Relationship between Chemical Composition and In Vitro Methane Production of High Andean Grasses
Abstract
Simple Summary
Abstract
1. Introduction
2. Materials and Methods
2.1. Forage Selection
2.2. Evaluation of Chemical Composition
2.3. Gas Production
2.4. In Vitro Methane Quantification
2.5. Estimation of In Vitro Digestibility and Metabolizable Energy
2.6. Statistical Analysis
3. Results
3.1. Chemical Composition
3.2. Gas Production, In Vitro Digestibility, Metabolizable Energy and Enteric Methane Production
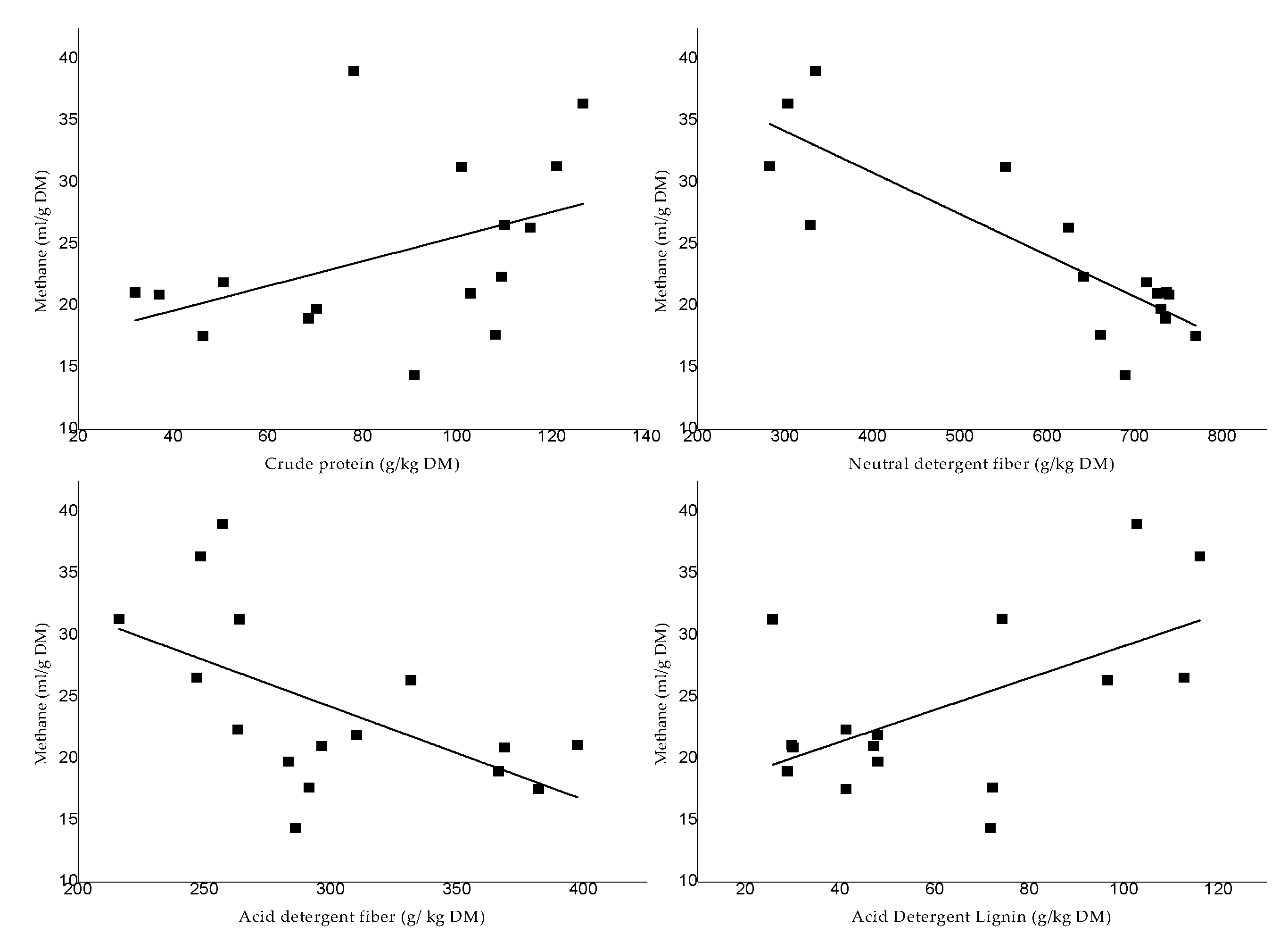
3.3. Relationship between Chemical Composition and In Vitro Methane Production
4. Discussion
5. Conclusions
Author Contributions
Funding
Institutional Review Board Statement
Informed Consent Statement
Data Availability Statement
Acknowledgments
Conflicts of Interest
References
- Flores, E.R.; Cruz, J.; López, M. Management of sheep genetic resources in the Central Andes of Peru. In People and Animals. Traditional Livestock Keepers: Guardians of Domestic Animal Diversity; Tempelman, K., Cardellino, R., Eds.; Food and Agriculture Organization of the United Nations: Roma, Italy, 2007; pp. 47–58. [Google Scholar]
- Flores, E.R.; Ñaupari, J.A.; Tácuna, R.E. La Economía del Cambio Climático En el Perú: Ganadería Altoandina; En Ludeña, C.E., Sánchez Aragón, L., de Miguel, C., Martínez, K., Pereira, M., Eds.; Banco Interamericano de Desarrollo: Lima, Perú; Comisión Económica para América Latina y el Caribe: Santiago, Chile, 2014; Available online: https://repositorio.cepal.org/bitstream/handle/11362/37419/1/S1420992_es.pdf (accessed on 26 June 2022).
- Hatfield, J.L.; Walthall, C.L. Climate change: Cropping system changes and adaptations. In Encyclopedia of Agriculture and Food Systems; Elsevier: London, UK, 2014; pp. 256–265. [Google Scholar]
- Gaviria-Uribe, X.; Bolivar, D.M.; Rosenstock, T.S.; Molina-Botero, I.C.; Chirinda, N.; Barahona, R.; Arango, J. Nutritional quality, voluntary intake and enteric methane emissions of diets based on novel Cayman grass and its associations with two Leucaena shrub legumes. Front. Vet. Sci. 2020, 7, 579189. [Google Scholar] [CrossRef] [PubMed]
- Quintero-Anzueta, S.; Molina-Botero, I.C.; Ramirez-Navas, J.S.; Rao, I.; Chirinda, N.; Barahona-Rosales, R.; Moorby, J.; Arango, J. Nutritional evaluation of tropical forage grass alone and grass-legume diets to reduce in vitro methane production. Front. Sustain. Food Syst. 2021, 5, 663003. [Google Scholar] [CrossRef]
- INEI (Instituto Nacional de Estadística e Informática, Perú). 2012. IV Censo Nacional Agropecuario (IV CENAGRO). Available online: www.inei.gob.pe (accessed on 18 June 2022).
- Liu, S.; Proudman, J.; Mitloehner, F.M. Rethinking methane from animal agriculture. CABI Agric. Biosci. 2021, 2, 1–13. [Google Scholar] [CrossRef]
- Valencia-Salazar, S.S.; Jiménez-Ferrer, G.; Molina-Botero, I.C.; Ku-Vera, J.C.; Chirinda, N.; Arango, J. Methane Mitigation Potential of Foliage of Fodder Trees Mixed at Two Levels with a Tropical Grass. Agronomy 2021, 12, 100. [Google Scholar] [CrossRef]
- Beauchemin, K.A.; Ungerfeld, E.M.; Eckard, R.J.; Wang, M. Fifty years of research on rumen methanogenesis: Lessons learned and future challenges for mitigation. Animal 2020, 14, 2–16. [Google Scholar] [CrossRef]
- Arndt, C.; Hristov, A.N.; Price, W.J.; McClelland, S.C.; Pelaez, A.M.; Cueva, S.F.; Oh, J.; Dijkstra, J.; Bannink, A.; Bayat, A.R.; et al. Full adoption of the most effective strategies to mitigate methane emissions by ruminants can help meet the 1.5 °C target by 2030 but not 2050. Proc. Natl. Acad. Sci. USA 2022, 119, e2111294119. [Google Scholar] [CrossRef]
- Marín-Gómez, A.; Bindelle, J.; Zubieta, A.; Correa, G.; Arango, J.; Chirinda, N.; de Faccio Carvalho, P.C. In vitro fermentation profile and methane production of Kikuyu grass harvested at different sward heights. Front. Sustain. Food Syst. 2021, 5, 463. [Google Scholar]
- Doreau, M.; Arbre, M.; Rochette, Y.; Lascoux, C.; Eugène, M.; Martin, C. Comparison of methods for estimating enteric methane and carbon dioxide emission in nonlactating cows. J. Anim. Sci. 2018, 96, 1559–1569. [Google Scholar] [CrossRef]
- Storm, I.M.; Hellwing, A.L.F.; Nielsen, N.I.; Madsen, J. Methods for measuring and estimating methane emission from ruminants. Animals 2012, 2, 160–183. [Google Scholar] [CrossRef]
- Llantoy, H. Evaluación de la Composición Florística y la Condición de los Pastizales del CICAS LA RAYA. Bachelor’s Thesis, Universidad Nacional de San Antonio Abad del Cusco, Cusco, Perú, 2009. [Google Scholar]
- AOAC. Official Methods of Analysis of AOAC International, 15th ed.; Association of Official Analytical Chemists: Arlington, VA, USA, 2005; pp. 770–771. [Google Scholar]
- Van, S.P.J.; Roberton, J.B.; Lewis, B.A. Methods for dietary fiber, neutral detergent fiber, and nonstarch polysaccharides in relation to animal nutrition. J. Dairy Sci. 1991, 74, 3583–3597. [Google Scholar]
- Menke, K.H.; Steingass, H. Estimation of the energetic feed value obtained from chemical analysis and in vitro gas production using rumen fluid. Anim. Res. Dev. 1988, 28, 7–55. [Google Scholar]
- SAS Institute. User’s Guide: Statistics Version 9.4; SAS Inst. Inc.: Cary, NC, USA, 2012. [Google Scholar]
- Origin (Pro). User’s Guide: Version 2016; OriginLab Corporation: Northampton, MA, USA, 2016. [Google Scholar]
- Bartl, K.; Gómez, C.A.; Aufdermauer, T.; Garcia, M.; Kreuzer, M.; Hess, H.D.; Wettstein, H.R. Effect of diet type on performance and metabolic traits of Peruvian local and introduced cow types kept at 200 and 3600 m of altitude. Livest. Sci. 2009, 122, 30–38. [Google Scholar] [CrossRef]
- Febres, F.E.F.; Terrazas, L.A.; Vasquez, J.Ñ.; Muñoz, J.E.M.; Howard, F.S.M.; Mariazza, E.F. Effects of chestnut bark (Castanea spp.) tannin extracts on selectivity, dry matter intake, weight gain, and enteric methane emission from llamas (Lama glama) under grazing conditions in the high Andean grasslands. Small Rumin. Res. 2021, 205, 106559. [Google Scholar] [CrossRef]
- Bartl, K.; Gamarra, J.; Gómez, C.A.; Wettstein, H.R.; Kreuzer, M.; Hess, H.D. Agronomic performance and nutritive value of common and alternative grass and legume species in the Peruvian highlands. Grass Forage Sci. 2009, 64, 109–121. [Google Scholar] [CrossRef]
- Alvarado-Bolovich, V.; Medrano, J.; Haro, J.; Castro-Montoya, J.; Dickhoefer, U.; Gómez, C. Enteric methane emissions from lactating dairy cows grazing cultivated and native pastures in the high Andes of Peru. Livest. Sci. 2021, 243, 104385. [Google Scholar] [CrossRef]
- Sonko, E.; Tsado, D.N.; Yaffa, S.; Okhimamhe, A.A.; Eichie, J. Wet and Dry Season Effects on select soil nutrient contents of upland farms in North Bank region of the Gambia. Open J. Soil Sci. 2016, 6, 45–51. [Google Scholar] [CrossRef][Green Version]
- Bernal. Pastos y forrajes tropicales. Tomo 1: Manejo de Praderas, 5th ed.; Ideagro: Bogotá, Colombia, 2008; pp. 21–47. [Google Scholar]
- Mamani-Linares, W.; Gallo, C.; Pulido, R.G. Composición botánica y contenido nutricional de pasturas nativas en periodo seco en el altiplano. In Proceedings of the Conferencia en: XXXVII Congreso Anual Sociedad Chilena de Producción, Catillo, Chile, 24–26 October 2012. [Google Scholar]
- Rodriguez, N.; Florez, A.; Malpartida, E.; Fierro, L.C.; Farfan, R.D. Determinación del Valor Nutritivo de las Principales Especies de los Pastizales Naturales de la Sierra Central: Investigaciones Sobre Pastos y Forrajes de Texas Tech University; Instituto Nacional de Investigación y Promoción Agropecuaria: Lima, Perú; Programa Colaborativo de Apoyo a la Investigación en Rumiantes Menores: Lima, Perú; AID: Lima, Perú; Texas Tech University: Lima, Perú, 1986; Volume 3, pp. 14–24. [Google Scholar]
- Tedeschi, L.O.; Abdalla, A.L.; Álvarez, C.; Anuga, S.W.; Arango, J.; Beauchemin, K.A.; Becquet, P.; Berndt, A.; Burns, R.; De Camillis, C.; et al. Quantification of methane emitted by ruminants: A review of methods. J. Anim. Sci. 2022, 100, skac197. [Google Scholar] [CrossRef]
- Gaviria-Uribe, X.G.; Bolívar Vergara, D.M.; Chirinda, N.; Molina-Botero, I.C.; Mazabel, J.; Rosales, R.B.; Arango, J. In Vitro Methane Production and Ruminal Fermentation Parameters of Tropical Grasses and Grass-Legume Associations Commonly Used for Cattle Feeding in the Tropics. Livest. Res. Rural Dev. 2022, 34. Available online: https://www.lrrd.org/lrrd34/5/3443xgav.html (accessed on 26 June 2022).
- Molina-Botero, I.C.; Mazabel, J.; Arceo-Castillo, J.; Urrea-Benítez, J.L.; Olivera-Castillo, L.; Barahona-Rosales, R.; Chirinda, N.; Ku-Vera, J.; Arango, J. Effect of the addition of Enterolobium cyclocarpum pods and Gliricidia sepium forage to Brachiaria brizantha on dry matter degradation, volatile fatty acid concentration, and in vitro methane production. Trop. Anim. Health Prod. 2020, 52, 2787–2798. [Google Scholar] [CrossRef]
- Salazar, D. Análisis Químico y Digestibilidad In Vitro de Cinco Especies Forrajeras Nativas Recolectadas en dos Épocas del Año. Bachelor’s Thesis, Universidad Mayor de San Andrés, La Paz, Bolivia, 2006. [Google Scholar]
- Díaz-Céspedes, M.; Hernández-Guevara, J.E.; Gómez, C. Enteric methane emissions by young Brahman bulls grazing tropical pastures at different rainfall seasons in the Peruvian jungle. Trop. Anim. Health Prod. 2021, 53, 1–12. [Google Scholar] [CrossRef]
- Salas-Riega, C.Y.; Osorio, S.; del Pilar Gamarra, J.; Alvarado-Bolovich, V.; Osorio, C.M.; Gomez, C.A. Enteric methane emissions by lactating and dry cows in the high Andes of Peru. Trop. Anim. Health Prod. 2022, 54, 1–11. [Google Scholar] [CrossRef] [PubMed]
- Orcasberro, M.S.; Loza, C.; Gere, J.; Soca, P.; Picasso, V.; Astigarraga, L. Seasonal effect on feed intake and methane emissions of cow–calf systems on native grassland with variable herbage allowance. Animals 2021, 11, 88. [Google Scholar] [CrossRef] [PubMed]
- Ellis, J.L.; Kebreab, E.; Odongo, N.E.; McBride, B.W.; Okine, E.K.; France, J. Prediction of methane production from dairy and beef cattle. J. Dairy Sci. 2007, 90, 3456–3466. [Google Scholar] [CrossRef] [PubMed]


| Chemical Composition (g/kg DM) | Season | Grasses | |||||||
|---|---|---|---|---|---|---|---|---|---|
| A. pinnata | C. ecuadorica | D. muscoides | H. taraxacoides | M. fastigiata | M. peruviana | S. brachiphylla | S. mucronata | ||
| Crude protein | Rainy | 109.98 | 115.35 | 108.03 | 126.51 | 90.93 | 102.77 | 68.63 | 46.40 |
| Dry | 120.98 | 100.81 | 109.26 | 78.14 | 70.36 | 50.62 | 32.08 | 37.03 | |
| Neutral detergent Fiber | Rainy | 328.45 | 623.39 | 672.68 | 303.10 | 684.67 | 727.32 | 732.28 | 772.14 |
| Dry | 283.10 | 549.90 | 637.11 | 334.55 | 730.30 | 718.31 | 733.47 | 738.33 | |
| Acid detergent Fiber | Rainy | 246.90 | 331.53 | 291.34 | 248.40 | 286.06 | 297.30 | 368.67 | 383.40 |
| Dry | 144.08 | 265.10 | 263.26 | 256.99 | 283.90 | 310.75 | 397.63 | 368.81 | |
| Acid Detergent Lignin | Rainy | 112.57 | 96.50 | 72.14 | 115.90 | 71.60 | 46.55 | 29.15 | 41.21 |
| Dry | 74.70 | 25.78 | 41.21 | 102.59 | 47.97 | 47.84 | 29.37 | 30.33 | |
| Ash | Rainy | 246.61 | 165.75 | 60.93 | 168.71 | 134.27 | 59.57 | 63.16 | 58.88 |
| Dry | 153.34 | 72.02 | 68.56 | 127.55 | 48.39 | 61.51 | 63.10 | 65.81 | |
| Crude fat | Rainy | 1.580 | 1.240 | 1.480 | 2.860 | 2.040 | 1.720 | 1.390 | 1.070 |
| Dry | 1.510 | 0.875 | 2.100 | 2.760 | 2.080 | 2.250 | 1.120 | 1.160 | |
| Item | Season | Grasses | SEM | p-Value | |||||||||
|---|---|---|---|---|---|---|---|---|---|---|---|---|---|
| A. pinnata | C. ecuadorica | D. muscoides | H. taraxacoides | M. fastigiata | M. peruviana | S brachiphylla | S. mucronata | Species | Season | Species × Season | |||
| Gas production (mL/g DM) | Rainy | 126.32 cB | 172.64 b | 94.56 efB | 235.08 aB | 83.00 fB | 107.38 d | 101.05 de | 94.47 efA | 5.442 | 0.0001 | 0.0001 | 0.0001 |
| Dry | 194.06 bA | 180.19 c | 109.83 dA | 248.86 aA | 105.38 dA | 106.85 d | 105.31 d | 83.67 eB | |||||
| Organic Matter Digestibility (%) | Rainy | 41.48 c | 48.40 b | 32.81 d | 59.56 a | 32.59 d | 33.97 d | 34.60 d | 32.95 d | 5.677 | 0.0001 | 0.1500 | 0.0024 |
| Dry | 52.02 ab | 48.20 bc | 35.65 c | 59.86 a | 41.20 cd | 34.85 d | 34.42 d | 31.47 d | |||||
| Metabolizable energy (MJ/kg DM) | Rainy | 5.16 bB | 6.51 b | 4.67 d | 8.39 a | 5.59 dA | 4.42 d | 4.45 d | 4.15 d | 0.684 | 0.0001 | 0.005 | 0.0067 |
| Dry | 7.15 bA | 6.70 b | 4.24 d | 8.47 a | 3.98 dB | 4.49 d | 4.36 d | 3.87 d | |||||
| Methane (mL/g DM) | Rainy | 26.58 bB | 26.35 bB | 17.66 dB | 36.42 aB | 14.38 fB | 21.00 c | 18.96 cdB | 17.53 dB | 2.369 | 0.0001 | 0.0001 | 0.0024 |
| Dry | 31.32 bA | 31.28 bA | 22.37 cA | 39.05 aA | 19.74 cA | 21.91 c | 21.08 cA | 20.89 cA | |||||
| Relation | Equation | R2 | SE Slope | SE Intercept | R | p-Value |
|---|---|---|---|---|---|---|
| CP, g/kg DM (x) on CH4, mL/g DM (y) | Y = 0.095x + 15.95 | 0.119 | 0.055 | 4.984 | 0.423 | 0.103 |
| NDF, g/kg DM (x) on CH4, mL/g DM (y) | Y = −0.03x + 44.20 | 0.690 | 0.0056 | 3.499 | −0.847 | 0.0001 |
| ADF, g/kg DM (x) on CH4, mL/g DM (y) | Y = −0.07x + 46.53 | 0.277 | 0.028 | 8.738 | −0.571 | 0.021 |
| ADL, g/kg DM (x) on CH4, mL/g DM (y) | Y = 0.1x + 16.46 | 0.254 | 0.051 | 3.471 | 0.551 | 0.027 |
Publisher’s Note: MDPI stays neutral with regard to jurisdictional claims in published maps and institutional affiliations. |
© 2022 by the authors. Licensee MDPI, Basel, Switzerland. This article is an open access article distributed under the terms and conditions of the Creative Commons Attribution (CC BY) license (https://creativecommons.org/licenses/by/4.0/).
Share and Cite
Chino Velasquez, L.B.; Molina-Botero, I.C.; Moscoso Muñoz, J.E.; Gómez Bravo, C. Relationship between Chemical Composition and In Vitro Methane Production of High Andean Grasses. Animals 2022, 12, 2348. https://doi.org/10.3390/ani12182348
Chino Velasquez LB, Molina-Botero IC, Moscoso Muñoz JE, Gómez Bravo C. Relationship between Chemical Composition and In Vitro Methane Production of High Andean Grasses. Animals. 2022; 12(18):2348. https://doi.org/10.3390/ani12182348
Chicago/Turabian StyleChino Velasquez, Liz Beatriz, Isabel Cristina Molina-Botero, Juan Elmer Moscoso Muñoz, and Carlos Gómez Bravo. 2022. "Relationship between Chemical Composition and In Vitro Methane Production of High Andean Grasses" Animals 12, no. 18: 2348. https://doi.org/10.3390/ani12182348
APA StyleChino Velasquez, L. B., Molina-Botero, I. C., Moscoso Muñoz, J. E., & Gómez Bravo, C. (2022). Relationship between Chemical Composition and In Vitro Methane Production of High Andean Grasses. Animals, 12(18), 2348. https://doi.org/10.3390/ani12182348

