Relationships between Biomarkers of Oxidative Stress in Seminal Plasma and Sperm Motility in Bulls before and after Cryopreservation
Abstract
Simple Summary
Abstract
1. Introduction
2. Materials and Methods
2.1. Semen Collection and Preparation
2.2. Sample Evaluation
2.3. Statistical Analysis
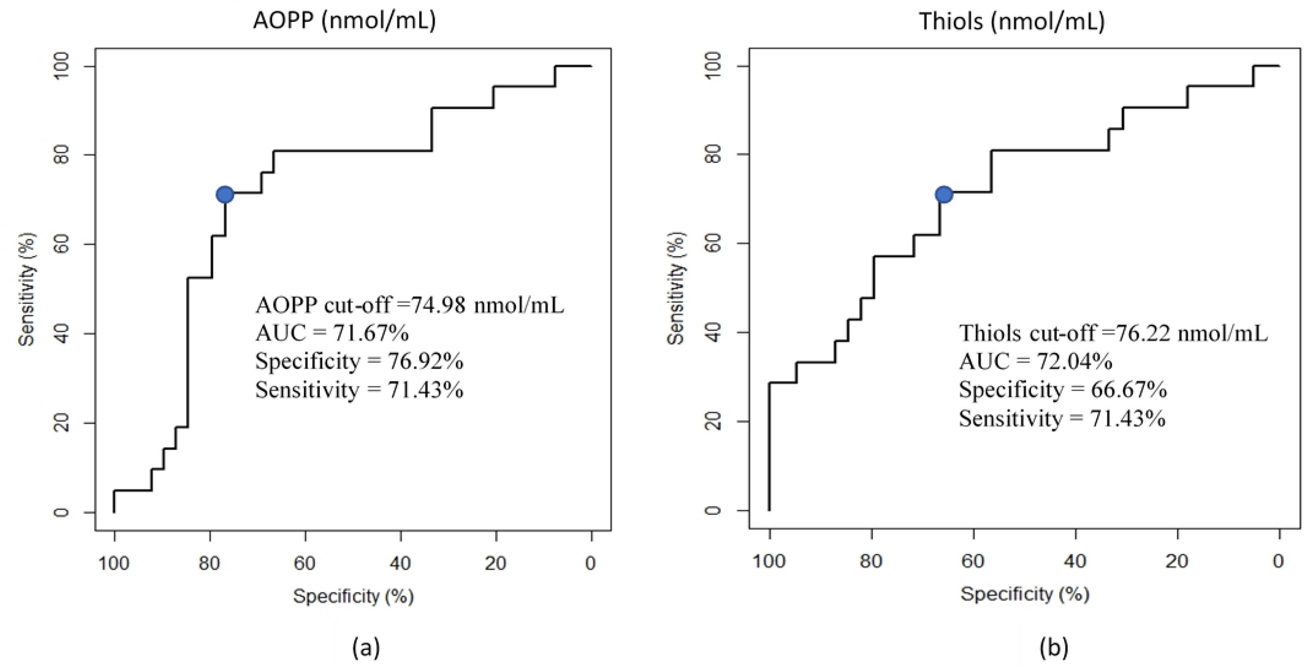
3. Results
3.1. Relation between Groups and Motility Parameters
3.2. Relation between Groups and OS Parameters of Seminal Plasma
3.3. Relation between Motility and OS Parameters of Seminal Plasma
4. Discussion
5. Conclusions
Supplementary Materials
Author Contributions
Funding
Institutional Review Board Statement
Informed Consent Statement
Data Availability Statement
Acknowledgments
Conflicts of Interest
References
- Raidan, F.S.S.; Santos, D.C.C.; Moraes, M.M.; Araújo, A.E.M.; Ventura, H.T.; Bergmann, J.A.G.; Turra, E.M.; Toral, F.L.B. Selection of performance-tested young bulls and indirect responses in commercial beef cattle herds on pasture and in feedlots. Genet. Sel. Evol. 2016, 48, 85. [Google Scholar] [CrossRef]
- Llavanera, M.; Ribas-Maynou, J.; Delgado-Bermúdez, A.; Recuero, S.; Muiño, R.; Hidalgo, C.O.; Tamargo, C.; Bonet, S.; Mateo-Otero, Y.; Yeste, M. Sperm chromatin condensation as an in vivo fertility biomarker in bulls: A flow cytometry approach. J. Anim. Sci. Biotechnol. 2021, 12, 115. [Google Scholar] [CrossRef] [PubMed]
- Dogan, S.; Mason, M.C.; Govindaraju, A.; Belser, L.; Kaya, A.; Stokes, J.; Rowe, D.; Memili, E. Interrelationships between apoptosis and fertility in bull sperm. J. Reprod. Dev. 2013, 59, 18–26. [Google Scholar] [CrossRef] [PubMed]
- De Oliveira, R.V.; Dogan, S.; Belser, L.E.; Kaya, A.; Topper, E.; Moura, A.; Thibaudeau, G.; Memili, E. Molecular morphology and function of bull spermatozoa linked to histones and associated with fertility. Reproduction 2013, 146, 263–272. [Google Scholar] [CrossRef] [PubMed]
- Kumar, A.; Kroetsch, T.; Blondin, P.; Anzar, M. Fertility-associated metabolites in bull seminal plasma and blood serum: 1H nuclear magnetic resonance analysis. Mol. Reprod. Dev. 2015, 82, 123–131. [Google Scholar] [CrossRef] [PubMed]
- Velho, A.L.C.; Menezes, E.; Dinh, T.; Kaya, A.; Topper, E.; Moura, A.A.; Memili, E. Metabolomic markers of fertility in bull seminal plasma. PLoS ONE 2018, 13, e0195279. [Google Scholar] [CrossRef]
- Menezes, E.B.; Velho, A.L.C.; Santos, F.; Dinh, T.; Kaya, A.; Topper, E.; Moura, A.A.; Memili, E. Uncovering sperm metabolome to discover biomarkers for bull fertility. BMC Genom. 2019, 20, 714. [Google Scholar] [CrossRef] [PubMed]
- Memili, E.; Moura, A.A.; Kaya, A. Metabolomes of sperm and seminal plasma associated with bull fertility. Anim. Reprod. Sci. 2020, 220, 106355. [Google Scholar] [CrossRef]
- Sharma, R.; Agarwal, A.; Mohanty, G.; Du Plessis, S.S.; Gopalan, B.; Willard, B.; Yadav, S.P.; Sabanegh, E. Proteomic analysis of seminal fluid from men exhibiting oxidative stress. Reprod. Biol. Endocrinol. 2013, 11, 85. [Google Scholar] [CrossRef] [PubMed]
- Willforss, J.; Morrell, J.M.; Resjö, S.; Hallap, T.; Padrik, P.; Siino, V.; de Koning, D.J.; Andreasson, E.; Levander, F.; Humblot, P. Stable bull fertility protein markers in seminal plasma. J. Proteom. 2021, 236, 104135. [Google Scholar] [CrossRef]
- Robert, K.A.; Sharma, R.; Henkel, R.; Agarwal, A. An update on the techniques used to measure oxidative stress in seminal plasma. Andrologia 2021, 53, e13726. [Google Scholar] [CrossRef] [PubMed]
- Barati, E.; Nikzad, H.; Karimian, M. Oxidative stress and male infertility: Current knowledge of pathophysiology and role of antioxidant therapy in disease management. Cell. Mol. Life Sci. 2020, 77, 93–113. [Google Scholar] [CrossRef] [PubMed]
- Kefer, J.C.; Agarwal, A.; Sabanegh, E. Role of antioxidants in the treatment of male infertility. Int. J. Urol. 2009, 16, 449–457. [Google Scholar] [CrossRef] [PubMed]
- Barranco, I.; Rubio, C.P.; Tvarijonaviciute, A.; Rodriguez-Martinez, H.; Roca, J. Measurement of oxidative stress index in seminal plasma can predict in vivo fertility of liquid-stored porcine artificial insemination semen doses. Antioxidants 2021, 10, 1203. [Google Scholar] [CrossRef]
- Rossi, M.; Falomo, M.E.; Mantovani, R. Role of coenzyme Q and vitamin E on stallion semen motility evaluated both in frozen and cooled-stored semen. Ital. J. Anim. Sci. 2016, 15, 595–603. [Google Scholar] [CrossRef]
- Sharma, R.K.; Pasqualotto, F.F.; Nelson, D.R.; Thomas, A.J.; Agarwal, A. The reactive oxygen species—Total antioxidant capacity score is a new measure of oxidative stress to predict male infertility. Hum. Reprod. 1999, 14, 2801–2807. [Google Scholar] [CrossRef] [PubMed]
- Kratz, E.M.; Piwowar, A. Melatonin, advanced oxidation protein products and total antioxidant capacity as seminal parameters of prooxidant-antioxidant balance and their connection with expression of metalloproteinases in context of male fertility. J. Physiol. Pharmacol. 2017, 68, 659–668. [Google Scholar]
- Bilodeau, J.F.; Blanchette, S.; Gagnon, C.; Sirard, M.A. Thiols prevent H2O2-mediated loss of sperm motility in cryopreserved bull semen. Theriogenology 2001, 56, 275–286. [Google Scholar] [CrossRef]
- Ulrich, K.; Jakob, U. The role of thiols in antioxidant systems. Free Radic. Biol. Med. 2019, 140, 14–27. [Google Scholar] [CrossRef] [PubMed]
- Muñoz, P.M.; Ferrusola, C.O.; Vizuete, G.; Dávila, M.P.; Martinez, H.R.; Peña, F.J. Depletion of intracellular thiols and increased production of 4-Hydroxynonenal that occur during cryopreservation of stallion spermatozoa lead to caspase activation, loss of motility, and cell death. Biol. Reprod. 2015, 93, 1–11. [Google Scholar]
- Bansal, A.K.; Bilaspuri, G.S. Impacts of oxidative stress and antioxidants on semen functions. Vet. Med. Int. 2011, 2011, 686137. [Google Scholar] [CrossRef] [PubMed]
- Piomboni, P.; Stendardi, A.; Gambera, L.; Tatone, C.; Coppola, L.; De Leo, V.; Focarelli, R. Protein modification as oxidative stress marker in normal and pathological human seminal plasma. Redox Rep. 2012, 17, 227–232. [Google Scholar] [CrossRef]
- Lone, S.A.; Mohanty, T.K.; Baithalu, R.K.; Yadav, H.P. Sperm protein carbonylation. Andrologia 2019, 51, e13233. [Google Scholar] [CrossRef] [PubMed]
- Mostek, A.; Westfalewicz, B.; Słowińska, M.; Dietrich, M.A.; Judycka, S.; Ciereszko, A. Differences in sperm protein abundance and carbonylation level in bull ejaculates of low and high quality. PLoS ONE 2018, 13, e0206150. [Google Scholar] [CrossRef] [PubMed]
- Bordignon, M.; Da Dalt, L.; Marinelli, L.; Gabai, G. Advanced oxidation protein products are generated by bovine neutrophils and inhibit free radical production in vitro. Vet. J. 2014, 199, 162–168. [Google Scholar] [CrossRef] [PubMed]
- Celi, P.; Merlo, M.; Da Dalt, L.; Stefani, A.; Barbato, O.; Gabai, G. Relationship between late embryonic mortality and the increase in plasma advanced oxidised protein products (AOPP) in dairy cows. Reprod. Fertil. Dev. 2011, 23, 527–533. [Google Scholar] [CrossRef] [PubMed]
- Kratz, E.M.; Piwowar, A.; Zeman, M.; Stebelová, K.; Thalhammer, T. Decreased melatonin levels and increased levels of advanced oxidation protein products in the seminal plasma are related to male infertility. Reprod. Fertil. Dev. 2016, 28, 507–515. [Google Scholar] [CrossRef] [PubMed]
- Witko-Sarsat, V.; Friedlander, M.; Capeillère-Blandin, C.; Nguyen-Khoa, T.; Nguyen, A.T.; Zingraff, J.; Jungers, P.; Descamps-Latscha, B. Advanced oxidation protein products as a novel marker of oxidative stress in uremia. Kidney Int. 1996, 49, 1304–1313. [Google Scholar] [CrossRef]
- Reznick, A.Z.; Packer, L. Oxidative damage to proteins: Spectrophotometric method for carbonyl assay. Methods Enzymol. 1994, 233, 357–363. [Google Scholar]
- Hu, M.L. Measurement of protein thiol groups and glutathione in plasma. Methods Enzymol. 1994, 233, 380–385. [Google Scholar] [PubMed]
- Castleton, P.E.; Deluao, J.C.; Sharkey, D.J.; McPherson, N.O. Measuring Reactive Oxygen Species in Semen for Male Preconception Care: A Scientist Perspective. Antioxidants 2022, 11, 264. [Google Scholar] [CrossRef] [PubMed]
- Bisht, S.; Dada, R. Oxidative stress: Major executioner in disease pathology, role in sperm DNA damage and preventive strategies. Front. Biosci.-Sch. 2017, 9, 420–447. [Google Scholar]
- Wyck, S.; Herrera, C.; Requena, C.E.; Bittner, L.; Hajkova, P.; Bollwein, H.; Santoro, R. Oxidative stress in sperm affects the epigenetic reprogramming in early embryonic development 06 Biological Sciences 0604 Genetics 11 Medical and Health Sciences 1114 Paediatrics and Reproductive Medicine 06 Biological Sciences 0601 Biochemistry and Cell. Epigenetics Chromatin 2018, 11, 60. [Google Scholar] [CrossRef] [PubMed]
- Hyakutake, T.; Mori, K.; Sato, K. Effects of surrounding fluid on motility of hyperactivated bovine sperm. J. Biomech. 2018, 71, 183–189. [Google Scholar] [CrossRef] [PubMed]
- Takeshima, T.; Yumura, Y.; Yasuda, K.; Sanjo, H.; Kuroda, S.; Yamanaka, H.; Iwasaki, A. Inverse correlation between reactive oxygen species in unwashed semen and sperm motion parameters as measured by a computer-assisted semen analyzer. Asian J. Androl. 2016, 18, 350–354. [Google Scholar] [CrossRef]
- Homa, S.T.; Vassiliou, A.M.; Stone, J.; Killeen, A.P.; Dawkins, A.; Xie, J.; Gould, F.; Ramsay, J.W.A. A comparison between two assays for measuring seminal oxidative stress and their relationship with sperm DNA fragmentation and semen parameters. Genes 2019, 10, 236. [Google Scholar] [CrossRef]
- Al Smadi, M.A.; Hammadeh, M.E.; Batiha, O.; Al Sharu, E.; Altalib, M.M.; Jahmani, M.Y.; Mahdy, A.; Amor, H. Elevated seminal protein carbonyl concentration is correlated with asthenozoospermia and affects adversely the laboratory intracytoplasmic sperm injection (ICSI) outcomes. Andrologia 2021, 53, e14232. [Google Scholar] [CrossRef] [PubMed]
- Khoi, H.X.; Shimizu, K.; Yoneda, Y.; Minagawa, I.; Abe, Y.; Kuwabara, Y.; Sasanami, T.; Kohsaka, T. Monitoring the reactive oxygen species in spermatozoa during liquid storage of boar semen and its correlation with sperm motility, free thiol content and seasonality Hoang. Andrologia 2021, 53, e14237. [Google Scholar] [CrossRef]
- Giaretta, E.; Munerato, M.; Yeste, M.; Galeati, G.; Spinaci, M.; Tamanini, C.; Mari, G.; Bucci, D. Implementing an open-access CASA software for the assessment of stallion sperm motility: Relationship with other sperm quality parameters. Anim. Reprod. Sci. 2017, 176, 11–19. [Google Scholar] [CrossRef]
- Nesci, S.; Spinaci, M.; Galeati, G.; Nerozzi, C.; Pagliarani, A.; Algieri, C.; Tamanini, C.; Bucci, D. Sperm function and mitochondrial activity: An insight on boar sperm metabolism. Theriogenology 2020, 144, 82–88. [Google Scholar] [CrossRef]
- Castellini, C.; Dal Bosco, A.; Ruggeri, S.; Collodel, G. What is the best frame rate for evaluation of sperm motility in different species by computer-assisted sperm analysis? Fertil. Steril. 2011, 96, 24–27. [Google Scholar] [CrossRef]
- Valverde, A.; Madrigal, M.; Caldeira, C.; Bompart, D.; de Murga, J.N.; Arnau, S.; Soler, C. Effect of frame rate capture frequency on sperm kinematic parameters and subpopulation structure definition in boars, analysed with a CASA-Mot system. Reprod. Domest. Anim. 2019, 54, 167–175. [Google Scholar] [CrossRef] [PubMed]
- Nascimento, J.M.; Shi, L.Z.; Tam, J.; Chandsawangbhuwana, C.; Durrant, B.; Botvinick, E.L.; Berns, M.W. Comparison of Glycolysis and Oxidative Phosphorylation as Energy Sources for Mammalian Sperm Motility, Using the Combination of Fluorescence Imaging, Laser Tweezers, and Real-Time Automated Tracking and Trapping. J. Cell. Physiol. 2018, 217, 745–751. [Google Scholar] [CrossRef]
- Meyers, S.; Bulkeley, E.; Foutouhi, A. Sperm mitochondrial regulation in motility and fertility in horses. Reprod. Domest. Anim. 2019, 54, 22–28. [Google Scholar] [CrossRef] [PubMed]
- Giaretta, E.; Mislei, B.; Martínez-Pastor, F.; Nesci, S.; Spinaci, M.; Galeati, G.; Nerozzi, C.; Mari, G.; Tamanini, C.; Bucci, D. Use of specific mitochondrial complex inhibitors to investigate mitochondrial involvement on horse sperm motility and ROS production. Res. Vet. Sci. 2022, 147, 12–19. [Google Scholar] [CrossRef]
- Bulkeley, E.A.; Foutouhi, A.; Wigney, K.; Santistevan, A.C.; Collins, C.; McNabb, B.; Meyers, S. Effects from disruption of mitochondrial electron transport chain function on bull sperm motility. Theriogenology 2021, 176, 63–72. [Google Scholar] [CrossRef] [PubMed]
- Magdanz, V.; Boryshpolets, S.; Ridzewski, C.; Eckel, B.; Reinhardt, K. The motility-based swim-up technique separates bull sperm based on differences in metabolic rates and tail length. PLoS ONE 2019, 14, e0223576. [Google Scholar]
- Gibb, Z.; Lambourne, S.R.; Aitken, R.J. The paradoxical relationship between stallion fertility and oxidative stress. Biol. Reprod. 2014, 91, 1–10. [Google Scholar] [CrossRef]
- Sanz, M.G.; Schnider, D.R.; Mealey, K.A. Relative Deficiency in Albumin Methionine Content is Associated with Decreased Antioxidant Capacity of Equine Plasma. J. Equine Vet. Sci. 2021, 96, 103277. [Google Scholar] [CrossRef]
- Jansen, E.; Ruskovska, T. Serum biomarkers of (Anti)oxidant status for epidemiological studies. Int. J. Mol. Sci. 2015, 16, 27378–27390. [Google Scholar] [CrossRef]
- Alyethodi, R.R.; Sirohi, A.S.; Karthik, S.; Tyagi, S.; Perumal, P.; Singh, U.; Sharma, A.; Kundu, A. Role of seminal MDA, ROS, and antioxidants in cryopreservation and their kinetics under the influence of ejaculatory abstinence in bovine semen. Cryobiology 2021, 98, 187–193. [Google Scholar] [CrossRef] [PubMed]
- Su, G.; Wu, S.; Wu, M.; Wang, L.; Yang, L.; Du, M.; Zhao, X.; Su, X.; Liu, X.; Bai, C.; et al. Melatonin improves the quality of frozen bull semen and influences gene expression related to embryo genome activation. Theriogenology 2021, 176, 54–62. [Google Scholar] [CrossRef] [PubMed]
- Assunção, C.M.; Mendes, V.R.A.; Brandão, F.Z.; Batista, R.I.T.P.; Souza, E.D.; de Carvalho, B.C.; Quintão, C.C.R.; Raposo, N.R.B.; Camargo, L.S.A. Effects of resveratrol in bull semen extender on post-thaw sperm quality and capacity for fertilization and embryo development. Anim. Reprod. Sci. 2021, 226, 106697. [Google Scholar] [CrossRef]
- Bastos, N.M.; Rossi, G.F.; da Silva Leão, B.C.; Negrão, F.; Ferreira, C.R.; Vrisman, D.P.; Rodrigues, N.N.; Zorzetto, M.F.; de Paula Freitas-Dell’Aqua, C.; Vantini, R.; et al. Effects of paternal diet and antioxidant addition to the semen extender on bovine semen characteristics and on the phenotype of the resulting embryo. Theriogenology 2021, 175, 23–33. [Google Scholar] [CrossRef]
- Murase, T.; El-Kon, I.; Harayama, H.; Mukoujima, K.; Takasu, M.; Sakai, K. Hyperactivated motility of frozen-thawed spermatozoa from fertile and subfertile Japanese Black bulls induced by cyclic adenosine 3′,5′-monophosphate analogue, cBiMPS. J. Reprod. Dev. 2010, 56, 36–40. [Google Scholar] [CrossRef] [PubMed]
- McPartlin, L.A.; Suarez, S.S.; Czaya, C.A.; Hinrichs, K.; Bedford-Guaus, S.J. Hyperactivation of stallion sperm is required for successful in vitro fertilization of equine oocytes. Biol. Reprod. 2009, 81, 199–206. [Google Scholar] [CrossRef]
- Marquez, B.; Suarez, S.S. Different signaling pathways in bovine sperm regulate capacitation and hyperactivation. Biol. Reprod. 2004, 70, 1626–1633. [Google Scholar] [CrossRef]
- Kathiravan, P.; Kalatharan, J.; Karthikeya, G.; Rengarajan, K.; Kadirvel, G. Objective Sperm Motion Analysis to Assess Dairy Bull Fertility Using Computer-Aided System—A Review. Reprod. Domest. Anim. 2011, 46, 165–172. [Google Scholar] [CrossRef]
- Giaretta, E.; Estrada, E.; Bucci, D.; Spinaci, M.; Rodríguez-Gil, J.E.; Yeste, M. Combining reduced glutathione and ascorbic acid has supplementary beneficial effects on boar sperm cryotolerance. Theriogenology 2015, 83, 399–407. [Google Scholar] [CrossRef]


| Fresh Semen | Frozen–Thawed Semen | ||||
|---|---|---|---|---|---|
| Variable | Cluster | Mean ± SD | Variable | Cluster | Mean ± SD |
| TM, % | LMF | 67.89 ± 17.40 * | TM, % | LMT | 43.03 ± 17.23 * |
| HMF | 87.34 ± 7.41 | HMT | 76.55 ± 8.98 | ||
| PM, % | LMF | 50.36 ± 12.32 * | PM, % | LMT | 35.58 ± 14.12 * |
| HMF | 68.53 ± 6.36 | HMT | 64.7 ± 8.67 | ||
| VAP, μm/s | LMF | 97.75 ± 13.85 * | VAP, μm/s | LMT | 73.23 ± 10.45 * |
| HMF | 124.12 ± 14.6 | HMT | 100.68 ± 8.9 | ||
| VCL, μm/s | LMF | 161.52 ± 24.67 * | VCL, μm/s | LMT | 121.92 ± 18.38 * |
| HMF | 175.83 ± 23.52 | HMT | 151.7 ± 17.74 | ||
| VSL, μm/s | LMF | 80.05 ± 10.44 * | VSL, μm/s | LMT | 62.39 ± 7.97 * |
| HMF | 107.85 ± 12.43 | HMT | 87.36 ± 7.93 | ||
| STR, % | LMF | 82.12 ± 3.07 * | STR, % | LMT | 86.04 ± 3.29 |
| HMF | 85.8 ± 2.76 | HMT | 86.83 ± 3.11 | ||
| LIN, % | LMF | 52.82 ± 4.63 | LIN, % | LMT | 54.6 ± 3.69 |
| HMF | 63.21 ± 5.38 | HMT | 60.01 ± 6.28 | ||
| ALH, μm | LMF | 5.88 ± 0.83 | ALH, μm | LMT | 4.93 ± 0.78 |
| HMF | 5.5 ± 0.75 | HMT | 5.64 ± 0.76 | ||
| BCF, Hz | LMF | 29.93 ± 6.64 * | BCF, Hz | LMT | 27.69 ± 4.93 |
| HMF | 36.67 ± 3.23 | HMT | 26.15 ± 3.23 | ||
| Fresh Semen | Frozen–Thawed Semen | ||||||||
|---|---|---|---|---|---|---|---|---|---|
| Variable | Cluster | Mean ± SD | Median | IQR | Variable | Cluster | Mean ± SD | Median | IQR |
| AOPP, nmol/mL | LMT | 75.36 ± 33.86 * | 1.29 | 24.22 | AOPP, nmol/mL | LMT | 94.29 ± 48.16 | 69.97 | 67.09 |
| HMF | 106.9 ± 47.42 | 1.54 | 48.40 | HMF | 96.43 ± 45.01 | 92.55 | 47.77 | ||
| CT, nmol/mL | LMT | 6.57 ± 6.46 | 4.91 | 3.34 | CT, nmol/mL | LMT | 7.55 ± 7.39 | 5.47 | 3.32 |
| HMF | 8.44 ± 6.08 | 6.23 | 7.76 | HMF | 7.87 ± 5.84 | 5.71 | 5.75 | ||
| Thiols, nmol/mL | LMT | 81.07 ± 92.36 * | 68.16 | 64.96 | Thiols, nmol/mL | LMT | 121.46 ± 114.06 | 1.17 | 2.63 |
| HMF | 143.74 ± 118.6 | 109.67 | 108.77 | HMF | 121.93 ± 114.48 | 1.58 | 1.05 | ||
Publisher’s Note: MDPI stays neutral with regard to jurisdictional claims in published maps and institutional affiliations. |
© 2022 by the authors. Licensee MDPI, Basel, Switzerland. This article is an open access article distributed under the terms and conditions of the Creative Commons Attribution (CC BY) license (https://creativecommons.org/licenses/by/4.0/).
Share and Cite
Vigolo, V.; Giaretta, E.; Da Dalt, L.; Damiani, J.; Gabai, G.; Bertuzzo, F.; Falomo, M.E. Relationships between Biomarkers of Oxidative Stress in Seminal Plasma and Sperm Motility in Bulls before and after Cryopreservation. Animals 2022, 12, 2534. https://doi.org/10.3390/ani12192534
Vigolo V, Giaretta E, Da Dalt L, Damiani J, Gabai G, Bertuzzo F, Falomo ME. Relationships between Biomarkers of Oxidative Stress in Seminal Plasma and Sperm Motility in Bulls before and after Cryopreservation. Animals. 2022; 12(19):2534. https://doi.org/10.3390/ani12192534
Chicago/Turabian StyleVigolo, Veronica, Elisa Giaretta, Laura Da Dalt, Jana Damiani, Gianfranco Gabai, Federica Bertuzzo, and Maria Elena Falomo. 2022. "Relationships between Biomarkers of Oxidative Stress in Seminal Plasma and Sperm Motility in Bulls before and after Cryopreservation" Animals 12, no. 19: 2534. https://doi.org/10.3390/ani12192534
APA StyleVigolo, V., Giaretta, E., Da Dalt, L., Damiani, J., Gabai, G., Bertuzzo, F., & Falomo, M. E. (2022). Relationships between Biomarkers of Oxidative Stress in Seminal Plasma and Sperm Motility in Bulls before and after Cryopreservation. Animals, 12(19), 2534. https://doi.org/10.3390/ani12192534

