected by various stages of growth and conservation methods. Ann. De Zootech. 2003, 52, 245–261. [Google Scholar] [CrossRef]



| Forage Species | Equation | p | R2 | ||
|---|---|---|---|---|---|
| M | DMD | = | 71.976 − 0.644ADF | <0.001 | 0.578 |
| = | 80.375 − 0.731NDF | <0.001 | 0.705 | ||
| = | 37.942 + 0.633CP | <0.001 | 0.815 | ||
| = | 69.491 − 2.834Lignin | <0.001 | 0.873 | ||
| = | 49.618 − 0.276ADF + 489CP | <0.001 | 0.880 | ||
| = | 29.078 + 2.249EE + 0.738CP | <0.001 | 0.907 | ||
| = | 36.926 − 0.137ADF + 1.726EE + 0.642CP | <0.001 | 0.916 | ||
| = | 49.704 + 0.080ADF − 0.147NDF + 1.598EE − 1.277Lignin + 0.394CP | <0.001 | 0.937 | ||
| G | DMD | = | 61.068 − 1.827EE | 0.004 | 0.249 |
| = | 76.406 − 0.785ADF | <0.001 | 0.567 | ||
| = | 45.686 + 0.392CP | 0.001 | 0.596 | ||
| = | 38.793 + 1.087EE + 0.519CP | 0.001 | 0.616 | ||
| = | 62.497 − 0.491ADF + 0.260CP | <0.001 | 0.751 | ||
| = | 55.802 − 0.485ADF + 1.025EE + 0.381CP | <0.001 | 0.775 | ||
| M + G | DMD | = | 76.040 − 0.583NDF | <0.001 | 0.658 |
| = | 78.060 − 0.830ADF | <0.001 | 0.685 | ||
| = | 40.423 + 1.182ASH | <0.001 | 0.867 | ||
| = | 37.825 + 0.653CP | <0.001 | 0.867 | ||
| = | 48.224 − 0.242ADF + 0.517CP | <0.001 | 0.886 | ||
| = | 26.566 + 2.908EE + 0.785CP | <0.001 | 0.939 | ||
| = | 45.717 − 0.147NDF − 0.203ADF + 2.441EE + 0.526CP | <0.001 | 0.946 | ||
| = | 165.299 − 0.148NDF − 0.452ADF + 0.317EE + 0.725ASH − 0.071CP | <0.001 | 0.973 | ||
Publisher’s Note: MDPI stays neutral with regard to jurisdictional claims in published maps and institutional affiliations. |
© 2022 by the authors. Licensee MDPI, Basel, Switzerland. This article is an open access article distributed under the terms and conditions of the Creative Commons Attribution (CC BY) license (https://creativecommons.org/licenses/by/4.0/).
Share and Cite
Chang, S.; Xie, K.; Du, W.; Jia, Q.; Yan, T.; Yang, H.; Hou, F. Effects of Mowing Times on Nutrient Composition and In Vitro Digestibility of Forage in Three Sown Pastures of China Loess Plateau. Animals 2022, 12, 2807. https://doi.org/10.3390/ani12202807
Chang S, Xie K, Du W, Jia Q, Yan T, Yang H, Hou F. Effects of Mowing Times on Nutrient Composition and In Vitro Digestibility of Forage in Three Sown Pastures of China Loess Plateau. Animals. 2022; 12(20):2807. https://doi.org/10.3390/ani12202807
Chicago/Turabian StyleChang, Shenghua, Kaili Xie, Wucheng Du, Qianmin Jia, Tianhan Yan, Hao Yang, and Fujiang Hou. 2022. "Effects of Mowing Times on Nutrient Composition and In Vitro Digestibility of Forage in Three Sown Pastures of China Loess Plateau" Animals 12, no. 20: 2807. https://doi.org/10.3390/ani12202807
APA StyleChang, S., Xie, K., Du, W., Jia, Q., Yan, T., Yang, H., & Hou, F. (2022). Effects of Mowing Times on Nutrient Composition and In Vitro Digestibility of Forage in Three Sown Pastures of China Loess Plateau. Animals, 12(20), 2807. https://doi.org/10.3390/ani12202807

