Acetate-Induced Milk Fat Synthesis Is Associated with Activation of the mTOR Signaling Pathway in Bovine Mammary Epithelial Cells
Abstract
Simple Summary
Abstract
1. Introduction
2. Materials and Methods
2.1. Cell Culture
2.2. Experimental Design
2.3. Determination of TG Content
2.4. Bodipy Staining
2.5. RNA Isolation and Quantitative Real-Time PCR (qRT-PCR)
2.6. Western Blotting
2.7. Measurement of Fatty Acid in Bovine Mammary Epithelial Cells
2.8. Statistical Analysis
3. Results
3.1. Effects of Acetate on TG Production in BMECs
3.2. Effects of Acetate on the Fatty Acid Composition in BMECs
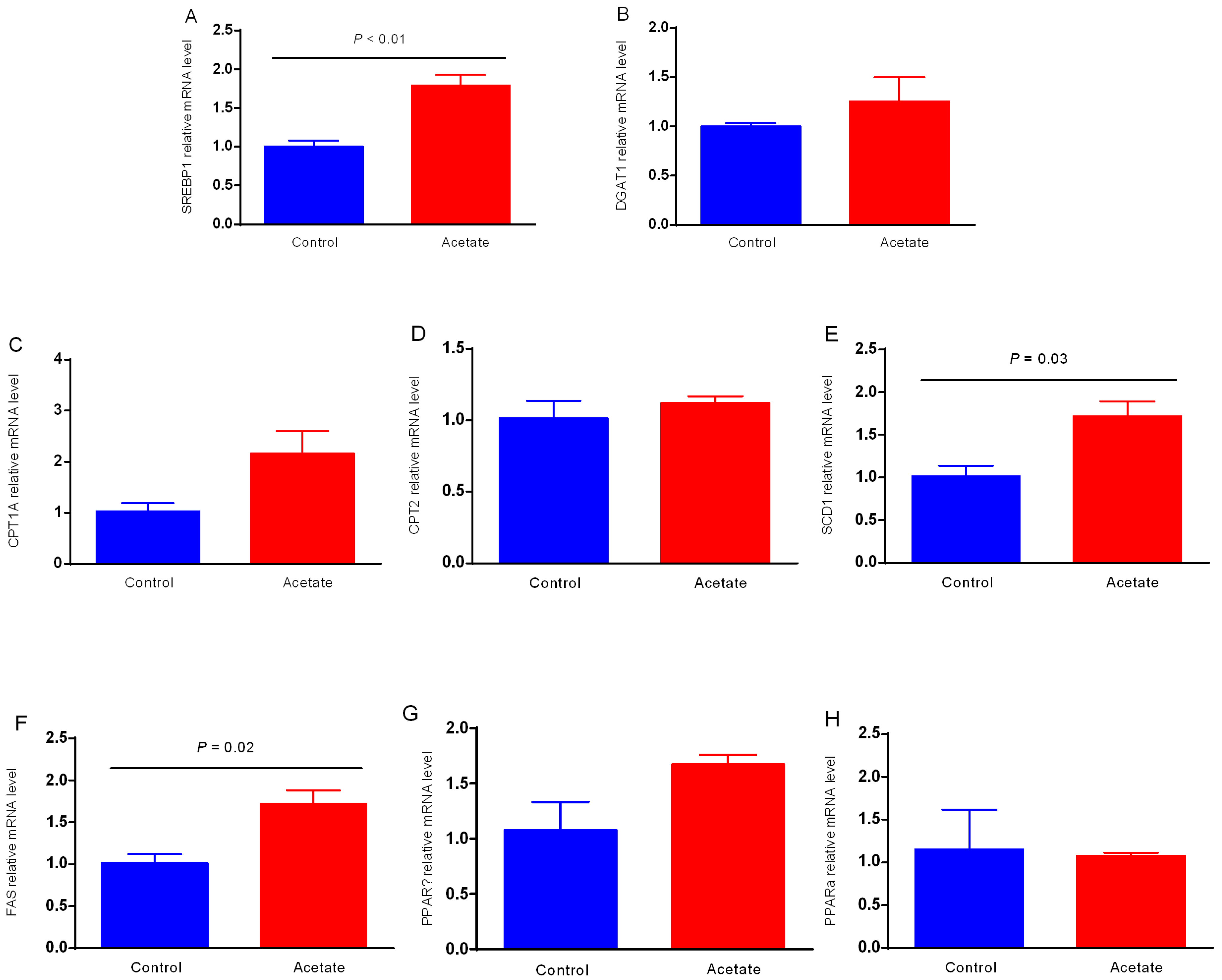
3.3. Expression of Genes Related to Lipid Metabolism in BMECs
3.4. Effects of Acetate on the mTOR Signaling Pathway and the Expression of Proteins Involved in Lipid Metabolism in BMECs

4. Discussion
5. Conclusions
Author Contributions
Funding
Institutional Review Board Statement
Informed Consent Statement
Data Availability Statement
Conflicts of Interest
References
- Bauman, D.; Davis, C.; Larson, L.; Smith, V. Biosynthesis of milk fat. Lact. Compr. Treatise 2013, 2, 31–75. [Google Scholar] [CrossRef]
- Bhinder, G.; Allaire, J.M.; Garcia, C.; Lau, J.T.; Chan, J.M.; Ryz, N.R.; Bosman, E.S.; Graef, F.A.; Crowley, S.M.; Celiberto, L.S. Milk fat globule membrane supplementation in formula modulates the neonatal gut microbiome and normalizes intestinal development. Sci. Rep. 2017, 7, 45274. [Google Scholar] [CrossRef] [PubMed]
- Zang, J.; Shen, M.; Du, S.; Chen, T.; Zou, S. The association between dairy intake and breast cancer in Western and Asian populations: A systematic review and meta-analysis. J. Breast Cancer 2015, 18, 313–322. [Google Scholar] [CrossRef] [PubMed]
- Bionaz, M.; Loor, J.J. Gene networks driving bovine milk fat synthesis during the lactation cycle. BMC Genom. 2008, 9, 366. [Google Scholar] [CrossRef]
- Neville, M.C.; Picciano, M.F. Regulation of milk lipid secretion and composition. Annu. Rev. Nutr. 1997, 17, 159–184. [Google Scholar] [CrossRef]
- Harvatine, K.; Boisclair, Y.; Bauman, D. Recent advances in the regulation of milk fat synthesis. Animal 2009, 3, 40–54. [Google Scholar] [CrossRef]
- Urrutia, N.L.; Harvatine, K.J. Acetate dose-dependently stimulates milk fat synthesis in lactating dairy cows. J. Nutr. 2017, 147, 763–769. [Google Scholar] [CrossRef]
- Baldwin, R.; Smith, N. Intermediary aspects and tissue interactions of ruminant fat metabolism. J. Dairy Sci. 1971, 54, 583–595. [Google Scholar] [CrossRef]
- Urrutia, N.; Bomberger, R.; Matamoros, C.; Harvatine, K. Effect of dietary supplementation of sodium acetate and calcium butyrate on milk fat synthesis in lactating dairy cows. J. Dairy Sci. 2019, 102, 5172–5181. [Google Scholar] [CrossRef]
- Cao, Y.; Hu, G.; Zhang, Q.; Ma, L.; Wang, J.; Li, W.; Ge, Y.; Cheng, J.; Yang, Z.; Fu, S. Kisspeptin-10 Maintains the Activation of the mTOR Signaling Pathway by Inhibiting SIRT6 to Promote the Synthesis of Milk in Bovine Mammary Epithelial Cells. J. Agric. Food Chem. 2021, 69, 4093–4100. [Google Scholar] [CrossRef]
- Mao, Z.; Zhang, W. Role of mTOR in glucose and lipid metabolism. Int. J. Mol. Sci. 2018, 19, 2043. [Google Scholar] [CrossRef]
- Saxton, R.A.; Sabatini, D.M. mTOR signaling in growth, metabolism, and disease. Cell 2017, 168, 960–976. [Google Scholar] [CrossRef] [PubMed]
- Han, J.; Wang, Y. mTORC1 signaling in hepatic lipid metabolism. Protein Cell 2018, 9, 145–151. [Google Scholar] [CrossRef] [PubMed]
- Anderson, S.M.; Rudolph, M.C.; McManaman, J.L.; Neville, M.C. Key stages in mammary gland development. Secretory activation in the mammary gland: It’s not just about milk protein synthesis! Breast Cancer Res. 2007, 9, 1–14. [Google Scholar] [CrossRef]
- Fan, J.; Chen, J.; Wu, H.; Lu, X.; Fang, X.; Yin, F.; Zhao, Z.; Jiang, P.; Yu, H. Chitosan Oligosaccharide Inhibits the Synthesis of Milk Fat in Bovine Mammary Epithelial Cells through AMPK-Mediated Downstream Signaling Pathway. Animals 2022, 12, 1692. [Google Scholar] [CrossRef]
- Zhang, Y.; Zhan, K.; Hu, Z.; Zhao, G. SV40T/E6E7-Induced Proliferation Is Involved in the Activity of E2F3 in Bovine Mammary Epithelial Cells. Animals 2022, 12, 1790. [Google Scholar] [CrossRef]
- Zhu, Y.; Liu, G.; Du, X.; Shi, Z.; Jin, M.; Sha, X.; Li, X.; Wang, Z.; Li, X. Expression patterns of hepatic genes involved in lipid metabolism in cows with subclinical or clinical ketosis. J. Dairy Sci. 2019, 102, 1725–1735. [Google Scholar] [CrossRef]
- Yu, H.; Zhao, Y.; Iqbal, A.; Xia, L.; Bai, Z.; Sun, H.; Fang, X.; Yang, R.; Zhao, Z. Effects of polymorphism of the GPAM gene on milk quality traits and its relation to triglyceride metabolism in bovine mammary epithelial cells of dairy cattle. Arch. Anim. Breed. 2021, 64, 35–44. [Google Scholar] [CrossRef]
- Kong, Q.; Lin, Y.; Li, Q. Influence on cow breast fatty acid biosynthesis related genes with sodium acetate and sodium butyrate. China Dairy Ind. 2012, 40, 15–17. [Google Scholar]
- Switon, K.; Kotulska, K.; Janusz-Kaminska, A.; Zmorzynska, J.; Jaworski, J. Molecular neurobiology of mTOR. Neuroscience 2017, 341, 112–153. [Google Scholar] [CrossRef]
- Magnuson, B.; Ekim, B.; Fingar, D.C. Regulation and function of ribosomal protein S6 kinase (S6K) within mTOR signalling networks. Biochem. J. 2012, 441, 1–21. [Google Scholar] [CrossRef] [PubMed]
- Peterson, T.R.; Sengupta, S.S.; Harris, T.E.; Carmack, A.E.; Kang, S.A.; Balderas, E.; Guertin, D.A.; Madden, K.L.; Carpenter, A.E.; Finck, B.N. mTOR complex 1 regulates lipin 1 localization to control the SREBP pathway. Cell 2011, 146, 408–420. [Google Scholar] [CrossRef] [PubMed]
- Shimano, H. Sterol Regulatory Element-Binding Protein Family as Global Regulators of Lipid Synthetic Genes in Energy Metabolism; Elsevier: Amsterdam, The Netherlands, 2002. [Google Scholar] [CrossRef]
- Kadegowda, A.; Bionaz, M.; Piperova, L.; Erdman, R.; Loor, J. Lipogenic gene expression in MAC-T cells is affected differently by fatty acids and enhanced by PPAR-gamma activation. J. Dairy Sci. 2008, 91, 678. [Google Scholar]
- Li, N.; Zhao, F.; Wei, C.; Liang, M.; Zhang, N.; Wang, C.; Li, Q.-Z.; Gao, X.-J. Function of SREBP1 in the milk fat synthesis of dairy cow mammary epithelial cells. Int. J. Mol. Sci. 2014, 15, 16998–17013. [Google Scholar] [CrossRef]
- Xu, H.; Luo, J.; Zhao, W.; Yang, Y.; Tian, H.; Shi, H.; Bionaz, M. Overexpression of SREBP1 (sterol regulatory element binding protein 1) promotes de novo fatty acid synthesis and triacylglycerol accumulation in goat mammary epithelial cells. J. Dairy Sci. 2016, 99, 783–795. [Google Scholar] [CrossRef]
- Ma, L.; Corl, B. Transcriptional regulation of lipid synthesis in bovine mammary epithelial cells by sterol regulatory element binding protein-1. J. Dairy Sci. 2012, 95, 3743–3755. [Google Scholar] [CrossRef]
- Zhu, J.; Luo, J.; Sun, Y.; Shi, H.; Li, J.; Wu, M.; Yu, K.; Haile, A.; Loor, J. Effect of inhibition of fatty acid synthase on triglyceride accumulation and effect on lipid metabolism genes in goat mammary epithelial cells. J. Dairy Sci. 2015, 98, 3485–3491. [Google Scholar] [CrossRef]
- Tian, H.; Niu, H.; Luo, J.; Yao, W.; Chen, X.; Wu, J.; Geng, Y.; Gao, W.; Lei, A.; Gao, Z. Knockout of Stearoyl-CoA Desaturase 1 Decreased Milk Fat and Unsaturated Fatty Acid Contents of the Goat Model Generated by CRISPR/Cas9. J. Agric. Food Chem. 2022, 70, 4030–4043. [Google Scholar] [CrossRef]



| Gene | Primer Sequence, 5′ to 3′ | Source | Size (bp) |
|---|---|---|---|
| GAPDH | F: TTGTCTCCTGCGACTTCAACA R: TCGTACCAGAAATGAGCTTGAC | NM_001034034.2 | 103 |
| DGAT1 | F: GACACAGACAAGGACGGAGA R: CAGCATCACCACACACCAA | XM_025001414.1 | 141 |
| CAPT1A | F: ACGCCGTGAAGTATAACCCT R: CCAAAAATCGCTTGTCCCTT | NM_001304989.2 | 119 |
| CPT2 | F: CACCATTAGAAGATACCTCAGTGC R: TCCAGTTTCAAAACTCTTACACAACT | XM_024985645.1 | 94 |
| PPARA | F: TCAGATGGCTCCGTTATT R: CCCGCAGATCCTACACT | XM_005207472.4 | 112 |
| PPARγ | F: CCAAATATCGGTGGGAGTCG R: ACAGCGAAGGGCTCACTCTC | NM_181024.2 | 101 |
| SCD1 | F: GGCACATCAACTTTACCACG R: CAGCCACTCTTGTAGCTTTCCTC | NM_173959.4 | 136 |
| SREBP1 | F: GACACCACCAGCATCAACCACG R: CAGCCCATTCATCAGCCAGACC | XM_024980343.1 | 117 |
| FAS | F: ACAGCCTCTTCCTGTTTGACG R: CTCTGCACGATCAGCTCGAC | NM_001012669.1 | 144 |
| Item (μg/mg) | Control | Acetate | SEM | p-Value |
|---|---|---|---|---|
| C13:0 | 139 | 164 | 44 | 0.60 |
| C14:0 | 482 | 926 | 157 | 0.048 |
| C16:0 | 414 | 859 | 152 | 0.04 |
| C18:0 | 459 | 880 | 123 | 0.03 |
| C18:1 | 202 | 322 | 65 | 0.14 |
Publisher’s Note: MDPI stays neutral with regard to jurisdictional claims in published maps and institutional affiliations. |
© 2022 by the authors. Licensee MDPI, Basel, Switzerland. This article is an open access article distributed under the terms and conditions of the Creative Commons Attribution (CC BY) license (https://creativecommons.org/licenses/by/4.0/).
Share and Cite
Lin, M.; Jiang, M.; Yang, T.; Tan, D.; Hu, G.; Zhao, G.; Zhan, K. Acetate-Induced Milk Fat Synthesis Is Associated with Activation of the mTOR Signaling Pathway in Bovine Mammary Epithelial Cells. Animals 2022, 12, 2616. https://doi.org/10.3390/ani12192616
Lin M, Jiang M, Yang T, Tan D, Hu G, Zhao G, Zhan K. Acetate-Induced Milk Fat Synthesis Is Associated with Activation of the mTOR Signaling Pathway in Bovine Mammary Epithelial Cells. Animals. 2022; 12(19):2616. https://doi.org/10.3390/ani12192616
Chicago/Turabian StyleLin, Miao, Maocheng Jiang, Tianyu Yang, Dejin Tan, Guanghui Hu, Guoqi Zhao, and Kang Zhan. 2022. "Acetate-Induced Milk Fat Synthesis Is Associated with Activation of the mTOR Signaling Pathway in Bovine Mammary Epithelial Cells" Animals 12, no. 19: 2616. https://doi.org/10.3390/ani12192616
APA StyleLin, M., Jiang, M., Yang, T., Tan, D., Hu, G., Zhao, G., & Zhan, K. (2022). Acetate-Induced Milk Fat Synthesis Is Associated with Activation of the mTOR Signaling Pathway in Bovine Mammary Epithelial Cells. Animals, 12(19), 2616. https://doi.org/10.3390/ani12192616

